Presidencia de la Nación

MINISTERIO DE SALUD


MINISTERIO DE SALUD

Resolución 1948/2014


Bs. As., 28/10/2014

VISTO el expediente Nº 2002-20510/09-0 del registro del MINISTERIO DE SALUD, la Ley 24.901, los decretos Nros. 1193 del 8 de octubre de 1998 y 1277 del 23 de mayo de 2003 y las Resoluciones Ministeriales Nros. 428 del 23 de junio de 1999, 1749 del 6 de diciembre de 2005, 1977 del 20 de diciembre de 2006, 147 del 14 de febrero de 2007, 767 del 29 de junio de 2007, 1030 del 21 de agosto de 2007, 219 del 26 de marzo de 2008, 1074 del 26 de septiembre de 2008, 314 del 26 de marzo de 2009, 523 del 26 de octubre de 2009, 57 del 13 de enero de 2010, 2299 del 28 de diciembre de 2010, 1534 del 16 de septiembre de 2011, 2032 del 30 de noviembre de 2011, 1685 del 16 de octubre de 2012, 1512 del 24 de septiembre de 2013, 1859 del 19 de noviembre de 2013, 1876 del 4 de diciembre de 2013 y la 1151 del 23 de julio de 2014,

CONSIDERANDO:

Que la ley mencionada en el VISTO instituye un SISTEMA DE PRESTACIONES BASICAS DE ATENCION INTEGRAL A FAVOR DE LAS PERSONAS CON DISCAPACIDAD, contemplando acciones de prevención, asistencia, promoción y protección, con el objeto de brindarles cobertura integral a sus necesidades y requerimientos.

Que por el artículo 1° de la Resolución Nº 428/99 del entonces MINISTERIO DE SALUD Y ACCION SOCIAL, se aprobó el NOMENCLADOR DE PRESTACIONES BASICAS PARA PERSONAS CON DISCAPACIDAD.

Que por Resolución Nº 1030 de fecha 21 de agosto de 2007 del MINISTERIO DE SALUD, se sustituyó el artículo 1º de la Resolución Nº 767/07, incorporando las prestaciones Escolaridad Primaria Jornada Simple y Escolaridad Primaria Jornada Doble, que no figuraban en el artículo sustituido, y sí se encontraban agregadas en el Anexo I de dicha Resolución.

Que por las sucesivas Resoluciones Ministeriales citadas en el VISTO de la presente, se readecuaron los aranceles de las prestaciones del SISTEMA DE PRESTACIONES BASICAS DE ATENCION INTEGRAL A FAVOR DE LAS PERSONAS CON DISCAPACIDAD.

Que por Resolución Ministerial Nº 1859 de fecha 26 de noviembre de 2013 se procedió a readecuar los aranceles vigentes del SISTEMA DE PRESTACIONES BASICAS DE ATENCION INTEGRAL A FAVOR DE LAS PERSONAS CON DISCAPACIDAD, con un incremento desde un SEIS POR CIENTO (6%) a un CINCUENTA POR CIENTO (50%) a partir del 1° de diciembre de 2013, conforme al detalle que se indica en su ANEXO I, el que forma parte integrante de la misma.

Que por Resolución Ministerial Nº 1876 de fecha 4 de diciembre de 2013, se procedió a ratificar la fecha a partir de la cual tendría vigencia la Resolución Nº 1859/13, estableciéndose la misma a partir del 1° de noviembre de 2013.

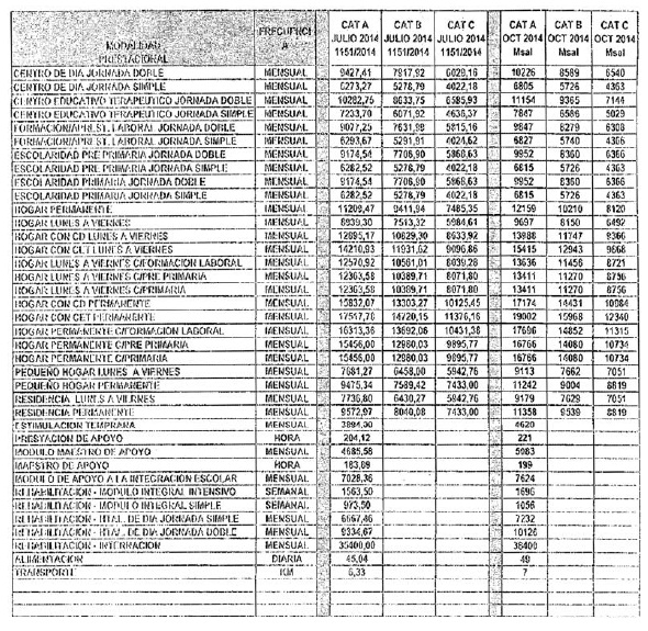
Que por Resolución Ministerial Nº 1151 de fecha 23 de julio de 2014, se procedió a establecer un incremento en los aranceles a partir de 1° de julio de 2014.

Que se llevó a cabo el 16 de octubre de 2014, una Reunión Extraordinaria del DIRECTORIO DEL SISTEMA DE PRESTACIONES BASICAS DE ATENCION INTEGRAL A FAVOR DE LAS PERSONAS CON DISCAPACIDAD, quien por Acta Nº 328 se arribó a un acuerdo de propuesta de modificación de aranceles, proponiéndose en primer término un aumento del 28% global, para todas las prestaciones excepto a las que se otorgará una diferenciación arancelaria.

Que se efectuará una diferenciación arancelaria que alcanzará el 40% global para Pequeños Hogares, Residencia y Estimulación Temprana.

Que en consecuencia resulta necesario readecuar los aranceles fijados por la Resolución Ministerial vigente, precedentemente indicada.

Que la DIRECCION GENERAL DE ASUNTOS JURIDICOS ha tomado la intervención de su competencia.

Que la presente medida se dicta en ejercicio de las facultades conferidas por la Ley de Ministerios - T.O. 1992, modificada por su similar Ley 26.338.

Por ello,

EL MINISTRO DE SALUD

RESUELVE:

ARTICULO 1° — Modifícase la Resolución del MINISTERIO DE SALUD Nº 1151 del 23 de julio 2014, a fin de actualizar todos los aranceles vigentes del SISTEMA DE PRESTACIONES BASICAS DE ATENCION INTEGRAL A FAVOR DE LAS PERSONAS CON DISCAPACIDAD readecuándose los importes del nomenclador, para todas las modalidades prestacionales conjuntamente con un incremento del VEINTIOCHO POR CIENTO (28%) global, para todas las prestaciones, excepto a las que se le otorgará una diferenciación arancelaria del CUARENTA POR CIENTO (40%) global para Pequeños Hogares, Residencia y Estimulación Temprana, a partir del 1° de octubre de 2014, conforme al detalle que se indica en el ANEXO I, el que forma parte integrante de la presente Resolución.

ARTICULO 2° — Todos los valores que surgen del ANEXO I aprobado en el artículo 1° de la presente Resolución, son referenciales y aplicables hasta los montos resultantes.

ARTICULO 3° — Los nuevos aranceles dispuestos en la presente regirán a partir de la fecha que se indica en el artículo 1°.

ARTICULO 4° — Regístrese, comuníquese, publíquese, dése a la Dirección Nacional de Registro Oficial, y archívese. — Dr. JUAN L. MANZUR, Ministro de Salud.


e. 30/10/2014 Nº 84266/14 v. 30/10/2014
Scroll hacia arriba