FUERZAS DE SEGURIDAD
Decreto 463/2017
Fíjanse Haberes Mensuales.
Ciudad de Buenos Aires, 29/06/2017
VISTO el Expediente EX-2017-10005262-APN-SSGA#MSG, la Ley de Gendarmería Nacional N° 19.349 y sus modificaciones, la Ley General de la Prefectura Naval Argentina N° 18.398 y sus modificaciones, la Ley para el Personal de la Policía Federal Argentina N° 21.965 y sus modificaciones, la Ley de Seguridad Aeroportuaria N° 26.102, los Decretos Nros. 836 del 19 de mayo de 2008, 1190 del 4 de septiembre de 2009, 1307 del 31 de julio de 2012 y sus modificatorios, 854 del 28 de junio de 2013, 1866 del 26 de julio de 1983 y sus modificatorios, 813 del 30 de mayo de 2014 y sus modificatorios, y
CONSIDERANDO:
Que con el propósito del Gobierno Nacional de reconocer y mantener una adecuada jerarquización en relación con la capacidad, responsabilidad y dedicación que la correcta ejecución de la actividad de los integrantes de las Fuerzas de Seguridad y Cuerpos Policiales requiere, resulta necesario actualizar las escalas salariales vigentes y modificar las asignaciones correspondientes a determinados suplementos particulares que percibe aquel personal.
Que, además, corresponde disponer otras medidas consecuentes con las señaladas en el considerando precedente.
Que la COMISIÓN TÉCNICA ASESORA DE POLÍTICA SALARIAL DEL SECTOR PÚBLICO ha tomado la intervención que le corresponde.
Que la SUBSECRETARÍA DE ASUNTOS JURÍDICOS del MINISTERIO DE SEGURIDAD ha tomado la intervención que le corresponde.
Que la presente medida se dicta en ejercicio de las facultades conferidas por el artículo 99, inciso 1 de la CONSTITUCIÓN NACIONAL.
Por ello,
EL PRESIDENTE DE LA NACIÓN ARGENTINA
DECRETA:
ARTÍCULO 1°.- Fíjase, a partir del 1° de julio de 2017 y del 1° de agosto de 2017, el haber mensual para el personal con estado militar de gendarme en actividad de la GENDARMERÍA NACIONAL, conforme los importes que para los distintos grados se detallan en los Anexos I (IF-2017-12866112-APN- JGA#MSG) y II (IF-2017-12866376-APN-JGA#MSG) respectivamente, que forman parte del presente Decreto.
ARTÍCULO 2°.- Fíjase, a partir del 1° de julio de 2017 y del 1° de agosto de 2017, los importes correspondientes a los suplementos particulares “por cumplimiento de tareas específicas de seguridad”, “por mayor exigencia del servicio”, “por disponibilidad permanente para el cargo” y “por disponibilidad permanente para la función”, que percibe el personal con estado militar de gendarme en actividad de la GENDARMERÍA NACIONAL, según se detalla, para los distintos grados, en los Anexos III (IF-2017-12866105-APN-JGA#MSG) y IV (IF-2017-12866177-APN-JGA#MSG), respectivamente, que forman parte del presente Decreto.
ARTÍCULO 3°.- Fíjase, a partir del 1° de julio de 2017 y del 1° de agosto de 2017, el haber mensual para el personal con estado policial en actividad de la PREFECTURA NAVAL ARGENTINA, conforme los importes que para los distintos grados se detallan en los Anexos V (IF-2017-12866367-APN-JGA#MSG) y VI (IF-2017-12866166-APN-JGA#MSG) respectivamente, que forman parte del presente Decreto.
ARTÍCULO 4°.- Fíjase, a partir del 1° de julio de 2017 y del 1° de agosto de 2017, los importes correspondientes a los suplementos particulares “por cumplimiento de tareas específicas de seguridad”, “por mayor exigencia del servicio”, “por disponibilidad permanente para el cargo” y “por disponibilidad permanente para la función”, que percibe el personal con estado policial en actividad de la PREFECTURA NAVAL ARGENTINA, según se detalla, para los distintos grados, en los Anexos VII (IF-2017-12866334- APN-JGA#MSG) y VIII (IF-2017-12866154-APN-JGA#MSG) respectivamente, que forman parte del presente Decreto.
ARTÍCULO 5°.- Fíjase, a partir del 1° de julio de 2017 y del 1° de agosto de 2017, el haber mensual para el personal de la POLICÍA FEDERAL ARGENTINA conforme los importes que para las distintas jerarquías se detallan en los Anexos IX (IF-2017-12866310-APN-JGA#MSG) y X (IF-2017-12866149- APN-JGA#MSG), respectivamente, que forman parte del presente Decreto.
ARTÍCULO 6°.- Fíjase, a partir del 1° de julio de 2017 y del 1° de agosto de 2017, los importes correspondientes a los suplementos particulares por “Zona”, “Alta Dedicación Operativa”, “Función Técnica de Apoyo” y por “Función Policial Operativa” que percibe el personal con estado policial en actividad de la POLICÍA FEDERAL ARGENTINA, según se detalla, para las distintas jerarquías, en los Anexos XI (IF-2017-12866188-APN-JGA#MSG) y XII (IF-2017-12866135-APN-JGA#MSG), respectivamente, que forman parte del presente Decreto.
ARTÍCULO 7°.- Fíjase, a partir del 1° de julio de 2017 y del 1° de agosto de 2017, los importes correspondientes a los suplementos particulares por “Zona”, “Función Técnica de Apoyo” y por “Función Policial Operativa” que percibe el personal Auxiliar de Seguridad y Defensa de la POLICÍA FEDERAL ARGENTINA, según se detalla, para las distintas jerarquías, en los Anexos XIII (IF-2017-12866129- APN-JGA#MSG) y XIV (IF-2017-12866362-APN-JGA#MSG), respectivamente, que forman parte del presente Decreto.
ARTÍCULO 8°.- Fíjase, a partir del 1° de julio de 2017 y del 1° de agosto de 2017, los importes correspondientes al “complemento por responsabilidad jerárquica” que perciben el Director Nacional y el Subdirector Nacional de la GENDARMERÍA NACIONAL, el Prefecto Nacional Naval y el Subprefecto Nacional Naval de la PREFECTURA NAVAL ARGENTINA y el Jefe y el Subjefe de la POLICÍA FEDERAL ARGENTINA, según se detalla en los Anexos XV (IF-2017-12866294-APN-JGA#MSG) y XVI (IF-2017-12866278-APN-JGA#MSG), respectivamente, que forman parte del presente Decreto.
ARTÍCULO 9°.- Fíjase, a partir del 1° de julio de 2017 y del 1° de agosto de 2017, respectivamente, para el Personal Policial de la POLICÍA DE SEGURIDAD AEROPORTUARIA, los importes correspondientes a los Anexos 3, 4, 5 y 6 del Anexo A del Decreto N° 836/08, los que forman parte del presente Decreto como Anexos XVII (IF-2017-12866247-APN-JGA#MSG) y XVIII (IF-2017-12866231-APN-JGA#MSG).
ARTÍCULO 10.- Fíjase, a partir del 1° de julio de 2017 y del 1° de agosto de 2017, los importes correspondientes al suplemento “por exigencia del servicio de seguridad aeroportuaria” que percibe el personal policial que reviste en servicio activo de la POLICÍA DE SEGURIDAD AEROPORTUARIA, según se detalla, para los distintos grados, en los Anexos XIX (IF-2017-12866215-APN-JGA#MSG) y XX (IF-2017-12866207-APN-JGA#MSG) respectivamente, que forman parte del presente Decreto.
ARTÍCULO 11.- Fíjase, a partir del 1° de julio de 2017 y del 1° de agosto de 2017, respectivamente, para el Personal Civil de la POLICÍA DE SEGURIDAD AEROPORTUARIA, los importes correspondientes a los Anexos 5, 6 y 7 del Anexo I del Decreto N° 1190/09, los que forman parte del presente Decreto como Anexos XXI (IF-2017-12865999-APN-JGA#MSG) y XXII (IF-2017-12867991-APN-JGA#MSG).
ARTÍCULO 12.- El gasto que demande el cumplimiento de lo dispuesto por el presente Decreto será atendido con los créditos correspondientes a las jurisdicciones respectivas del Presupuesto General de la Administración Pública Nacional.
ARTÍCULO 13.- Facúltase a la COMISIÓN TÉCNICA ASESORA DE POLÍTICA SALARIAL DEL SECTOR PÚBLICO a dictar las normas interpretativas, aclaratorias y complementarias que resultaren pertinentes para la aplicación de la presente medida.
ARTÍCULO 14.- Facúltase al Jefe de Gabinete de Ministros a efectuar las modificaciones presupuestarias necesarias destinadas a financiar el gasto que demande la aplicación del presente Decreto, a cuyo efecto el MINISTERIO DE SEGURIDAD realizará las estimaciones pertinentes e impulsará, a través del MINISTERIO DE HACIENDA, la instrumentación de las mismas.
ARTÍCULO 15.- Comuníquese, publíquese, dese a la DIRECCIÓN NACIONAL DEL REGISTRO OFICIAL y archívese. — MACRI. — Marcos Peña. — Patricia Bullrich.
NOTA: El/los Anexo/s que integra/n este(a) Decreto se publican en la edición web del BORA —www.boletinoficial.gob.ar— y también podrán ser consultados en la Sede Central de esta Dirección Nacional (Suipacha 767 - Ciudad Autónoma de Buenos Aires).
(Nota Infoleg: Los anexos referenciados en la presente norma han sido extraídos de la edición web de Boletín Oficial.)
Decreto 463/2017
Fíjanse Haberes Mensuales.
Ciudad de Buenos Aires, 29/06/2017
VISTO el Expediente EX-2017-10005262-APN-SSGA#MSG, la Ley de Gendarmería Nacional N° 19.349 y sus modificaciones, la Ley General de la Prefectura Naval Argentina N° 18.398 y sus modificaciones, la Ley para el Personal de la Policía Federal Argentina N° 21.965 y sus modificaciones, la Ley de Seguridad Aeroportuaria N° 26.102, los Decretos Nros. 836 del 19 de mayo de 2008, 1190 del 4 de septiembre de 2009, 1307 del 31 de julio de 2012 y sus modificatorios, 854 del 28 de junio de 2013, 1866 del 26 de julio de 1983 y sus modificatorios, 813 del 30 de mayo de 2014 y sus modificatorios, y
CONSIDERANDO:
Que con el propósito del Gobierno Nacional de reconocer y mantener una adecuada jerarquización en relación con la capacidad, responsabilidad y dedicación que la correcta ejecución de la actividad de los integrantes de las Fuerzas de Seguridad y Cuerpos Policiales requiere, resulta necesario actualizar las escalas salariales vigentes y modificar las asignaciones correspondientes a determinados suplementos particulares que percibe aquel personal.
Que, además, corresponde disponer otras medidas consecuentes con las señaladas en el considerando precedente.
Que la COMISIÓN TÉCNICA ASESORA DE POLÍTICA SALARIAL DEL SECTOR PÚBLICO ha tomado la intervención que le corresponde.
Que la SUBSECRETARÍA DE ASUNTOS JURÍDICOS del MINISTERIO DE SEGURIDAD ha tomado la intervención que le corresponde.
Que la presente medida se dicta en ejercicio de las facultades conferidas por el artículo 99, inciso 1 de la CONSTITUCIÓN NACIONAL.
Por ello,
EL PRESIDENTE DE LA NACIÓN ARGENTINA
DECRETA:
ARTÍCULO 1°.- Fíjase, a partir del 1° de julio de 2017 y del 1° de agosto de 2017, el haber mensual para el personal con estado militar de gendarme en actividad de la GENDARMERÍA NACIONAL, conforme los importes que para los distintos grados se detallan en los Anexos I (IF-2017-12866112-APN- JGA#MSG) y II (IF-2017-12866376-APN-JGA#MSG) respectivamente, que forman parte del presente Decreto.
ARTÍCULO 2°.- Fíjase, a partir del 1° de julio de 2017 y del 1° de agosto de 2017, los importes correspondientes a los suplementos particulares “por cumplimiento de tareas específicas de seguridad”, “por mayor exigencia del servicio”, “por disponibilidad permanente para el cargo” y “por disponibilidad permanente para la función”, que percibe el personal con estado militar de gendarme en actividad de la GENDARMERÍA NACIONAL, según se detalla, para los distintos grados, en los Anexos III (IF-2017-12866105-APN-JGA#MSG) y IV (IF-2017-12866177-APN-JGA#MSG), respectivamente, que forman parte del presente Decreto.
ARTÍCULO 3°.- Fíjase, a partir del 1° de julio de 2017 y del 1° de agosto de 2017, el haber mensual para el personal con estado policial en actividad de la PREFECTURA NAVAL ARGENTINA, conforme los importes que para los distintos grados se detallan en los Anexos V (IF-2017-12866367-APN-JGA#MSG) y VI (IF-2017-12866166-APN-JGA#MSG) respectivamente, que forman parte del presente Decreto.
ARTÍCULO 4°.- Fíjase, a partir del 1° de julio de 2017 y del 1° de agosto de 2017, los importes correspondientes a los suplementos particulares “por cumplimiento de tareas específicas de seguridad”, “por mayor exigencia del servicio”, “por disponibilidad permanente para el cargo” y “por disponibilidad permanente para la función”, que percibe el personal con estado policial en actividad de la PREFECTURA NAVAL ARGENTINA, según se detalla, para los distintos grados, en los Anexos VII (IF-2017-12866334- APN-JGA#MSG) y VIII (IF-2017-12866154-APN-JGA#MSG) respectivamente, que forman parte del presente Decreto.
ARTÍCULO 5°.- Fíjase, a partir del 1° de julio de 2017 y del 1° de agosto de 2017, el haber mensual para el personal de la POLICÍA FEDERAL ARGENTINA conforme los importes que para las distintas jerarquías se detallan en los Anexos IX (IF-2017-12866310-APN-JGA#MSG) y X (IF-2017-12866149- APN-JGA#MSG), respectivamente, que forman parte del presente Decreto.
ARTÍCULO 6°.- Fíjase, a partir del 1° de julio de 2017 y del 1° de agosto de 2017, los importes correspondientes a los suplementos particulares por “Zona”, “Alta Dedicación Operativa”, “Función Técnica de Apoyo” y por “Función Policial Operativa” que percibe el personal con estado policial en actividad de la POLICÍA FEDERAL ARGENTINA, según se detalla, para las distintas jerarquías, en los Anexos XI (IF-2017-12866188-APN-JGA#MSG) y XII (IF-2017-12866135-APN-JGA#MSG), respectivamente, que forman parte del presente Decreto.
ARTÍCULO 7°.- Fíjase, a partir del 1° de julio de 2017 y del 1° de agosto de 2017, los importes correspondientes a los suplementos particulares por “Zona”, “Función Técnica de Apoyo” y por “Función Policial Operativa” que percibe el personal Auxiliar de Seguridad y Defensa de la POLICÍA FEDERAL ARGENTINA, según se detalla, para las distintas jerarquías, en los Anexos XIII (IF-2017-12866129- APN-JGA#MSG) y XIV (IF-2017-12866362-APN-JGA#MSG), respectivamente, que forman parte del presente Decreto.
ARTÍCULO 8°.- Fíjase, a partir del 1° de julio de 2017 y del 1° de agosto de 2017, los importes correspondientes al “complemento por responsabilidad jerárquica” que perciben el Director Nacional y el Subdirector Nacional de la GENDARMERÍA NACIONAL, el Prefecto Nacional Naval y el Subprefecto Nacional Naval de la PREFECTURA NAVAL ARGENTINA y el Jefe y el Subjefe de la POLICÍA FEDERAL ARGENTINA, según se detalla en los Anexos XV (IF-2017-12866294-APN-JGA#MSG) y XVI (IF-2017-12866278-APN-JGA#MSG), respectivamente, que forman parte del presente Decreto.
ARTÍCULO 9°.- Fíjase, a partir del 1° de julio de 2017 y del 1° de agosto de 2017, respectivamente, para el Personal Policial de la POLICÍA DE SEGURIDAD AEROPORTUARIA, los importes correspondientes a los Anexos 3, 4, 5 y 6 del Anexo A del Decreto N° 836/08, los que forman parte del presente Decreto como Anexos XVII (IF-2017-12866247-APN-JGA#MSG) y XVIII (IF-2017-12866231-APN-JGA#MSG).
ARTÍCULO 10.- Fíjase, a partir del 1° de julio de 2017 y del 1° de agosto de 2017, los importes correspondientes al suplemento “por exigencia del servicio de seguridad aeroportuaria” que percibe el personal policial que reviste en servicio activo de la POLICÍA DE SEGURIDAD AEROPORTUARIA, según se detalla, para los distintos grados, en los Anexos XIX (IF-2017-12866215-APN-JGA#MSG) y XX (IF-2017-12866207-APN-JGA#MSG) respectivamente, que forman parte del presente Decreto.
ARTÍCULO 11.- Fíjase, a partir del 1° de julio de 2017 y del 1° de agosto de 2017, respectivamente, para el Personal Civil de la POLICÍA DE SEGURIDAD AEROPORTUARIA, los importes correspondientes a los Anexos 5, 6 y 7 del Anexo I del Decreto N° 1190/09, los que forman parte del presente Decreto como Anexos XXI (IF-2017-12865999-APN-JGA#MSG) y XXII (IF-2017-12867991-APN-JGA#MSG).
ARTÍCULO 12.- El gasto que demande el cumplimiento de lo dispuesto por el presente Decreto será atendido con los créditos correspondientes a las jurisdicciones respectivas del Presupuesto General de la Administración Pública Nacional.
ARTÍCULO 13.- Facúltase a la COMISIÓN TÉCNICA ASESORA DE POLÍTICA SALARIAL DEL SECTOR PÚBLICO a dictar las normas interpretativas, aclaratorias y complementarias que resultaren pertinentes para la aplicación de la presente medida.
ARTÍCULO 14.- Facúltase al Jefe de Gabinete de Ministros a efectuar las modificaciones presupuestarias necesarias destinadas a financiar el gasto que demande la aplicación del presente Decreto, a cuyo efecto el MINISTERIO DE SEGURIDAD realizará las estimaciones pertinentes e impulsará, a través del MINISTERIO DE HACIENDA, la instrumentación de las mismas.
ARTÍCULO 15.- Comuníquese, publíquese, dese a la DIRECCIÓN NACIONAL DEL REGISTRO OFICIAL y archívese. — MACRI. — Marcos Peña. — Patricia Bullrich.
NOTA: El/los Anexo/s que integra/n este(a) Decreto se publican en la edición web del BORA —www.boletinoficial.gob.ar— y también podrán ser consultados en la Sede Central de esta Dirección Nacional (Suipacha 767 - Ciudad Autónoma de Buenos Aires).
e. 30/06/2017 N° 46331/17 v. 30/06/2017
(Nota Infoleg: Los anexos referenciados en la presente norma han sido extraídos de la edición web de Boletín Oficial.)
Planillas Anexas al artículo 1°
ANEXO I
ANEXO I
HABER MENSUAL PARA EL PERSONAL CON ESTADO MILITAR DE GENDARME EN ACTIVIDAD DE LA GENDARMERÍA NACIONAL A PARTIR DEL 1° JULIO DE 2017
IF-2017-12866112-APN-JGA#MSG
ANEXO II
HABER MENSUAL PARA EL PERSONAL CON ESTADO MILITAR DE GENDARME EN ACTIVIDAD DE LA GENDARMERÍA NACIONAL A PARTIR DEL 1° AGOSTO DE 2017
IF-2017-12866376-APN-JGA#MSG
Planillas Anexas al artículo 2°
ANEXO III
ANEXO III
A PARTIR DEL 1° JULIO DE 2017
IF-2017-12866105-APN-JGA#MSG
ANEXO IV
A PARTIR DEL 1° AGOSTO DE 2017
IF-2017-12866177-APN-JGA#MSG
Planillas Anexas al artículo 3°
ANEXO V
ANEXO V
HABER MENSUAL PARA EL PERSONAL CON ESTADO POLICIAL EN ACTIVIDAD DE LA PREFECTURA NAVAL ARGENTINA A PARTIR DEL 1° JULIO DE 2017
IF-2017-12866367-APN-JGA#MSG
ANEXO VI
HABER MENSUAL PARA EL PERSONAL CON ESTADO POLICIAL EN ACTIVIDAD DE LA PREFECTURA NAVAL ARGENTINA A PARTIR DEL 1° AGOSTO DE 2017
IF-2017-12866166-APN-JGA#MSG
Planillas Anexas al artículo 4°
ANEXO VII
ANEXO VII
A PARTIR DEL 1° JULIO DE 2017
IF-2017-12866334-APN-JGA#MSG
ANEXO VIII
A PARTIR DEL 1° AGOSTO DE 2017
IF-2017-12866154-APN-JGA#MSG
Planillas Anexas al artículo 5°
ANEXO IX
Planillas Anexas al artículo 5°
ANEXO IX
HABER MENSUAL PARA EL PERSONAL DE LA POLICÍA FEDERAL ARGENTINA A PARTIR DEL 1° JULIO DE 2017
IF-2017-12866310-APN-JGA#MSG
ANEXO X
ANEXO X
HABER MENSUAL PARA EL PERSONAL DE LA POLICÍA FEDERAL ARGENTINA A PARTIR DEL 1° AGOSTO DE 2017
IF-2017-12866149-APN-JGA#MSG
Planillas Anexas al artículo 6°
ANEXO XI
Planillas Anexas al artículo 6°
ANEXO XI
SUPLEMENTO ZONA A PARTIR DEL 1° JULIO DE 2017
SUPLEMENTO POR ALTA DEDICACIÓN OPERATIVA A PARTIR DEL 1° JULIO DE 2017
SUPLEMENTO POR FUNCIÓN TÉCNICA DE APOYO A PARTIR DEL 1° JULIO DE 2017
SUPLEMENTO POR FUNCIÓN POLICIAL OPERATIVA A PARTIR DEL 1° JULIO DE 2017
IF-2017-12866188-APN-JGA#MSG
ANEXO XII
ANEXO XII
SUPLEMENTO ZONA A PARTIR DEL 1° AGOSTO DE 2017
SUPLEMENTO POR ALTA DEDICACION OPERATIVA A PARTIR DEL 1° AGOSTO DE 2017
SUPLEMENTO POR FUNCIÓN TÉCNICA DE APOYO A PARTIR DEL 1° AGOSTO DE 2017
SUPLEMENTO POR FUNCIÓN POLICIAL OPERATIVA A PARTIR DEL 1° AGOSTO DE 2017
IF-2017-12866135-APN-JGA#MSG
Planillas Anexas al artículo 7°
ANEXO XIII
Planillas Anexas al artículo 7°
ANEXO XIII
SUPLEMENTO ZONA A PARTIR DEL 1° JULIO DE 2017
SUPLEMENTO POR FUNCIÓN TÉCNICA DE APOYO A PARTIR DEL 1° JULIO DE 2017
SUPLEMENTO POR FUNCIÓN POLICIAL OPERATIVA A PARTIR DEL 1° JULIO DE 2017
IF-2017-12866129-APN-JGA#MSG
ANEXO XIV
ANEXO XIV
SUPLEMENTO ZONA A PARTIR DEL 1° AGOSTO DE 2017
SUPLEMENTO POR FUNCIÓN TÉCNICA DE APOYO A PARTIR DEL 1° AGOSTO DE 2017
SUPLEMENTO POR FUNCIÓN POLICIAL OPERATIVA A PARTIR DEL 1° AGOSTO DE 2017
IF-2017-12866362-APN-JGA#MSG
Planillas Anexas al artículo 8°
ANEXO XV
Planillas Anexas al artículo 8°
ANEXO XV
COMPLEMENTO POR RESPONSABILIDAD JERÁRQUICA A PARTIR DEL 1° DE JULIO DE 2017
IF-2017-12866294-APN-JGA#MSG
ANEXO XVI
ANEXO XVI
COMPLEMENTO POR RESPONSABILIDAD JERÁRQUICA A PARTIR DEL 1° DE AGOSTO DE 2017
IF-2017-12866278-APN-JGA#MSG
Planillas Anexas al artículo 9°
ANEXO XVII
Planillas Anexas al artículo 9°
ANEXO XVII
SUELDO BÁSICO DEL PERSONAL POLICIAL DE LA POLICÍA DE SEGURIDAD AEROPORTUARIA (ANEXO 3 DEL ANEXO A DEL DECRETO N° 836/08) A PARTIR DEL 1° JULIO DE 2017
SUPLEMENTO POR JEFATURA DEL PERSONAL POLICIAL DE LA POLICÍA DE SEGURIDAD AEROPORTUARIA (ANEXO 4 DEL ANEXO A DEL DECRETO N° 836/08) A PARTIR DEL 1° JULIO DE 2017
SUPLEMENTO POR TAREA JERÁRQUICA DEL PERSONAL POLICIAL DE LA POLICÍA DE SEGURIDAD AEROPORTUARIA (ANEXO 5 DEL ANEXO A DEL DECRETO N° 836/08) A PARTIR DEL 1° JULIO DE 2017
VIÁTICOS DEL PERSONAL POLICIAL DE LA POLICÍA DE SEGURIDAD AEROPORTUARIA (ANEXO 6 DEL ANEXO A DEL DECRETO N° 836/08) A PARTIR DEL 1° JULIO DE 2017
IF-2017-12866247-APN-JGA#MSG
ANEXO XVIII
ANEXO XVIII
SUELDO BÁSICO DEL PERSONAL POLICIAL DE LA POLICÍA DE SEGURIDAD AEROPORTUARIA ANEXO 3 DEL ANEXO A DEL DECRETO N° 836/08) A PARTIR DEL 1° AGOSTO DE 2017
SUPLEMENTO POR JEFATURA DEL PERSONAL POLICIAL DE LA POLICÍA DE SEGURIDAD AEROPORTUARIA (ANEXO 4 DEL ANEXO A DEL DECRETO N° 836/08) A PARTIR DEL 1° DE AGOSTO DE 2017
SUPLEMENTO POR TAREA JERÁRQUICA DEL PERSONAL POLICIAL DE LA POLICÍA DE SEGURIDAD AEROPORTUARIA (ANEXO 5 DEL ANEXO A DEL DECRETO N° 836/08) A PARTIR DEL 1° AGOSTO DE 2017
VIÁTICOS DEL PERSONAL POLICIAL DE LA POLICÍA DE SEGURIDAD AEROPORTUARIA (ANEXO 6 DEL ANEXO A DEL DECRETO N° 836/08) A PARTIR DEL 1° AGOSTO DE 2017
IF-2017-12866231-APN-JGA#MSG
Planillas Anexas al artículo 10
ANEXO XIX
Planillas Anexas al artículo 10
ANEXO XIX
SUPLEMENTO POR EXIGENCIA DEL SERVICIO DE SEGURIDAD AEROPORTUARIA A PARTIR DEL 1° JULIO DE 2017
IF-2017-12866215-APN-JGA#MSG
ANEXO XX
ANEXO XX
SUPLEMENTO POR EXIGENCIA DEL SERVICIO DE SEGURIDAD AEROPORTUARIA A PARTIR DEL 1° AGOSTO DE 2017
IF-2017-12866207-APN-JGA#MSG
Planillas Anexas al artículo 11
ANEXO XXI
Planillas Anexas al artículo 11
ANEXO XXI
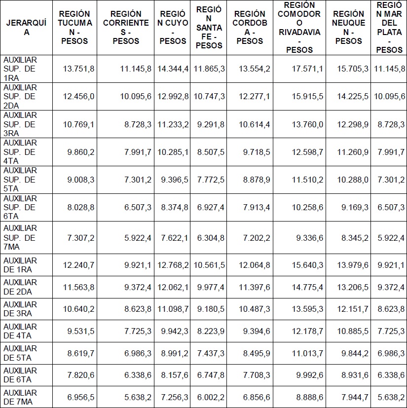
SUELDO BÁSICO Y SUPLEMENTO POR GRADO DEL PERSONAL CIVIL DE LA POLICÍA DE SEGURIDAD AEROPORTUARIA (MONTOS EN PESOS) (ANEXO 5 DEL ANEXO I DEL DECRETO N° 1190/09) A PARTIR DEL 1° JULIO DE 2017
SUPLEMENTO POR TAREA JERÁRQUICA DEL PERSONAL CIVIL DE LA POLICÍA DE SEGURIDAD AEROPORTUARIA (ANEXO 6 DEL ANEXO I DEL DECRETO N° 1190/09) A PARTIR DEL 1° JULIO DE 2017
VIÁTICOS DEL PERSONAL CIVIL DE LA POLICÍA DE SEGURIDAD AEROPORTUARIA (ANEXO 7 DEL ANEXO I DEL DECRETO N° 1190/09) A PARTIR DEL 1° JULIO DE 2017
IF-2017-12865999-APN-JGA#MSG
ANEXO XXII
ANEXO XXII
SUELDO BÁSICO Y SUPLEMENTO POR GRADO DEL PERSONAL CIVIL DE LA POLICÍA DE SEGURIDAD AEROPORTUARIA (MONTOS EN PESOS) (ANEXO 5 DEL ANEXO I DEL DECRETO N° 1190/09) A PARTIR DEL 1° AGOSTO DE 2017

SUPLEMENTO POR TAREA JERÁRQUICA DEL PERSONAL CIVIL DE LA POLICÍA DE SEGURIDAD AEROPORTUARIA (ANEXO 6 DEL ANEXO I DEL DECRETO N° 1190/09) A PARTIR DEL 1° AGOSTO DE 2017

VIÁTICOS DEL PERSONAL CIVIL DE LA POLICÍA DE SEGURIDAD AEROPORTUARIA (ANEXO 7 DEL ANEXO I DEL DECRETO N° 1190/09) A PARTIR DEL 1° AGOSTO DE 2017
SUPLEMENTO POR TAREA JERÁRQUICA DEL PERSONAL CIVIL DE LA POLICÍA DE SEGURIDAD AEROPORTUARIA (ANEXO 6 DEL ANEXO I DEL DECRETO N° 1190/09) A PARTIR DEL 1° AGOSTO DE 2017
VIÁTICOS DEL PERSONAL CIVIL DE LA POLICÍA DE SEGURIDAD AEROPORTUARIA (ANEXO 7 DEL ANEXO I DEL DECRETO N° 1190/09) A PARTIR DEL 1° AGOSTO DE 2017
IF-2017-12867991-APN-JGA#MSG