Presidencia de la Nación

Resolución 1368 / 2007

SECRETARIA DE TRABAJO


CONVENCIONES COLECTIVAS DE TRABAJO

EMPLEADOS DE COMERCIO TIERRA DEL FUEGO - REG. 1480/07

Sanción:

Publicada en el Boletín Oficial:


Normativa

MINISTERIO DE TRABAJO, EMPLEO Y SEGURIDAD SOCIAL

SECRETARIA DE TRABAJO

Resolución Nº 1368/2007

Registro Nº 1480/07

Bs. As., 9/11/2007

VISTO el Expediente Nº 1.246.565/07 del Registro del MINISTERIO DE TRABAJO, EMPLEO Y SEGURIDAD SOCIAL, la Ley Nº 14.250 (t.o. 2004), la Ley Nº 20.744 (t.o. 1976) y sus modificatorias, la Ley Nº 25.877, el Decreto Nº 900 de fecha 29 de junio de 1995, y

CONSIDERANDO:

Que a fojas 3/27 del Expediente citado en el Visto, tramita el Acuerdo celebrado entre la FEDERACION ARGENTINA DE EMPLEADOS DE COMERCIO Y SERVICIOS junto al CENTRO DE EMPLEADOS DE COMERCIO DE RIO GRANDE PROVINCIA DE TIERRA DEL FUEGO por el sector de los trabajadores y por el sector empleador la CONFEDERACION ARGENTINA DE LA MEDIANA EMPRESA, la UNION DE ENTIDADES COMERCIALES ARGENTINAS, la CAMARA ARGENTINA DE COMERCIO y la CAMARA DE COMERCIO, INDUSTRIA Y PRODUCCION DE RIO GRANDE PROVINCIA DE TIERRA DEL FUEGO, en el marco del Convenio Colectivo de Trabajo Nº 130/75, conforme la Ley Nº 14.250 (t.o. 2004).

Que las partes expresamente le confieren al presente Acuerdo, el carácter de regional conforme lo dispuesto en el acápite 1º del Artículo 16 de la Ley Nº 14.250 (t.o. 2004).

Que por el mismo establecen un salario conformado regional que estará integrado por el salario básico del Convenio Colectivo de Trabajo Nº 130/75 más el complemento regional allí pactado.

Que asimismo, pactan los valores a percibir por los trabajadores alcanzados en concepto de beneficios sociales contemplados en el Artículo 103 bis de la Ley de Contrato de Trabajo Nº 20.744 (t.o. 1976).

Que como fecha de entrada en vigencia las partes establecen el mes de noviembre de 2007.

Que se advierte que las cláusulas pactadas no contienen aspectos que afecten o alteren los principios, derechos y garantías contenidos en el marco normativo, comúnmente denominado "orden público laboral".

Que analizados los puntos que integran el Acuerdo en consideración, es dable manifestar que el ámbito territorial y personal del mismo se corresponde con la actividad representada por las instituciones empresarias signatarias y la representatividad de las entidades sindicales firmantes, emergente de su respectiva personería gremial.

Que asimismo se acreditan los recaudos formales exigidos por la Ley Nº 14.250 (t.o. 2004).

Que las partes acreditan la representación que invocan con la documentación agregada en autos y ratifican en todos sus términos los mentados plexos convencionales.

Que por último correspondería que una vez dictado el presente acto administrativo homologatorio, se remitan estas actuaciones a la Dirección de Regulaciones del Trabajo, a fin de proceder al cálculo del tope previsto por el artículo 245 de la Ley Nº 20.744 (t.o. 1976) y sus modificatorias.

Que la Asesoría Legal de la Dirección Nacional de Relaciones del Trabajo de este MINISTERIO, tomó la intervención que le compete.

Que por lo expuesto, corresponde dictar el pertinente acto administrativo de conformidad con los antecedentes mencionados.

Que las facultades de la suscripta para resolver en las presentes actuaciones, surgen de las atribuciones otorgadas por el Decreto Nº 900/95.

Por ello;

LA SECRETARIA DE TRABAJO

RESUELVE:

ARTICULO 1º — Declárese homologado el texto ordenado del Acuerdo salarial celebrado entre la FEDERACION ARGENTINA DE EMPLEADOS DE COMERCIO Y SERVICIOS junto al CENTRO DE EMPLEADOS DE COMERCIO DE RIO GRANDE PROVINCIA DE TIERRA DEL FUEGO por el sector de los trabajadores y por el sector empleador la CONFEDERACION ARGENTINA DE LA MEDIANA EMPRESA, la UNION DE ENTIDADES COMERCIALES ARGENTINAS, la CAMARA ARGENTINA DE COMERCIO y la CAMARA DE COMERCIO, INDUSTRIA Y PRODUCCION DE RIO GRANDE PROVINCIA DE TIERRA DEL FUEGO, en el marco del Convenio Colectivo de Trabajo Nº 130/75, conforme la Ley Nº 14.250 (t.o. 2004), obrante a fojas 3/27 del Expediente Nº 1.246.565/07.

ARTICULO 2º — Regístrese la presente Resolución en el Departamento Despacho de la Dirección Despacho, Mesa de Entradas y Archivo dependiente de la SUBSECRETARIA DE COORDINACION. Cumplido, pase a la Dirección Nacional de Relaciones del Trabajo a fin que la División Normas Laborales y Registro General de Convenciones Colectivas y Laudos registre el Acuerdo obrante a fojas 3/27 del Expediente Nº 1.246.565/07.

ARTICULO 3º — Remítase copia debidamente autenticada al Departamento Biblioteca para su difusión.

ARTICULO 4º — Gírese a Control de Gestión de la Dirección Nacional de Relaciones del Trabajo para la notificación a las partes signatarias. Cumplido, pase a la Dirección de Regulaciones del Trabajo a fin de elaborar el pertinente proyecto de base promedio y tope indemnizatorio, de las escalas salariales que por este acto se homologan, de conformidad con lo establecido en el artículo 245 de la Ley Nº 20.744 (t.o. 1976) y sus modificatorias.

ARTICULO 5º — Hágase saber que en el supuesto que este MINISTERIO DE TRABAJO, EMPLEO Y SEGURIDAD SOCIAL no efectúe la publicación de carácter gratuito de este Acuerdo y/o de esta resolución, las partes deberán proceder de acuerdo a lo establecido en el Artículo 5 de la Ley Nº 14.250 (t.o. 2004).

ARTICULO 6º — Comuníquese, publíquese, dése a la Dirección Nacional del Registro Oficial y archívese. — Dra. NOEMI RIAL, Secretaria de Trabajo.

Expediente Nº 1.246.565/07

Buenos Aires, 15 de noviembre de 2007

De conformidad con lo ordenado en la RESOLUCION ST Nº 1368/07, se ha tomado razón del acuerdo obrante a fojas 3/27 del expediente de referencia, quedando registrado con el Nº 1480/07. — VALERIA A. VALETTI, Registro, Convenios Colectivos de Trabajo, Dto. Coordinación - D.N.R.T.

ACUERDO REGIONAL - DEPARTAMENTO RIO GRANDE

TIERRA DEL FUEGO

En la ciudad de Buenos Aires, a los 7 días del mes de noviembre de 2007, entre la FEDERACION ARGENTINA DE EMPLEADOS DE COMERCIO Y SERVICIOS —F.A.E.C. y S.—, representada por los Señores Armando O. Cavalieri, Jorge Andrés Bence, Daniel Lovera y Ricardo Raimondo con el asesoramiento de los Dres. Alberto Tomassone, Pedro San Miguel y Jorge Emilio Barbieri, constituyendo domicilio legal en Av. Julio A. Roca 644 de la Ciudad Autónoma de Buenos Aires, el CENTRO DE EMPLEADOS DE COMERCIO de RIO GRANDE-TIERRA DEL FUEGO (en adelante el C.E.C.) representada en este acto por los señores Daniel Domingo Rostagno y Daniel Rivarola, constituyendo domicilio en calle Moyano 750, 2º piso, Río Grande. El señor Armando Cavalieri lo hace asimismo en su carácter de Presidente de la OBRA SOCIAL DE EMPLEADOS DE COMERCIO Y ACTIVIDADES CIVILES (O.S.E.C.A.C.), por el sector sindical. Por la parte empresaria, el Dr. Francisco Matilla por la CONFEDERACION ARGENTINA DE LA MEDIANA EMPRESA —C.A.M.E.—, constituyendo domicilio especial en Florida 15, 3º piso de la Ciudad Autónoma de Buenos Aires, la señora Ana María Porto en su carácter de apoderada de la UNION DE ENTIDADES COMERCIALES ARGENTINAS —U.D.E.C.A.— constituyendo domicilio especial en Av. Rivadavia 933, 1º piso, de la Ciudad Autónoma de Buenos Aires, el Dr. Pedro Etcheverry en representación de la CAMARA ARGENTINA DE COMERCIO —C.A.C.—, constituyendo domicilio especial en Av. Leandro N. Alem 36, 8º piso, de la Ciudad Autónoma de Buenos Aires, y el Sr. Diego Carlos Navarro en su carácter de Presidente de la CAMARA DE COMERCIO INDUSTRIA Y PRODUCCION de RIO GRANDE-TIERRA DEL FUEGO, constituyendo domicilio especial en Av. San Martín 627, 1º piso, de la ciudad de Río Grande, todos ellos a efectos de celebrar el presente acuerdo colectivo regional en el marco del CCT 130/75 y arts. 16, 18, 19 y ccs. de la Ley 14.250 (Texto Ordenado Dto. 1135/2004 PEN, modificatorias y complementarias), conforme lo siguiente:

ART. 1º. ANTECEDENTES. OBJETO. La antigua Cámara de Comercio de la ciudad de Río Grande, simple asociación por no contar con personería jurídica, celebró un acuerdo con el Centro de Empleados de Comercio en el año 1986, ante la escasa o nula movilidad convencional de los salarios, con el fin de mejorar los ingresos de los trabajadores mercantiles. Ello mediante el mecanismo de incorporación de un rubro a cuenta de futuros aumentos (por entonces denominado ACFA). La entonces defectuosa (por insuficiente) constitución de la cámara empresaria y la inexistencia de reconocimiento de personería gremial, originó incertidumbre jurídica respecto de los sujetos alcanzados (esto es: obligados) por aquel acuerdo de partes, sin haber transitado procedimiento alguno en el marco de la legislación en materia convencional y paritaria. Posteriormente, las liquidaciones de haberes de los trabajadores mercantiles han ido tomando distintas formas y aplicaciones; de todo lo cual fueron surgiendo controversias interpretativas y colisión de intereses, con situaciones litigiosas en sede administrativa y judicial, siendo que el C.E.C. en todo momento propugnó la implementación local y generalizada de un suplemento que mejorará la pauta del art. 20 del CCT 130/75.

Consecuentemente, sin reconocer hechos ni derechos, las partes signatarias deciden realizar la presente convención con el objeto de zanjar las diferencias apuntadas, aunando criterios que permitan seguridad jurídica.

ART. 2º. ZONA DE APLICACION. SUJETOS ALCANZADOS. La presente convención es de carácter regional (conforme art. 16, 1º acápite de la Ley 14.250), siendo su ámbito de aplicación territorial el Departamento de Río Grande, Tierra del Fuego; que incluye a las localidades de San Sebastián, Río Grande y Tolhuin. La convención abarca tanto, a todos los empleadores de las actividades mercantiles encuadrados en la CCT 130/75 como a la totalidad de sus trabajadores, en el ámbito indicado.

ART. 3º. SALARIO CONFORMADO REGIONAL. COMPLEMENTO REGIONAL

Las partes acuerdan establecer un "SALARIO CONFORMADO REGIONAL" el cual está integrado por el SALARIO BASICO DE CONVENIO 130/75 (según categoría y antigüedad de cada trabajador) más el "COMPLEMENTO REGIONAL" (según categoría y antigüedad de cada trabajador), según surge de las Planillas denominadas ANEXO A.

Al "SALARIO CONFORMADO REGIONAL" se le adicionará el premio por presentismo establecido en el artículo 40 del CCT 130/75.

El adicional remunerativo denominado "COMPLEMENTO REGIONAL" será aplicado conforme los montos y fechas que en planilla por separado se acompañan y forman parte del presente acuerdo, como ANEXO A.

El denominado "Complemento Regional", absorberá hasta su concurrencia los rubros denominados "zona", "zona inhóspita" "plus de zona" "ACFA" o similares. Dicho adicional además incluye el porcentual establecido en el art. 20 de la CCT 130/75. Dejándose sentado que no tiene efecto sobre los demás adicionales de convenio, los que se liquidarán conforme el CCT 130/75.

Las planillas mencionadas contemplan e incluyen lo pactado a nivel nacional según Acuerdo Junio 2007 según Resolución ST 632/2007.

Todo incremento que acontezca a futuro, sea el mismo de carácter convencional o legal (disposiciones gubernamentales), serán absorbidos hasta su total concurrencia por el "SALARIO CONFORMADO REGIONAL".

El resultante de este acuerdo se denominará "SALARIO CONFORMADO REGIONAL", cuyo importe constituirá la remuneración de todos los trabajadores alcanzados de manera exclusiva y excluyente en este ámbito geográfico, estableciéndose que su variación quedará sujeta a nuevo acuerdo entre las partes locales a su vencimiento.

Asimismo las sumas establecidas por el denominado "SALARIO CONFORMADO REGIONAL" (ANEXO A), con más los ticket establecidos en el punto 4° del presente, en ningún supuesto podrán ser inferiores a la suma del básico de convenio con más el porcentaje establecido en el artículo 20 del mismo (CCT 130/75).

ART. 4º. BENEFICIOS SOCIALES. En el marco de las posibilidades establecidas por el art. 103 bis de la LCT y normas complementarias, las partes han pactado beneficios sociales para el personal que se detallan en el Anexo A, como parte integrante de la presente. El beneficio aquí estipulado consiste en el otorgamiento de Vales de carácter no remunerativos (art. 103 bis, LCT), a percibir mensualmente en las cantidades detalladas en dicho Anexo, mediante empresas legalmente habilitadas a tal fin. Se entregará, a partir del mes de noviembre de 2007, el equivalente a la suma de Pesos DOSCIENTOS ($ 200) mensuales; se le adicionarán en el mes de marzo de 2008 el equivalente a Pesos CIEN ($ 100) haciendo un total equivalente a Pesos TRESCIENTOS ($ 300) mensuales. Para el supuesto que se suprimiera o limitara el beneficio del artículo 103 bis de la LCT (t.o) la parte empresaria se obliga a reemplazar dicho beneficio por otro de iguales características. A partir de la vigencia del presente, los empleadores que abonen en dinero sumas iguales o superiores al "SALARIO CONFORMADO REGIONAL" con más los beneficios de este artículo, no estarán obligados a concederlos, y los que superen el "SALARIO CONFORMADO REGIONAL" y no alcancen la suma con más los beneficios del presente artículo, estarán obligados a concederlos hasta su concurrencia.

ART. 5º. DESISTIMIENTO DE ACCIONES ADMINISTRATIVAS Y JUDICIALES. Atento al entendimiento a que han llegado las partes mediante este mecanismo convencional, que pone fin a las discusiones engendradas en las situaciones descriptas en el artículo primero, los signatarios acuerdan dar por finalizada toda controversia relacionada, desistiendo de las acciones administrativas y judiciales en curso (en su caso del derecho, según su estado), pactando en cada caso, que las costas causídicas serán soportadas por su orden. Se incluyen en esta cláusula las acciones iniciadas por C.E.C., O.S.E.C.A.C. y FAECYS, con causa en las diferencias reclamadas por aportes y contribuciones por la no aplicación del sesenta por ciento (60%) de zona adicional (y/o restantes denominaciones, con o sin acumulación del art. 20 del CCT 130/75), absorbidas o no del acuerdo convencional nacional de 2005. Ello por entender que los puntos controversiales han sido ordenados y subsanados en este acuerdo, no teniendo nada más que reclamarse las partes por este concepto. El presente artículo resultará operativo ante la presentación judicial de ambas partes litigantes, con la expresa condición de requerir que las costas sean impuestas en el orden causado. Las acciones que incluyan reclamos por otros conceptos devengados de las obligaciones cuasi fiscales o sindicales, serán reajustadas a su exacta proporción, sin perjuicio de los acuerdos particulares a que puedan arribar los litigantes. Se deja aclarado que los acuerdos, planes de pagos o deudas en situación de cobro por reconocimientos de empleadores o sentencias firmes no resultan novados por este acuerdo, como asimismo que tanto el C.E.C. como O.S.E.C.A.C. y FAECYS no quedan obligados a restituir sumas percibidas antes de ahora, quedando definitivamente incorporadas a su patrimonio.

ART. 6º. VIGENCIA. El presente tendrá una vigencia temporal de 1 año a contar del día primero de noviembre de 2007 o la modificación de las escalas salariales del CCT 130/75, lo que primero ocurra, resultando ultraactivo en tanto las partes no lo modifiquen mediante el procedimiento paritario de ley; previa citación en tiempo y forma. Transcurrido el plazo o producida la modificación del convenio marco a nivel nacional, las partes deberán constituirse en mesa de negociación a fin de actualizar el "Salario Conformado Regional", mediante la modificación del rubro "Complemento Regional" y/o los beneficios acordados.

En caso de no establecerse reunión alguna a los efectos de actualizar el "SALARIO CONFORMADO REGIONAL", pasados los 45 días del vencimiento de la fecha de finalización de la vigencia y luego de ser citadas fehacientemente los signatarios de jurisdicción local, cualesquiera de las partes podrán denunciar el hecho como falta grave ante la autoridad del trabajo, conforme las previsiones de la ley.

Sin perjuicio del necesario trámite de homologación para la obligación erga omnes del acuerdo convencional, las partes comprometen su mejor esfuerzo para dar inmediata difusión del mismo, a través de los medios públicos y privados, Consejo de Profesionales de Ciencias Económicas, Colegio Público de Abogados de Río Grande, etc. Ello especialmente con el fin de que los empleadores puedan articular sus instancias administrativas a fin de hacer efectiva la liquidación de haberes de conformidad a lo aquí establecido.

ART. 7º. CLAUSULA TRANSITORIA. GARANTIA. Atento a la disparidad de criterios con que los empleadores liquidan actualmente los haberes de su personal, se pacta expresamente como garantía y por razones de equidad, que para aquellos trabajadores que perciban en abril de 2008 salarios o beneficios superiores al "SALARIO CONFORMADO REGIONAL" con más los beneficios del Art. 4º, resultante de este acuerdo, las diferencias que surjan en mas, formarán un rubro especial que se denominará "SALDO ACUERDO REGIONAL" y sin incidencia en el rubro "Complemento Regional". El concepto, es decir, dichas diferencias, se ajustarán mediante la aplicación del o los incrementos en paritarias nacionales de los básicos del CCT 130/75, únicamente sobre este componente diferencial residual. El "SALDO ACUERDO REGIONAL" podrá ser absorbido proporcionalmente por el "SALARIO CONFORMADO REGIONAL" cuando este último se incremente por encima de las pautas del convenio CCT 130/75.

7.1. Aclaraciones: a) si el básico de convenio 130/75 observa un aumento porcentual, el mismo parámetro tendrá de aumento el rubro "Saldo Acuerdo Regional"; b) si el básico de convenio 130/75 observa un aumento de suma fija, su equivalente porcentual se trasladará como aumento en igual proporción al rubro "Saldo Acuerdo Regional". En este sentido, las partes comprometen su mayor esfuerzo a fin de alcanzar un salario uniforme de equidad, que satisfaga a los trabajadores, logrando así el fin perseguido por esta convención especial, es decir, un salario digno, igualitario en la actividad y acorde a las necesidades locales que operará como salario mínimo a abonar a los trabajadores, conforme el espíritu de toda negociación colectiva, con respeto de las voluntades individuales. c) Queda aclarado también que a la finalización de esta cláusula transitoria y según resulten las sucesivas paritarias, nunca podrá afectarse (disminuirse) la remuneración de los trabajadores que ganen más de lo pactado convencionalmente, por resultar de aplicación los principios generales del trabajo, (formando un derecho adquirido).

7.2. EXCEDENTE ACUERDO. Desde el inicio de vigencia del presente hasta el mes de marzo de 2008 (inclusive), los trabajadores que perciban sueldos superiores al "SALARIO CONFORMADO REGIONAL", verán reflejada la diferencia en un concepto que se denominará "EXCEDENTE ACUERDO", que será absorbido y reemplazado por el "SALDO ACUERDO REGIONAL" a partir del mes de abril de 2008.

ART. 8º. MESA DE INTERPRETACION. Para el caso de surgir alguna dificultad en la aplicación de las pautas convencionales que aquí se estipulan, se designa desde ya una Mesa de Interpretación compuesta por dos integrantes de la Entidad Sindical Centro de Empleados de Comercio y dos por la Cámara de Comercio Industria y Producción de Río Grande.

ART 9º. DECLARACION CONJUNTA. HOMOLOGACION. Las partes convienen en forma expresa, que en ninguna circunstancia y bajo ningún concepto las cláusulas de este acuerdo podrán ser interpretadas como modificatorias del CCT 130/75 y sus actualizaciones.

A los efectos de acordar a la presente fuerza convencional, las partes solicitan a la autoridad administrativa del trabajo, la pertinente HOMOLOGACION del presente acuerdo, entendiendo que con éste quedan zanjadas todas las diferencias que pudieran haber dado motivo a controversias en la sede de la cartera laboral provincial o nacional, como asimismo en sede judicial federal u ordinaria.

Las partes signatarias declaran muy especialmente haber realizado el máximo esfuerzo posible en base a la buena fe negocial; marco en el cual seguirán trabajando a fin de lograr un mejoramiento efectivo en las relaciones interpersonales e institucionales; habiendo dado por concluida una situación controversial de alrededor de 21 años de infortunada evolución.

No siendo para más, se firman nueve (9) ejemplares de un mismo tenor, junto a los Anexos de planilla de remuneraciones y beneficios y modelo de liquidación, como parte integrante del acuerdo, destinando uno a la presentación y consideración del Ministerio de Trabajo, Empleo, Formación y Seguridad Social de la Nación a sus efectos.

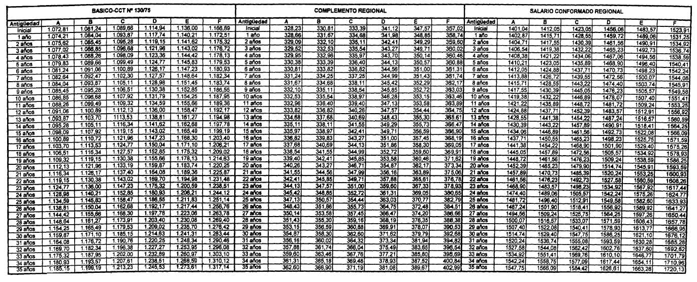
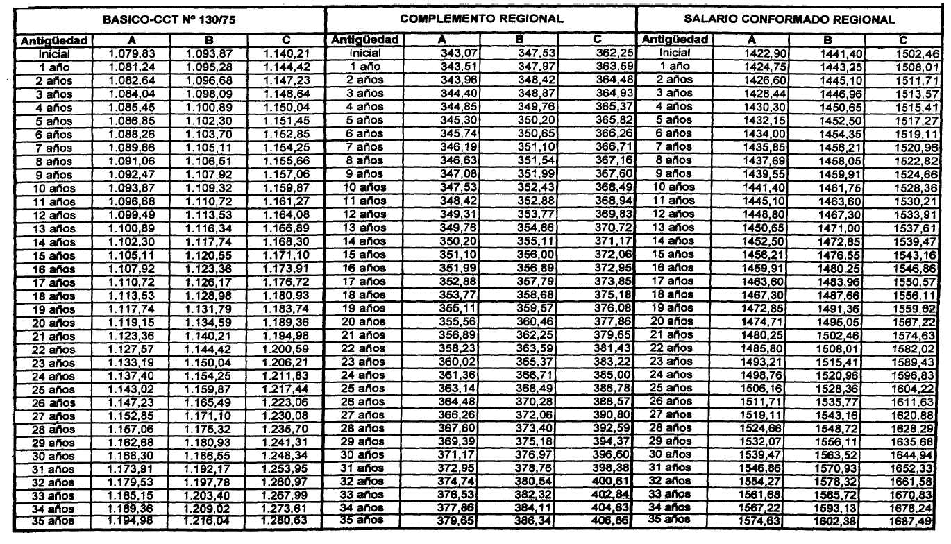
ACUERDO REGIONAL - DEPARTAMENTO RIO GRANDE - TIERRA DEL FUEGO - ANEXO "A" - Página 1/21

ESCALAS SALARIALES POR CATEGORIAS Y ANTIGÜEDAD - NOVIEMBRE 2007

SALARIOS MAESTRANZA

SALARIO CONFORMADO REGIONAL

ADICIONAR AUMENTO NO REMUNERATIVO 23% (SOBRE SALARIO CONFORMADO REGIONAL)

PRESENTISMO: adicionar a esta escala el 8,33% por asistencia perfecta (art. 40 del C.C.T. 130/75)

ADICIONAR VALES no remunerativos ART. 103 bis, inciso "c" LCT, por la suma total mensual de $ 200.-

ACUERDO REGIONAL - DEPARTAMENTO RIO GRANDE - TIERRA DEL FUEGO - ANEXO "A" - Página 2/21

ESCALAS SALARIALES POR CATEGORIAS Y ANTIGÜEDAD - NOVIEMBRE 2007

SALARIOS ADMINISTRATIVOS

SALARIO CONFORMADO REGIONAL

ADICIONAR AUMENTO NO REMUNERATIVO 23% (SOBRE SALARIO CONFORMADO REGIONAL)

PRESENTISMO: adicionar a esta escala el 8,33% por asistencia perfecta (art. 40 del C.C.T. 130/75)

ADICIONAR VALES no remunerativos ART. 103 bis, Inciso "c" LCT, por la suma total mensual de $ 200.-

ACUERDO REGIONAL - DEPARTAMENTO RIO GRANDE - TIERRA DEL FUEGO - ANEXO "A" - Página 3/21

ESCALAS SALARIALES POR CATEGORIAS Y ANTIGÜEDAD - NOVIEMBRE 2007

SALARIOS AUXILIARES

SALARIO CONFORMADO REGIONAL

ADICIONAR AUMENTO NO REMUNERATIVO 23% (SOBRE SALARIO CONFORMADO REGIONAL)

PRESENTISMO: adicionar a esta escala el 8,33% por asistencia perfecta (art. 40 del C.C.T. 130/75)

ADICIONAR VALES no remunerativos ART. 103 bis, inciso "c" LCT, por la suma total mensual de $ 200.-

ACUERDO REGIONAL - DEPARTAMENTO RIO GRANDE - TIERRA DEL FUEGO - ANEXO "A" - Página 4/21

ESCALAS SALARIALES POR CATEGORIAS Y ANTIGÜEDAD - NOVIEMBRE 2007

SALARIOS AUXILIARES ESPECIALIZADOS

SALARIO CONFORMADO REGIONAL

ADICIONAR AUMENTO NO REMUNERATIVO 23% (SOBRE SALARIO CONFORMADO REGIONAL)

PRESENTISMO: adicionar a esta escala el 8,33% por asistencia perfecta (art. 40 del C.C.T. 130/75)

ADICIONAR VALES no remunerativos ART. 103 bis, inciso "c" LCT, por la suma total mensual de $ 200.-

ACUERDO REGIONAL - DEPARTAMENTO RIO GRANDE - TIERRA DEL FUEGO - ANEXO "A" - Página 5/21

ESCALAS SALARIALES POR CATEGORIAS Y ANTIGÜEDAD - NOVIEMBRE 2007

SALARIOS VENDEDORES

SALARIO CONFORMADO REGIONAL

ADICIONAR AUMENTO NO REMUNERATIVO 23% (SOBRE SALARIO CONFORMADO REGIONAL)

PRESENTISMO: adicionar a esta escala el 8,33% por asistencia perfecta (art. 40 del C.C.T. 130/75)

ADICIONAR VALES no remunerativos ART. 103 bis, inciso "c" LCT, por la suma total mensual de $ 200.-

ACUERDO REGIONAL - DEPARTAMENTO RIO GRANDE - TIERRA DEL FUEGO - ANEXO "A" - Página 6/21

ESCALAS SALARIALES POR CATEGORIAS Y ANTIGÜEDAD - NOVIEMBRE 2007

SALARIOS CAJEROS

SALARIO CONFORMADO REGIONAL

ADICIONAR AUMENTO NO REMUNERATIVO 23% (SOBRE SALARIO CONFORMADO REGIONAL)

PRESENTISMO: adicionar a esta escala el 8,33% por asistencia perfecta (art 40 del C.C.T. 130/75)

ADICIONAR VALES no remunerativos ART. 103 bis, inciso "c" LCT, por la suma total mensual de $ 200.-

ACUERDO REGIONAL - DEPARTAMENTO RIO GRANDE - TIERRA DEL FUEGO - ANEXO "A" - Página 7/21

ESCALAS SALARIALES POR CATEGORIAS Y ANTIGÜEDAD - NOVIEMBRE 2007

SALARIO CONFORMADO REGIONAL

ADICIONAR AUMENTO NO REMUNERATIVO 23% (SOBRE SALARIO CONFORMADO REGIONAL)

PRESENTISMO: adicionar a esta escala el 8,33% por asistencia perfecta (art. 40 del C.C.T. 130/75)

ADICIONAR VALES no remunerativos ART. 103 bis, Inciso "c" LCT, por la suma total mensual de $ 200.-

ACUERDO REGIONAL - DEPARTAMENTO RIO GRANDE - TIERRA DEL FUEGO - ANEXO "A" - Página 8/21

ESCALAS SALARIALES POR CATEGORIAS Y ANTIGÜEDAD - MARZO 2008

SALARIOS MAESTRANZA

SALARIO CONFORMADO REGIONAL

ADICIONAR AUMENTO NO REMUNERATIVO 23% (SOBRE SALARIO CONFORMADO REGIONAL)

PRESENTISMO: adicionar a esta escala el 8,33% por asistencia perfecta (art. 40 del C.C.T. 130/75)

ADICIONAR VALES no remunerativos ART. 103 bis, inciso "c" LCT, $ 100.-, ascendiendo a la suma total mensual de $ 300.-

ACUERDO REGIONAL - DEPARTAMENTO RIO GRANDE - TIERRA DEL FUEGO - ANEXO "A" - Página 9/21

ESCALAS SALARIALES POR CATEGORIAS Y ANTIGÜEDAD - MARZO 2008

SALARIOS ADMINISTRATIVOS

SALARIO CONFORMADO REGIONAL

ADICIONAR AUMENTO NO REMUNERATIVO 23% (SOBRE SALARIO CONFORMADO REGIONAL)

PRESENTISMO: adicionar a esta escala el 8,33% por asistencia perfecta (art. 40 del C.C.T. 130/75)

ADICIONAR VALES no remunerativos ART. 103 bis, inciso "c" LCT $ 100.-, ascendiendo a la suma total mensual de $ 300.-

ACUERDO REGIONAL - DEPARTAMENTO RIO GRANDE - TIERRA DEL FUEGO - ANEXO "A" - Página 10/21

ESCALAS SALARIALES POR CATEGORIAS Y ANTIGÜEDAD - MARZO 2008

SALARIOS AUXILIARES

SALARIO CONFORMADO REGIONAL

ADICIONAR AUMENTO NO REMUNERATIVO 23% (SOBRE SALARIO CONFORMADO REGIONAL)

PRESENTISMO: adicionar a esta escala el 8,33% por asistencia perfecta (art 40 del C.C.T. 130/75)

ADICIONAR VALES no remunerativos ART. 103 bis, inciso "c" LCT, $ 100.-, ascendiendo a la suma total mensual de $ 300.-

ACUERDO REGIONAL - DEPARTAMENTO RIO GRANDE - TIERRA DEL FUEGO - ANEXO "A" - Página 11/21

ESCALAS SALARIALES POR CATEGORIAS Y ANTIGÜEDAD - MARZO 2008

SALARIOS AUXILIARES ESPECIALIZADOS

SALARIO CONFORMADO REGIONAL

ADICIONAR AUMENTO NO REMUNERATIVO 23% (SOBRE SALARIO CONFORMADO REGIONAL)

PRESENTISMO: adicionar a esta escala el 8,33% por asistencia perfecta (art. 40 del C.C.T. 130/75)

ADICIONAR VALES no remunerativos ART. 103 bis, inciso "c" LCT, $ 100.-, ascendiendo a la suma total mensual de $ 300.-

ACUERDO REGIONAL - DEPARTAMENTO RIO GRANDE - TIERRA DEL FUEGO - ANEXO "A" - Página 12/21

ESCALAS SALARIALES POR CATEGORIAS Y ANTIGÜEDAD - MARZO 2008

SALARIOS VENDEDORES

SALARIO CONFORMADO REGIONAL

ADICIONAR AUMENTO NO REMUNERATIVO 23% (SOBRE SALARIO CONFORMADO REGIONAL)

PRESENTISMO: adicionar a esta escala el 8,33% por asistencia perfecta (art. 40 del C.C.T. 130/75)

ADICIONAR VALES no remunerativos ART. 103 bis, inciso "c" LCT, $ 100.-, ascendiendo a la suma total mensual de $ 300.-

ACUERDO REGIONAL - DEPARTAMENTO RIO GRANDE - TIERRA DEL FUEGO - ANEXO "A" - Página 13/21

ESCALAS SALARIALES POR CATEGORIAS Y ANTIGÜEDAD - MARZO 2008

SALARIOS CAJEROS

SALARIO CONFORMADO REGIONAL

ADICIONAR AUMENTO NO REMUNERATIVO 23% (SOBRE SALARIO CONFORMADO REGIONAL)

PRESENTISMO: adicionar a esta escala el 8,33% por asistencia perfecta (art. 40 del C.C.T. 130/75)

ADICIONAR VALES no remunerativos ART. 103 bis, inciso "c" LCT, $ 100.-, ascendiendo a la suma total mensual de $ 300.-

ACUERDO REGIONAL - DEPARTAMENTO RIO GRANDE - TIERRA DEL FUEGO - ANEXO "A" - Página 14/21

ESCALAS SALARIALES POR CATEGORIAS Y ANTIGÜEDAD - MARZO 2008

SALARIO CONFORMADO REGIONAL

ADICIONAR AUMENTO NO REMUNERATIVO 23% (SOBRE SALARIO CONFORMADO REGIONAL)

PRESENTISMO: adicionar a esta escala el 8,33% por asistencia perfecta (art. 40 del C.C.T. 130/75)

ADICIONAR VALES no remunerativos ART. 103 bis, Inciso "c" LCT, $ 100.-, ascendiendo a la suma total mensual de $ 300.-

ACUERDO REGIONAL - DEPARTAMENTO RIO GRANDE - TIERRA DEL FUEGO - ANEXO "A" - Página 15/21

ESCALAS SALARIALES POR CATEGORIAS Y ANTIGÜEDAD - ABRIL 2008

SALARIOS MAESTRANZA

SALARIO CONFORMADO REGIONAL

PRESENTISMO: adicionar a esta escala el 8,33% por asistencia perfecta (art. 40 del C.C.T. 130/75)

VALES no remunerativos ART. 103 bis, inciso "c" LCT, la suma total mensual de $ 300.-

ACUERDO REGIONAL - DEPARTAMENTO RIO GRANDE - TIERRA DEL FUEGO - ANEXO "A" - Página 16/21

ESCALAS SALARIALES POR CATEGORIAS Y ANTIGÜEDAD - ABRIL 2008

SALARIOS ADMINISTRATIVOS

SALARIO CONFORMADO REGIONAL

PRESENTISMO: adicionar a esta escala el 8,33% por asistencia perfecta (art. 40 del C.C.T. 130/75)

VALES no remunerativos ART. 103 bis, inciso "c" LCT, la suma total mensual de $ 300.-

ACUERDO REGIONAL - DEPARTAMENTO RIO GRANDE - TIERRA DEL FUEGO - ANEXO "A" - Página 17/21

ESCALAS SALARIALES POR CATEGORIAS Y ANTIGÜEDAD - ABRIL 2008

SALARIOS AUXILIARES

SALARIO CONFORMADO REGIONAL

PRESENTISMO: adicionar a esta escala el 8,33% por asistencia perfecta (art. 40 del C.C.T. 130/75)

VALES no remunerativos ART. 103 bis, inciso "c" LCT, la suma total mensual de $ 300.-

ACUERDO REGIONAL - DEPARTAMENTO RIO GRANDE - TIERRA DEL FUEGO - ANEXO "A" - Página 18/21

ESCALAS SALARIALES POR CATEGORIAS Y ANTIGÜEDAD - ABRIL 2008

SALARIOS AUXILIARES ESPECIALIZADOS

SALARIO CONFORMADO REGIONAL

PRESENTISMO: adicionar a esta escala el 8,33% por asistencia perfecta (art. 40 del C.C.T. 130/75)

VALES no remunerativos ART. 103 bis, inciso "c" LCT, la suma total mensual de $ 300.-

ACUERDO REGIONAL - DEPARTAMENTO RIO GRANDE - TIERRA DEL FUEGO - ANEXO "A" - Página 19/21

ESCALAS SALARIALES POR CATEGORIAS Y ANTIGÜEDAD - ABRIL 2008

SALARIOS VENDEDORES

SALARIO CONFORMADO REGIONAL

PRESENTISMO: adicionar a esta escala el 8,33% por asistencia perfecta (art. 40 del C.C.T. 130/75)

VALES no remunerativos ART. 103 bis, inciso "c" LCT, la suma total mensual de $ 300.-

ACUERDO REGIONAL - DEPARTAMENTO RIO GRANDE - TIERRA DEL FUEGO - ANEXO "A" - Página 20/21

ESCALAS SALARIALES POR CATEGORIAS Y ANTIGÜEDAD - ABRIL 2008

SALARIOS CAJEROS

SALARIO CONFORMADO REGIONAL

PRESENTISMO: adicionar a esta escala el 8,33% por asistencia perfecta (art. 40 del C.C.T. 130/75)

VALES no remunerativos ART. 103 bis, inciso "c" LCT, la suma total mensual de $ 300.-

ACUERDO REGIONAL - DEPARTAMENTO RIO GRANDE - TIERRA DEL FUEGO - ANEXO "A" - Página 21/21

ESCALAS SALARIALES POR CATEGORIAS Y ANTIGÜEDAD - ABRIL 2008

SALARIO CONFORMADO REGIONAL

PRESENTISMO: adicionar a esta escala el 8,33% por asistencia perfecta (art. 40 del C.C.T. 130/75)

VALES no remunerativos ART. 103 bis, inciso "c" LCT, la suma total mensual de $ 300.-

Scroll hacia arriba