Presidencia de la Nación

Decreto 985 / 2008

PODER EJECUTIVO NACIONAL (P.E.N.)


ADMINISTRACION PUBLICA NACIONAL

ACTA ACUERDO Y ANEXOS - HOMOLOGACION

Sanción:
Publicada en el Boletín Oficial:
Página:
5

Normativa

ADMINISTRACION PUBLICA NACIONAL

Decreto 985/2008

Homológase el Acta Acuerdo y Anexos de la Comisión Negociadora del Convenio Colectivo de Trabajo General para la Administración Pública Nacional del 15 de mayo de 2008.

Bs. As., 18/6/2008

VISTO el Expediente Nº 1.275.632/08 del Registro del MINISTERIO DE TRABAJO, EMPLEO Y SEGURIDAD SOCIAL, la Ley Nº 11.672 Complementaria Permanente de Presupuesto (t.o. 2005) y sus modificatorias, la Ley Nº 18.753, la Ley de Convenciones Colectivas de Trabajo de la Administración Pública Nacional, Nº 24.185, la Ley Marco de Regulación de Empleo Público Nacional Nº 25.164, la Ley Nº 26.198 de Presupuesto General de la Administración Nacional para el Ejercicio 2007, la Ley Nº 26.337 de Presupuesto General de la Administración Nacional para el Ejercicio 2008, el Decreto Nº 447 del 17 de marzo de 1993, el Convenio Colectivo de Trabajo General para la Administración Pública Nacional homologado por el Decreto Nº 214 del 27 de febrero de 2006, el Acta Acuerdo del 15 de mayo de 2008 de la Comisión Negociadora del Convenio Colectivo de Trabajo General para la Administración Pública Nacional, y

CONSIDERANDO:

Que por la Ley Nº 24.185 se estableció el régimen aplicable a las negociaciones colectivas entre la Administración Pública Nacional y sus empleados.

Que en cumplimiento del mecanismo establecido por la Ley Nº 24.185, se ha constituido la Comisión Negociadora del Convenio Colectivo de Trabajo General para la Administración Pública Nacional, homologado por el Decreto Nº 214/06.

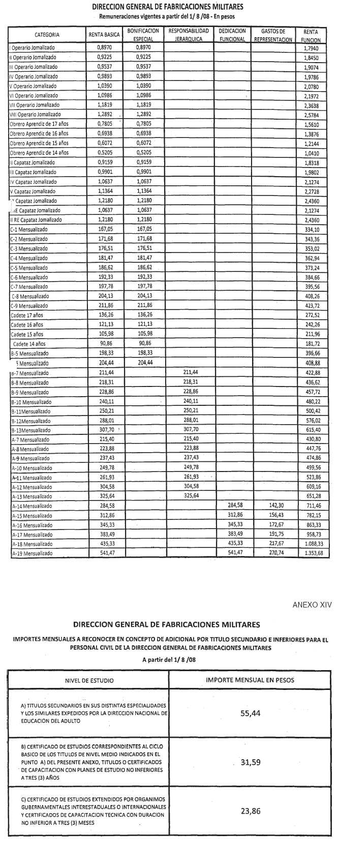
Que, las partes, en el marco previsto por el artículo 6º de la Ley Nº 24.185, reglamentado por el artículo 5º del Decreto Nº 447/93 y normas complementarias, arribaron a un acuerdo relativo al régimen retributivo del personal del INSTITUTO NACIONAL DE LA PROPIEDAD INDUSTRIAL; de la COMISION NACIONAL DE REGULACION DEL TRANSPORTE; de la AUTORIDAD REGULATORIA NUCLEAR; de la SUPERINTENDENCIA DE RIESGOS DEL TRABAJO; de la COMISION NACIONAL DE COMERCIO EXTERIOR; de la DIRECCION GENERAL DE FABRICACIONES MILITARES; del ORGANISMO NACIONAL DE ADMINISTRACION DE BIENES; del ORGANO DE CONTROL DE CONCESIONES VIALES; del ORGANISMO REGULADOR DEL SISTEMA NACIONAL DE AEROPUERTOS; del INSTITUTO NACIONAL DE INVESTIGACION Y DESARROLLO PESQUERO; de la COMISION NACIONAL DE COMUNICACIONES; del PERSONAL DE INVESTIGACION Y DESARROLLO DE LAS FUERZAS ARMADAS (Decreto Nº 4381/73); del ENTE NACIONAL REGULADOR DEL GAS (ENARGAS); del ENTE NACIONAL REGULADOR DE LA ELECTRICIDAD (ENRE); del CONSEJO NACIONAL DE INVESTIGACIONES CIENTIFICAS Y TECNICAS (CONICET); de CASA DE MONEDA SOCIEDAD DEL ESTADO; de la COMISION NACIONAL DE VALORES y del ORGANISMO REGULADOR DE SEGURIDAD DE PRESAS, sectoriales incluidas en el Anexo II al Convenio Colectivo de Trabajo General para la Administración Pública Nacional, homologado por el Decreto Nº 214/06 y cuyas Comisiones Negociadoras no han sido constituidas a la fecha de la concertación.

Que en tal contexto se acordó un incremento en las retribuciones mensuales, normales, regulares y permanentes del personal comprendido en los escalafones vigentes en los organismos antes referidos, con vigencia a partir del 1º de junio de 2008 y del 1º de agosto de 2008, concretado a través del Acta Acuerdo de fecha 15 de mayo de 2008 de la Comisión Negociadora del Convenio Colectivo de Trabajo General para la Administración Pública Nacional.

Que el mencionado Acuerdo cumple con los requisitos del artículo 11 de la Ley Nº 24.185.

Que se han cumplimentado las intervenciones prescriptas por el artículo 79, segundo párrafo, del Convenio Colectivo de Trabajo General para la Administración Pública Nacional homologado por el Decreto Nº 214/06.

Que la Comisión Técnica Asesora de Política Salarial del Sector Público ha emitido el correspondiente dictamen.

Que el MINISTERIO DE TRABAJO, EMPLEO Y SEGURIDAD SOCIAL ha tomado la intervención prevista en los artículos 7º, 10 y concordantes de la Ley Nº 24.185.

Que por el artículo 101 de la Ley Nº 26.337 de Presupuesto General de la Administración Nacional para el Ejercicio 2008 se incorporó a la Ley Nº 11.672 Complementaria Permanente de Presupuesto (t.o. 2005) y sus modificatorias, el artículo 16 de la Ley Nº 26.198 de Presupuesto General de la Administración Nacional para el Ejercicio 2007.

Que en atención a las prescripciones del precitado artículo 16 de la Ley Nº 26.198, tratándose de incrementos salariales generados en acuerdo colectivo en el marco de, la Ley Nº 24.185 y habiéndose observado los requisitos y procedimientos que surgen de dicha norma y de la Ley Nº 18.753, deben tenerse por cumplidas las disposiciones del artículo 62 de la Ley Nº 11.672 Complementaria Permanente de Presupuesto (t.o. 2005) y sus modificatorias con la suscripción del Acta Acuerdo de fecha 15 de mayo de 2008 que dispone su vigencia a partir del 1º de junio de 2008.

Que la Dirección General de Asuntos Jurídicos del MINISTERIO DE TRABAJO, EMPLEO Y SEGURIDAD SOCIAL ha tomado la intervención que le compete.

Que el presente se dicta en ejercicio de las atribuciones emergentes de los artículos 99, inciso 1, de la CONSTITUCION NACIONAL y 14 de la Ley Nº 24.185.

Por ello,

LA PRESIDENTA DE LA NACION ARGENTINA

DECRETA:

Artículo 1º — Homológanse el Acta Acuerdo y Anexos de la Comisión Negociadora del Convenio Colectivo de Trabajo General para la Administración Pública Nacional de fecha 15 de mayo de 2008, que como Anexo forman parte integrante del presente decreto.

Art. 2º — La vigencia de los incrementos retributivos acordados en el Acta del 15 de mayo de 2008 y Anexos será a partir del 1º de junio de 2008 y del 1º de agosto de 2008, en las condiciones establecidas por las partes intervinientes.

Art. 3º — Comuníquese, publíquese, dése a la Dirección Nacional del Registro Oficial y archívese. — FERNANDEZ DE KIRCHNER. — Alberto A. Fernández. — Carlos A. Tomada.

ANEXO

EXPEDIENTE Nº: 1.090.812/04

En la ciudad de Buenos Aires, a los 15 días de mayo de 2008, siendo las 15.00 hs. en la SECRETARIA DE LA GESTION PUBLICA, ante el Dr. José Elías Miguel VERA, en su carácter de Presidente de la Comisión Negociadora para la Administración Pública Nacional, acompañado por el Lic. Eduardo BERMUDEZ, comparecen en representación de la JEFATURA DE GABINETE DE MINISTROS, el Sr. Secretario de Evaluación Presupuestaria Lic. Carlos Alberto RIVIERE, en representación de la SUBSECRETARIA DE GESTION Y EMPLEO PUBLICO, su titular, el Lic. Lucas NEJAMKIS, y del MINISTERIO DE ECONOMIA Y PRODUCCION, el titular de la SUBSECRETARIA DE PRESUPUESTO, el Lic. Raúl RIGO, y en calidad de asesores del Estado Empleador el Lic. Norberto PEROTTI, el Lic. Sergio VAZQUEZ, el Lic. Carlos SANTAMARIA; el Dr. Jorge CARUSO; el Arq. Eduardo SAMPAYO; el Lic. Gabriel ENRIQUEZ, el Lic. Eduardo SALAS, y la Dra. Amalia DUARTE de BORTMAN, todos ellos por parte del Estado Empleador, y por parte gremial, en representación de la ASOCIACION TRABAJADORES DEL ESTADO, los Sres. Eduardo DE GENNARO, Rubén MOSQUERA y la Sra. María Martha TERRAGNO; y en representación de la UNION DEL PERSONAL CIVIL DE LA NACION, los Sres. Juan Felipe CARRILLO, Omar AUTON, Hugo SPAIRANI, Carlos CAPURRO y la Sra. Karina TRIVISONNO.

1º) Con el objeto de continuar con la instrumentación del incremento salarial que surge de las pautas establecidas en las cláusulas PRIMERA y CUARTA del Acta de fecha 06 de mayo de 2008, y en virtud del procedimiento dispuesto en la cláusula TERCERA de la misma se incrementan las retribuciones mensuales, normales, regulares y permanentes del personal comprendido en los escalafones vigentes en los organismos que se detallan en el punto 2º de la presente, en un 10% a partir del 1/6/08; y en un 9,5% a partir del 1/8/08.

2º) Como consecuencia de lo dispuesto en el punto que antecede se fijan las remuneraciones, con el alcance que corresponde en cada caso para cada escalafón, según constan en 40 Anexos de acuerdo al siguiente detalle:

ANEXO IV

ANEXO VII

ANEXO VIII

ANEXO IX

ANEXO XI

ANEXO XIII

ANEXO XV

ANEXO XIX

ANEXO XXII

ANEXO XXIV

ANEXO XXVII

ANEXO XXXI

ANEXO XXXIV

ANEXO XXXVI

ANEXO XXXVIII

Scroll hacia arriba