Presidencia de la Nación

SUP. DE ADM. DE FONDOS DE JUBILACIONES Y PENSIONES


SUPERINTENDENCIA DE ADMINISTRADORAS DE FONDOS DE JUBILACIONES Y PENSIONES

Instrucción Nº 3/99

Bs. As., 29/1/99

VISTO la Resolución SAFJP Nº 38 y la Instrucción SAFJP Nº 002/99, y

CONSIDERANDO:

Que la Instrucción SAFJP Nº 38, t.o. de Instrucción SAFJP Nº 72, no contempla un método de valuación de las opciones, en el caso que éstas no cuenten con cotización en los mercados autorizados.

Que es conveniente definir un único criterio de valorización teórico tanto para las operaciones que coticen en los mercados autorizados, como para aquellas estructuras financieras que tienen comportamiento semejante.

Que la Instrucción SAFJP Nº 002/99 definió que los "fideicomisos financieros estructurados" para ser valuados se deconstruirán en sus "partes" integrantes que cada uno de los diversos tipos de componentes financieros que pueden representar estas "partes" requieren de una metodología de valuación particular para asignar un valor teórico del mercado de las mismas.

Que esta instancia se encuentra facultada para el dictado de la presente medida en atención a las prescripciones contenidas en el artículo 119º, inc. b), de la Ley Nº 24.241 y el Decreto Poder Ejecutivo Nacional Nº 1605/94.

Por ello,

EL SUPERINTENDENTE DE ADMINISTRADORAS DE FONDOS DE JUBILACIONES Y PENSIONES

INSTRUYE:

ARTICULO 1º — Las opciones a que se hace referencia en los incisos h) y m) del art. 74 de la Ley 24.241 serán valuadas diariamente de acuerdo a su precio de mercado. El mismo se determinará considerando, para cada una de las series, la cantidad de contratos vigentes y el promedio ponderado diario de las primas respectivas.

Ante la falta de precio de mercado las opciones serán valuadas aplicando los procedimientos descriptos en el anexo I de la presente Instrucción, siempre que resulte posible por responder a las estructuras financieras allí descriptas.

Quedará alcanzada por el presente artículo cualquier estructura financiera que adopte las características de una opción.

ARTICULO 2º — En los fideicomisos financieros estructurados, la "parte" (conforme definición Anexo II c) de la Instrucción SAFJP Nº 002/99), identificada como capital garantizado o intereses garantizados, serán valuadas aplicando los procedimientos descriptos en el Anexo II de la presente Instrucción.

ARTICULO 3º — Derógase el punto II.6. del Anexo II de la Instrucción SAFJP Nº 72.

ARTICULO 4º — La presente comenzará a regir al día siguiente de su notificación.

ARTICULO 5º — Regístrese, comuníquese, notifíquese a las Administradoras de Fondos de Jubilaciones y Pensiones, publíquese, dése a la Dirección Nacional del Registro Oficial y archívese. — IGNACIO KRUGUER, Gerente General en ejercicio del cargo de Superintendente de la S.A.F.J.P.

ANEXO I

VALUACION DE OPCIONES

A los fines de la presente Instrucción se considerará:

"activo subyacente": El precio o valor de los activos o índices al que están relacionados los contratos de opciones.

"precios del día": Son aquellos precios o valores que esta Superintendencia determina en forma diaria conforme a la Instrucción SAFJP Nº 38 (Texto Ordenado Instrucción SAFJP Nº 72) o en su defecto los precios o valores de cierre de mercado correspondiente.

"opciones europeas": El derecho sólo puede ser ejercido en la fecha de vencimiento. El precio del activo subyacente, el día de vencimiento, es el que corresponda al precio observado en el mercado de esa fecha.

"opciones asiáticas": El derecho sólo puede ser ejercido en la fecha de vencimiento. El precio del activo subyacente, el día de vencimiento, se obtiene como promedio de los precios respectivos a lo largo de un período predeterminado.

VALOR DE LOS CONTRATOS DE OPCIONES

Fórmula para el cálculo del valor diario de las opciones europeas.

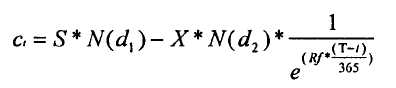
Determinación de la valorización de un contrato de opciones de compra

Determinación de la valorización de un contrato de opciones de venta

donde:

ct: Es el valor de un contrato de opciones de compra en el momento t.

Pt: Es el valor de un contrato de opciones de venta en el momento t.

S: Es el precio que determine esta Superintendencia para el activo subyacente en el momento t de valuación del contrato.

En el caso de activos subyacentes en los que esta Superintendencia informe precios en forma regular, se tomará el "precio del día" t. En caso contrario, se tomarán los precios de cierre diario del respectivo mercado o el que informe una agencia de noticias especializada.

X: Es el precio al que se ejecuta el contrato de opción de acuerdo a las condiciones de emisión.

N (d1) y N(d2): Es la probabilidad acumulada de una distribución normal.

Rf: Tasa de interés expresada en tanto por uno.

Existirá una tasa de interés para los plazos de 3, 6, 9, 12, 15, 18 y 24 meses correspondiente a la tasa de rendimiento, para esos plazos, de los U. S. Treasury Strip.

A los efectos indicados en el párrafo precedente se utilizará la que corresponda al período inmediatamente siguiente al plazo remanente de la opción.

(T- t): Plazo remanente de vida de la opción, al momento de la valuación.

s: Volatilidad anual del activo subyacente en el momento t.

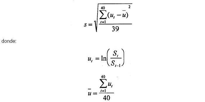
Cálculo de la Volatilidad

La Volatilidad anual se obtiene de:

El cálculo de la volatilidad se realiza diariamente tomando los últimos 40 días hábiles de los precios de los activos subyacentes.

Desvío standard muestral

Cálculo para determinar la probabilidad acumulada de una distribución normal:

donde:

a1 = 0.31938153

a2 = -0.356563782

a3 = 1.781477937

a4 = -1.821255978

a5 = -1.330274429

Fórmula para el cálculo del valor diario de las opciones asiáticas.

Se utilizará el mismo criterio que para valuación de opciones europeas modificando, según corresponda, la forma de cálculo de la volatilidad del activo subyacente (s).

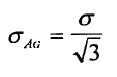
Opciones asiáticas con promedio geométrico

Cuando el precio de ejercicio del activo subyacente se determine mediante un promedio geométrico de n días, el cálculo de la volatilidad se ajustará al siguiente modo:

donde:

sAG Volatilidad para opciones asiáticas con promedio geométrico.

Opciones asiáticas con promedio aritmético

Cuando el precio de ejercicio del activo subyacente se determine mediante un promedio aritmético de n días, el cálculo de la volatilidad se ajustará del siguiente modo:

donde:

sAA Volatilidad para opciones asiáticas con promedio aritmético.

A partir del momento en que se ingrese en el período para determinar el precio promedio del activo subyacente, se deberá utilizar un precio de ejercicio modificado que se determinará utilizando la siguiente expresión:

El valor de la opción obtenido con el nuevo parámetro X* deberá ser multiplicado por:

donde:

X*: Es el precio al que se ejecuta el contrato de opción de acuerdo a las condiciones de emisión, cuando se han observado precios del activo subyacente que determinarán el valor final de ejecución del mismo.

t1: Es la cantidad de días transcurridos desde que se ingresó en el período para calcular el precio promedio del activo subyacente y la fecha de valuación.

t2: Es la cantidad de días remanentes hasta la fecha de ejercicio una vez que se ingresó en el período para calcular el precio promedio del activo subyacente, contados a partir de la fecha de valuación.

_

S: Es el precio promedio que determine esta Superintendencia para el Activo subyacente en el momento t de la valuación del contrato. El promedio corresponderá a los n días transcurridos desde el ingreso en el período que determinará el precio promedio de ejercicio y el de la fecha de valuación.

ANEXO II

Determinación del precio del capital e intereses "garantizados" en los fideicomisos financieros.

En el caso particular de aquellos fideicomisos "de capital garantizado", la "parte" correspondiente al "capital garantizado" será valuada descontando dicho monto a la tasa corriente teórica para el plazo al vencimiento del mismo, de acuerdo al riesgo de crédito y de contraparte que posea (tasa spot).

Las tasas spot serán determinadas y comunicadas por esta Superintendencia en forma diaria, para las valuaciones que se realicen.

Sólo se determinarán las tasas spot correspondientes a las emisiones soberanas de la República Argentina en dólares; en consecuencia, únicamente se valuarán las "partes" que estén asociadas a este tipo de riesgo.

En el caso de existir pagos de "intereses garantizados", esta "parte", se valuará siguiendo la metodología del "capital asegurado".

e. 3/2 Nº 265.020 v. 3/2/99

Scroll hacia arriba