Secretaría de Comercio Interior
METROLOGIA LEGAL
Resolución 89/2012
Apruébase el Reglamento técnico y metrológico para los sistemas de medición de gas natural con medidor ultrasónico.
Bs. As., 10/9/2012
VISTO el Expediente Nº S01:0422202/2008 del Registro del ex MINISTERIO DE ECONOMIA Y PRODUCCION, y
CONSIDERANDO:
Que resulta conveniente la intervención del Estado Nacional en el control del parque de instrumentos de medición que intervienen en la cuantificación de los bienes que son objeto de transacciones comerciales, así como en la preservación de la salud, la seguridad y el medio ambiente.
Que el Artículo 7º de la Ley Nº 19.511 faculta al Poder Ejecutivo Nacional para dictar la reglamentación de especificaciones y tolerancias para los instrumentos de medición alcanzados por la misma.
Que el Decreto Nº 788 del 18 de septiembre de 2003, reglamentario de la Ley Nº 19.511, dispone en su Artículo 2º, inciso a) que es función de la SECRETARIA DE COORDINACION TECNICA del MINISTERIO DE ECONOMIA Y PRODUCCION, hoy SECRETARIA DE COMERCIO INTERIOR del MINISTERIO DE ECONOMIA Y FINANZAS PUBLICAS, establecer el reglamento de aprobación de modelos, verificación primitiva, verificación periódica y vigilancia de uso de instrumentos de medición.
Que asimismo, el INSTITUTO NACIONAL DE TECNOLOGIA INDUSTRIAL (INTl) organismo descentralizado en la órbita del MINISTERIO DE INDUSTRIA, en ejercicio de las facultades conferidas por el Artículo 3º, incisos e) y f) del Decreto Nº 788/03, ha propuesto un Reglamento técnico y metrológico para los sistemas de medición de gas natural con medidor ultrasónico.
Que en su elaboración se han tenido en cuenta las recomendaciones de las principales organizaciones internacionales en la materia, como la Recomendación Nº 140 de la Organización Internacional de Metrología Legal (OIML), versión 2007; y el AGA Report Nº 9, versión 2007, de la American Gas Association.
Que la Dirección de Legales del Area de Comercio Interior dependiente de la Dirección General de Asuntos Jurídicos del MINISTERIO DE ECONOMIA Y FINANZAS PUBLICAS, ha tomado la intervención que le compete.
Que la presente medida se dicta en virtud de las facultades otorgadas por el Artículo 2º, incisos a), h) e i) del Decreto Nº 788/03.
Por ello,
EL SECRETARIO DE COMERCIO INTERIOR
RESUELVE:
Artículo 1º — Apruébase el Reglamento técnico y metrológico para los sistemas de medición de gas natural con medidor ultrasónico que posean indicación en volumen a condiciones de base corregido según el poder calorífico de referencia, de capacidad igual o mayor a 40.000 m3/h, y cuyas mediciones sean utilizadas para operaciones de exportación e importación, transacciones comerciales, y la transferencia en custodia entre empresas productoras, transportistas y distribuidoras, así como los componentes principales indicados en el mismo, que como Anexo en CUARENTA (40) fojas, forma parte integrante de la presente resolución.
Art. 2º — Los Sistemas de Medición de Gas Natural con Medidor ultrasónico, así como sus dispositivos principales, que se fabriquen, importen, comercialicen e instalen en el país deberán cumplir con el Reglamento Metrológico y Técnico aprobado por el Artículo 1º de la presente resolución, a partir de los TRESCIENTOS SESENTA Y CINCO (365) días siguientes a la fecha de su entrada en vigencia.
Art. 3º — Los Sistemas de Medición de Gas Natural con Medidor ultrasónico, así como sus dispositivos principales, que se encuentren instalados en el país, o que se instalen dentro de los TRESCIENTOS SESENTA Y CINCO (365) días de la fecha de entrada en vigencia de la presente, deberán dar cumplimiento al Reglamento Metrológico y Técnico aprobado en el Artículo 1º de la presente resolución, a partir del día 1º de enero de 2018.
Art. 4º — Los Sistemas de Medición de Gas Natural con Medidor ultrasónico, así como sus dispositivos principales, que se encuentren instalados en el país, o que se instalen dentro de los TRESCIENTOS SESENTA Y CINCO (365) días de la fecha de entrada en vigencia de la presente deberán acreditar que satisfacen los ensayos del punto 7.4 del citado Reglamento, realizando una Verificación Primitiva de Unica Unidad, en los términos del Anexo II de la Resolución Nº 48 de fecha 18 de setiembre de 2003, de la ex SECRETARIA DE COORDINACION TECNICA del ex MINISTERIO DE ECONOMIA Y PRODUCCION, cuyo vencimiento operará el día 1º de enero de 2018.
Art. 5º — A efectos de implementar lo dispuesto en el Artículo 4º de la presente resolución, los instrumentos de medición mencionados en el mismo, deberán obtener la Verificación Primitiva de Unica Unidad acorde con el siguiente cronograma:
a) Los sistemas y componentes instalados con una antelación igual o mayor a los TRES (3) años de la fecha de vigencia de la presente resolución, el día 12 de setiembre de 2014.
b) Los sistemas y componentes instalados con una antelación de entre DOS (2) y TRES (3) años de la vigencia de la presente resolución, el día 12 de setiembre de 2015.
c) Los sistemas y componentes instalados con una antelación menor a los DOS (2) años de la vigencia de la presente resolución, el día 12 de setiembre de 2016.
Art. 6º — Los instrumentos de medición alcanzados por la presente resolución deberán efectuar la verificación periódica establecida en el Artículo 9º de la Ley Nº 19.511 con una periodicidad de UN (1) año. El INSTITUTO NACIONAL DE TECNOLOGIA INDUSTRIAL (INTI), organismo descentralizado en la órbita del MINISTERIO DE INDUSTRIA, podrá actuar concurrentemente con esta Autoridad de Aplicación tanto en las verificaciones periódicas como la vigilancia en uso de dichos instrumentos de medición.
Art. 7º — La tasa cuyo cobro se encuentra a cargo de la SECRETARIA DE COMERCIO INTERIOR del MINISTERIO DE ECONOMIA Y FINANZAS PUBLICAS se fija en PESOS CUATRO MIL QUINIENTOS ($ 4.500.-) para la Aprobación de Modelo y en PESOS MIL QUINIENTOS ($ 1.500.-), por unidad para la Verificación Primitiva.
Art. 8º — Las infracciones a lo dispuesto por la presente resolución serán sancionadas de acuerdo a lo previsto por la Ley Nº 19.511 de Metrología Legal.
Art. 9º — La presente resolución comenzará a regir a partir de la fecha de su publicación en el Boletín Oficial.
Art. 10. — Comuníquese, publíquese, dése a la Dirección Nacional del Registro Oficial y archívese. — Mario G. Moreno.
1. Campo de Aplicación.
1.1. Este reglamento será de aplicación a los sistemas de medición de gas natural con medidor ultrasónico que posean indicación de volumen a condiciones de base corregido según el poder calorífico de referencia.
2. Terminología.
2.1. Sistema de medición y sus componentes.
2.1.1. Sistema de medición de gas natural con medidor ultrasónico.
Sistema compuesto por el puente de medición, el computador, los instrumentos de medición asociados y un dispositivo indicador.
A partir de ahora sistema de medición.
2.1.2. Puente de medición.
Componente del sistema de medición que incluye al medidor ultrasónico y a la configuración de tramos de cañerías aguas abajo y aguas arriba de éste que permita acondicionar el perfil de flujo del fluido circulante.
2.1.3. Medidor ultrasónico.
Instrumento destinado a medir continuamente el volumen de gas que pase a través del puente de medición, en las condiciones de la medición.
Su principio de funcionamiento está basado en la medición del tiempo de tránsito de pulsos de alta frecuencia transmitidos y recibidos por pares de transductores ubicados sobre el cuerpo del medidor.
A partir de ahora medidor.
2.1.4. Transductor ultrasónico.
Componente del medidor que transmite y recibe señales ultrasónicas.
2.1.5. Unidad de procesamiento de señal.
Componente del medidor encargado del control y funcionamiento del mismo, y de la transmisión de una señal que posea información sobre la cantidad de gas medido.
A partir de ahora SPU.
2.1.6. Computador
Componente del sistema de medición que recibe la información de salida del medidor y de instrumentos de medición asociados. Su función principal es realizar cálculos aritméticos con el propósito de entregar el resultado de la medición.
2.1.7. Instrumento de medición asociado.
Instrumento destinado a medir un determinado mensurando que representa una condición de funcionamiento o una característica del gas.
2.1.8. Sensor de Temperatura.
Instrumento de medición asociado cuya función es proveer el valor de la temperatura del gas en el punto de medición.
2.1.9. Sensor de Presión.
Instrumento de medición asociado cuya función es proveer el valor de la presión del gas en el punto de medición.
2.1.10. Cromatógrafo.
Instrumento de medición asociado cuya función es proveer los porcentajes molares que caracterizan la composición química del gas en el punto de medición.
2.1.11. Dispositivo indicador.
Parte del sistema de medición de gas natural con medidor ultrasónico que muestra el resultado de una medición.
2.1.12. Dispositivo auxiliar.
Dispositivo destinado a ejecutar una función específica, directamente relacionada con la elaboración, transmisión o presentación del resultado de la medición.
2.1.13. Dispositivo adicional.
Una parte o un dispositivo utilizado para asegurar una correcta medición, o para facilitar las operaciones de medición, o que pueda de algún modo influir en la medición.
2.1.14. Factor de corrección.
Factor numérico por el cual se multiplica un resultado de una medición para compensar un error sistemático estimado.
2.1.15. Dispositivo de corrección del volumen a condiciones de medición.
Dispositivo incorporado o conectado al medidor, que corrige automáticamente el volumen a condiciones de medición, teniendo en cuenta el caudal y las curvas de calibración preestablecidas.
2.1.16. Dispositivo de conversión del volumen.
Dispositivo que convierte automáticamente el volumen a condiciones de medición a volumen a condiciones de base.
2.1.17. Dispositivo de corrección del volumen
Dispositivo que corrige automáticamente el volumen a condiciones de base según el poder calorífico de referencia.
2.1.18. Condiciones de medición.
Son las condiciones del gas en el punto de medición.
2.1.19. Condiciones de base
Condiciones de presión y temperatura especificadas convencionalmente a las cuales se convierte el volumen de gas medido.
2.1.20. Condiciones de funcionamiento nominales.
Condiciones normales, promedio o típicas de uso de un sistema de medición o de un dispositivo provistas por el fabricante, e incluidas en el certificado de aprobación de modelo.
2.1.21. Poder calorífico bruto.
La cantidad de calor que sería liberada por una combustión completa en aire de la cantidad de gas medida, de modo tal que la presión a la cual la reacción se lleve a cabo se mantenga constante, y todos los productos de la combustión retornen a la misma temperatura especificada que los reactivos, estando todos ellos en estado gaseoso a excepción del agua formada en la combustión, la cual es condensada al estado líquido a esta temperatura específica.
A partir de ahora poder calorífico.
- La energía se considera a condiciones de base.
- El poder calorífico deberá poder determinarse para el volumen medido.
- Para los cálculos deberá utilizarse por unidad de volumen.
2.1.22. Poder calorífico de referencia.
Valor de poder calorífico especificado convencionalmente que se utiliza para corregir el volumen a condiciones de base.
2.1.23. Factor de compresibilidad.
Parámetro que indica el desvío del gas ideal.
2.1.24. Transductor.
Dispositivo que convierte una magnitud física en una señal eléctrica ya sea analógica o digital.
2.1.25. Transmisor.
Dispositivo que recibe la señal eléctrica, analógica o digital, de un transductor y la amplifica o acondiciona para poder comunicarse con otros dispositivos electrónicos.
2.2. Características metrológicas.
2.2.1. Indicación principal.
Indicación (mostrada en la pantalla, impresa o memorizada) que esté sometida a controles de metrología legal.
2.2.2. Indicación secundaria.
Indicación que no es considerada indicación principal y no está sujeta a control de metrología legal.
2.2.3. Incertidumbre de medición.
Parámetro asociado con el resultado de una medición que caracteriza la dispersión de valores que pueden atribuirse razonablemente al mensurando.
2.2.4. Valor convencionalmente verdadero.
Valor atribuido a una cantidad particular que es aceptado por convención y tiene una incertidumbre apropiada para un propósito determinado.
2.2.5. Resultado de una medición.
Valor atribuido a un mensurando, obtenido por medición.
2.2.6. Resultado de la medición para un sistema de medición de gas natural con medidor ultrasónico.
Volumen a condiciones de base corregido según el poder calorífico de referencia.
2.2.7. Error absoluto de medición.
Resultado de una medición menos un valor convencionalmente verdadero del mensurando.
2.2.8. Error relativo.
Relación entre el error absoluto de medición y un valor convencionalmente verdadero del mensurando.
2.2.9. Error máximo permitido.
Los valores extremos permitidos por esta reglamentación para un error.
2.2.10. Trazabilidad de una medición.
Propiedad del resultado de una medición o del valor de un patrón que puede relacionarse con referencias establecidas, en general patrones nacionales o internacionales, a través de una cadena ininterrumpida de comparaciones, todas teniendo una incertidumbre establecida.
2.2.11. Caudal máximo.
Valor extremo superior de caudal debajo del cual el error se encuentran dentro del error máximo permitido.
2.2.12. Caudal mínimo.
Valor extremo inferior de caudal por arriba del cual el error se encuentran dentro del error máximo permitido.
2.2.13. Cantidad mínima medible.
La cantidad más pequeña para la cual un mensurando es metrológicamente aceptable para el sistema de medición.
2.2.14. Desvío mínimo especificado para una cantidad.
Valor absoluto del error máximo permitido para una cantidad mínima medible de un sistema de medición.
2.2.15. Error de repetibilidad.
Diferencia entre el mayor y el menor resultado de distintas mediciones de la misma cantidad, llevada a cabo bajo las mismas condiciones.
2.2.16. Error intrínseco.
Error determinado a las condiciones de referencia.
2.2.17. Error intrínseco inicial.
Error intrínseco determinado antes de todos los ensayos de funcionamiento.
2.2.18. Error de indicación.
Error determinado durante una calibración, comparando la indicación con el valor representado por un patrón.
2.2.19. Deriva.
Cambio lento de una característica metrológica de un instrumento de medición.
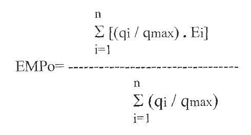
2.2.20. Error medio ponderado.
Combinación ponderada de errores de un medidor. El error medio ponderado se utiliza para ajustar la curva de error tan cercana a cero como sea posible. Se calcula de la siguiente forma:
donde:
- n es mayor o igual a 6 y es el número de mediciones realizadas a diferentes caudales Qi
- ki son los factores de ponderación
- Ei son los errores al caudal Qi
Para cada caudal, ki = Qi/Qmax salvo para Qi = Qmax para el cual el factor de ponderación es igual a 0,4.
2.2.21. Durabilidad.
Capacidad de una parte electrónica del sistema de medición de mantener sus características de funcionamiento por un período de uso.
2.3. Ensayos y condiciones de los ensayos.
2.3.1. Condiciones de funcionamiento.
Condiciones de uso que establecen el rango de valores admitidos para las magnitudes de influencia, dentro de los cuales los errores se encuentran dentro de los errores máximos permitidos.
2.3.2. Condiciones de referencia.
Conjunto de valores de factores de influencia fijados para asegurar la comparación válida de los resultados de la medición.
2.3.3. Magnitud de influencia.
Magnitud que no es objeto de la medición pero que tiene un efecto sobre el resultado de la medición. Influye en el valor medido o en el valor de la indicación del sistema de medición.
2.3.4. Factor de influencia.
Magnitud de influencia cuyo valor está dentro de las condiciones de funcionamiento.
2.3.5. Perturbación.
Magnitud de influencia cuyo valor está fuera de las condiciones de funcionamiento.
Una magnitud de influencia es una perturbación si para esa magnitud de influencia las condiciones de funcionamiento no están especificadas.
2.3.6. Ensayo de funcionamiento.
Ensayo cuyo objetivo es verificar si el sistema de medición bajo ensayo es capaz de cumplir con sus funciones previstas.
2.4. Equipamiento electrónico o eléctrico.
2.4.1. Dispositivo electrónico.
Dispositivo que emplea subconjuntos electrónicos y realiza una o varias función/es específica/s. Los dispositivos electrónicos usualmente se fabrican como unidades separadas y son capaces de ser ensayados independientemente. Los dispositivos electrónicos pueden ser una o varias partes de un sistema de medición.
2.4.2. Subconjunto electrónico.
Una parte de un dispositivo electrónico, que emplea componentes electrónicos y tiene una o varias función/es reconocible/s por sí misma/s.
2.4.3. Componente electrónico.
La menor entidad física, la cual utiliza electrones o lagunas de conducción en semiconductores, gases, o en el vacío.
2.4.4. Hardware.
Término que hace referencia a cada uno de los elementos físicos de un sistema computacional.
2.4.5. Software.
Conjunto de instrucciones detalladas que controlan la operación de un sistema computacional.
2.4.6. Firmware.
Conjunto de instrucciones detalladas que controlan la operación de un sistema computacional que se almacena y ejecuta desde una memoria que en tiempo de ejecución es de sólo lectura. Se considera parte del hardware por estar integrado en un componente electrónico pero también es software ya que proporciona la lógica y está programado en algún lenguaje de programación.
3. Componentes de un Sistema de Medición.
3.1. Un sistema de medición incluye por lo menos un puente de medición, un computador, un dispositivo indicador e instrumentación asociada.
3.2. Un puente de medición incluye un medidor y la configuración de tramos de cañerías aguas abajo y aguas arriba del medidor y si corresponde un acondicionador de flujo.
3.3. Un medidor está formado por un cuerpo, dos o más pares de transductores y la unidad de procesamiento de señal.
3.4. Opcionalmente, el computador puede ser una parte integral de la SPU del medidor.
3.5. La instrumentación asociada incluye por lo menos un sensor de temperatura, un sensor de presión y un cromatógrafo.
4. Unidades de Medida y Abreviaturas.
4.1. Unidades de medida.
4.1.1. En esta reglamentación técnica se utilizan las unidades de medida establecidas en el Sistema Métrico Legal Argentino.
4.1.2. El volumen deberá ser indicado en metros cúbicos (m3).
4.2. Abreviaturas.
4.2.1. Caudal.
- Caudal mínimo QMIN
- Caudal máximo QMAX
4.2.2. Temperatura ambiente.
- Valor mínimo del rango TA min
- Valor máximo del rango TA max
4.2.3. Temperatura del gas.
- Valor mínimo del rango TGmin
- Valor máximo del rango TGmax
4.2.4. Presión del gas.
- Valor mínimo del rango Pmin
- Valor máximo del rango Pmax
4.2.5. Suministro de electricidad
- Valor nominal de tensión Unom
- Valor nominal de frecuencia Fnom
4.2.6. Error medio ponderado EMPo.
4.2.7. Error máximo permitido EMP.
4.2.8. Cantidad mínima medible para una cantidad CMM.
4.2.9. Cantidad mínima medible para el volumen CMMv.
4.2.10. Desvío mínimo especificado para una cantidad Emin.
5. Requisitos Metrológicos.
5.1. Errores máximos permitidos para el sistema de medición.
5.1.1. El error máximo permitido para un sistema de medición es el siguiente:
Este valor se aplica para la aprobación de modelo y la verificación primitiva
5.1.2. El volumen a condiciones de base corregido según el poder calorífico de referencia se obtendrá multiplicando el volumen a condiciones de base por la constante de corrección según el poder calorífico.
5.1.3. Sin embargo el error máximo permitido, luego de ser calculado como un valor absoluto, deberá ser igual o mayor que el desvío mínimo (Emin) de la cantidad especificada, el cual está dado por la siguiente fórmula:
Emin = 2 x CMM x EMP
donde:
CMM es la cantidad mínima medible para el mensurando relevante.
EMP es el valor del error máximo permitido.
5.2. Errores máximos permitidos para módulos del sistema de medición.
5.2.1. Consideraciones generales.
5.2.1.1. Los errores máximos permitidos para módulos del sistema de medición (partes o funciones según se declaran a continuación) son los siguientes:
Estos valores se aplican para la aprobación de modelo y la verificación primitiva
5.2.1.2. El volumen a condiciones de base se obtendrá multiplicando el volumen a condiciones de medición por la constante de conversión del volumen a condiciones de base.
5.2.1.3. Sin embargo para el volumen a condiciones de medición el error máximo permitido, luego de ser calculado como un valor absoluto, deberá ser igual o mayor que el desvío mínimo (Emin) de la cantidad especificada, el cual está dado por la siguiente fórmula:
donde:
CMM es la cantidad mínima medible para el mensurando relevante.
EMP es el valor del error máximo permitido.
5.2.2. Volumen a condiciones de medición.
5.2.2.1. El volumen a condiciones de medición es el volumen que circuló a través del medidor a las condiciones de medición.
5.2.2.2. El EMP en la medición del volumen a condiciones de medición es exigible para la aprobación de modelo y la verificación primitiva donde se corrija al medidor, se ajuste al medidor a condiciones de funcionamiento nominales y/o se tomen en cuenta los efectos de instalación.
5.2.3. Conversión del volumen a condiciones de base.
5.2.3.1. Los errores máximos permitidos para los instrumentos de medición asociados son los siguientes:
Estos valores aplican para la aprobación de modelo y la verificación primitiva de cada uno de ellos.
5.2.3.2. La constante de conversión del volumen a condiciones de base se obtendrá según la siguiente fórmula:
Siendo:
PM: Presión del gas circulante.
PB: Presión de base.
TM: Temperatura del gas circulante.
TB: Temperatura de base.
ZB: Factor de compresibilidad a condiciones de base ( PB, TB).
ZM: Factor de compresibilidad a condiciones de medición ( PM, TM).
Nota: Para la realización de los cálculos deberá considerarse a la presión y a la temperatura como valores absolutos.
5.2.3.3. La presión del gas circulante es el valor de presión medida en el medidor a condiciones de medición.
5.2.3.4. La temperatura de gas circulante es el valor de temperatura medida en el puente de medición aguas abajo del medidor.
5.2.3.5. La presión de base es un valor convencional de presión. Para el propósito de este reglamento se considerará igual a 101,3 kPa.
5.2.3.6. La temperatura de base es un valor convencional de temperatura. Para el propósito de este reglamento se considerará igual a 15 ºC.
5.2.3.7. El factor de compresibilidad deberá determinarse según ISO 12213 (2006) o AGA 8 (1992).
5.2.3.8. La conversión del volumen a condiciones de base se deberá verificar de alguna de las siguientes formas:
5.2.3.8.1. Verificando por un lado los instrumentos de medición asociados y por otro los cálculos correspondientes:
- En el caso en que los instrumentos de medición asociados entreguen señales digitales deberá utilizarse la indicación disponible en
ellos mismos.
- En el caso en que los instrumentos de medición asociados no entreguen señales digitales deberá utilizarse la indicación disponible en el computador.
Los resultados deberán verificarse según los EMP indicados en 5.2.3.1. y los cálculos deberán verificarse según los EMP especificados en 5.3.
5.2.3.8.2. Verificando los instrumentos de medición asociados y el computador conjuntamente. Deberá verificarse que el valor final de la conversión cumpla con el EMP para la conversión del volumen a condiciones de base.
5.2.3.9. Cuando se realice la aprobación de modelo se deberá especificar la clase de comunicación que utilice cada instrumento de medición asociado, con el propósito de asegurar la compatibilidad con el computador.
5.2.4. Corrección según el poder calorífico de referencia.
5.2.4.1. La constante de corrección según el poder calorífico de referencia se obtendrá según la siguiente fórmula:
Siendo:
HM: Poder calorífico del gas circulante.
HR: Poder calorífico de referencia.
5.2.4.2. El poder calorífico del gas circulante es el valor del poder calorífico medido en el puente de medición a condiciones de medición.
5.2.4.3. El poder calorífico de referencia es un valor convencional. Para el propósito de este reglamento deberá considerarse como 38937,24 kJoule/m3 (9300 kcal/m3).
5.2.4.4. El poder calorífico deberá determinarse según ISO 6976 (1995) o AGA 5 (1996).
5.2.4.5. La corrección según el poder calorífico de referencia se deberá verificar utilizando una indicación (disponible en el computador) de los porcentajes molares medidos por el cromatógrafo y de la constante de corrección según el poder calorífico de referencia.
5.2.4.6. Los cálculos deberán verificarse según los EMP especificados en 5.3.
5.2.4.7. Cuando se realice la aprobación de modelo se deberá especificar la clase de comunicación que utilice el cromatógrafo, con el propósito de asegurar la compatibilidad con el computador.
5.2.4.8. El error de repetibilidad para la obtención de la constante de corrección según el poder calorífico de referencia deberá ser menor o igual a un quinto de la magnitud del EMP.
5.2.4.9. Tiempo de respuesta para obtener la constante de corrección según el poder calorífico de referencia.
Tiempo que se tarde para tener el valor de poder calorífico del gas circulante disponible. Deberá considerarse en la incertidumbre correspondiente.
5.2.4.10. El cromatógrafo deberá ser capaz de medir como mínimo los siguientes componentes:
- Nitrógeno
- Dióxido de carbono
- Metano
- Etano
- Propano
- Iso-butano
- n-butano
- n-pentano
- Iso-pentano
- neo-pentano
- Hexanos y superiores
Si el fabricante desea incluir más componentes, deberá utilizarse un gas de calibración acorde. El rango de medición deberá ser especificado por el fabricante y lo corroborará INTI. No deberá comenzar en cero y deberá ser distinto de cero.
5.3. Errores máximos permitidos para el computador.
El EMP aplicable al computador es ± 0,05% del valor real calculado.
Este requerimiento es aplicable a cualquier cálculo, no sólo a cálculos de conversión o corrección.
5.4. Otras consideraciones metrológicas.
5.4.1. Para cualquier cantidad igual o mayor que el volumen correspondiente a cinco minutos a QMAX el error de repetibilidad del medidor deberá ser menor o igual a un quinto del valor EMP para el volumen a condiciones de medición especificado en 5.2.1.1 (Otras influencias).
5.4.2. El EMP para sistemas de medición (y sus componentes) en servicio, en verificación periódica y en vigilancia de uso no podrán exceder el valor permitido en la verificación primitiva.
5.4.3. Otras influencias
5.4.3.1. El fabricante deberá declarar otras influencias que haya detectado. Esta declaración será verificada en la aprobación de modelo teniendo en cuenta las reglas del buen arte. Para este propósito se considerará que una influencia menor que un quinto del EMP no será significativa.
5.4.3.2. Cualquier influencia significativa (teniendo en cuenta las reglas del buen arte) deberá estar especificada en el certificado de aprobación de modelo, acompañada con la información relevante.
5.4.3.3. Teniendo en cuenta los dos ítems anteriores, en la aprobación de modelo, verificación primitiva o posteriores verificaciones la autoridad de aplicación podrá:
- rechazar al dispositivo propuesto si éste no se ajusta a la situación real del sistema de medición,
- o imponer que se consideren las influencias significativas en el cálculo de la incertidumbre,
- ensayar otras posibles influencias si considera que las reglas del buen arte no se respetaron (sólo en la aprobación de modelo).
6. Requisitos Técnicos.
6.1. Sistema de medición.
6.1.1. El sistema de medición deberá operar dentro de los rangos del gas natural cuya composición se encuentra especificada en el informe Nº 8 del A.G.A. versión 1992 que incluya densidades relativas entre 0,554 y 0,87.
6.1.2. El sistema de medición deberá operar con una presión tal que asegure el acoplamiento acústico de los pulsos sonoros hacia y desde el gas. Por esto, el fabricante del medidor deberá especificar la presión de funcionamiento mínima esperada como también la máxima, en la documentación que acompañe a la solicitud de aprobación de modelo.
6.1.3. El sistema de medición deberá operar dentro de un rango de temperatura de circulación de gas de -25 a 55 ºC.
6.1.4. El sistema de medición deberá operar dentro de un rango de temperatura ambiente de -25 a 55 ºC. Este rango es aplicable al medidor con o sin circulación de gas, a la instrumentación asociada y al computador.
6.1.5. El sistema de medición deberá ser capaz de medir entre los límites de caudal mínimo y máximo en condiciones de funcionamiento cumpliendo con los errores máximos permitidos.
6.1.6. Cualquier dispositivo adicional conectado al sistema de medición deberá diseñarse de modo tal que no interfiera con la exactitud de la medición.
6.1.7. El sistema de medición deberá poseer una memoria para almacenar el resultado de la medición hasta su uso o para guardar trazabilidad a transacciones comerciales, suministrando prueba en caso de disputa. El medio donde se almacenan los datos deberá tener suficiente estabilidad para asegurar que los datos no se alteren bajo condiciones normales de uso. El almacenamiento de los datos deberá ser tal que resulte imposible modificarlo sin que al menos un sello de seguridad sea violado u ocurra una acción similar.
6.1.8. Deberá estar diseñando de modo tal que su comunicación sea segura.
6.1.9. Todos los parámetros que no se midan pero sean necesarios para la conversión o corrección del volumen deberán estar guardados en la SPU o en el computador (según corresponda) antes de efectuar una medición.
6.2. Puente de medición.
6.2.1. Deberá ser diseñado y construido de un material que permita cumplir con las condiciones de funcionamiento.
6.2.2. Para medición de flujo unidireccional, el puente de medición deberá tener un alojamiento para el sensor de temperatura instalado aguas abajo del medidor. La distancia desde la cara de la brida aguas abajo hasta el lugar de medición de temperatura deberá estar ubicado entre 2D y 5D. Para instalaciones bidireccionales, el alojamiento para el sensor de temperatura deberá estar localizado entre 3D y 5D de ambas bridas del medidor. “D” está definido como el diámetro nominal del medidor. La longitud de inserción del sensor de temperatura dentro de la cañería deberá estar comprendida entre 1/10 y 1/3 del valor del diámetro nominal.
6.2.3. La diferencia entre el diámetro interno de bridas y cañerías aguas arriba y aguas abajo adyacentes al medidor, y el desvío de coaxialidad con éste no deberán ser superiores a ± 1% del diámetro interno del medidor. El puente de medición que haya sido calibrado en su conjunto queda exceptuado de esta consideración.
Las juntas entre el tramo de cañería aguas arriba y el medidor no deberán sobresalir internamente en más del 1% del diámetro interno.
6.3. Medidor.
6.3.1. El medidor deberá estar aislado de perturbaciones.
6.3.2. La superficie interna del medidor deberá tener una rugosidad Ra de 0,000635 mm o menor.
6.3.3. Deberá ser diseñado y construido de un material que permita cumplir con las condiciones de funcionamiento.
6.3.4. El alojamiento para la instalación de los transductores deberá ser tal que reduzca la acumulación de impurezas, sólidas o líquidas, en el mismo, que puedan influir en la exactitud de la medición.
6.3.5. Deberá poseer al menos un orificio para medir la presión estática utilizada en la conversión del volumen. Su diámetro nominal deberá ser mayor o igual a 3 mm y menor o igual a 10 mm. Deberá ser cilíndrico sobre una longitud de al menos 2,5 veces el diámetro del orificio, medido a partir de la pared interior. Los bordes de esta perforación deberán estar libres de rebabas. Para puentes de medición con un espesor de pared menor a 8 mm, el orificio deberá ser de un diámetro nominal de 3 mm.
6.4. Unidad de procesamiento de la señal.
6.4.1. No se permitirá la corrección de derivas pre-estimadas, por ejemplo en relación al tiempo o al volumen.
6.4.2. Podrá utilizarse una unidad remota que suministre la energía y la interface del operador. Los dispositivos electrónicos del medidor, deberán guardarse en uno o más gabinetes montados sobre o próximos al medidor y deberán estar asociados a una SPU. Las plaquetas electrónicas deberán estar identificadas de manera unívoca por el fabricante.
6.4.3. La SPU deberá ser capaz de operar en las condiciones de funcionamiento del sistema de medición.
6.4.4. El sistema de medición deberá contener una función que asegure el reinicio automático de la SPU en caso que ocurra una falla en el programa o interrupción en el suministro de energía eléctrica.
6.4.5. La SPU deberá estar equipada con al menos las siguientes salidas:
- Interface serial.
- Frecuencia, representando el caudal a condiciones de medición.
6.4.6. Se podrá disponer de una función de corte por caudal bajo. Está función llevará a cero la indicación de caudal cuando éste se encuentre por debajo de un valor mínimo establecido, para impedir que se integren aparentes consumos no existentes. Este valor de corte no podrá ser superior al 0.2% del caudal de funcionamiento nominal.
6.5. Transductor ultrasónico.
6.5.1. Deberá especificarse como mínimo lo siguiente para cada transductor ultrasónico:
- Dimensiones críticas.
- Rango de presión.
- Rango de temperatura.
- Calidad del gas.
6.5.2. Deberán documentarse los ensayos efectuados en fábrica sobre los transductores. También deberá tenerse un número de serie y especificaciones según 6.5.1. Si la SPU requiere parámetros específicos de caracterización del transductor, cada transductor o par de ellos deberá estar provisto de la documentación que contenga el dato de ensayo de calibración específico, método utilizado y parámetros de caracterización.
6.6. Computador.
6.6.1. El sistema de medición deberá tener un computador que permita convertir el volumen a condiciones de medición a volumen a condiciones de base para luego corregir ese valor según el poder calorífico de referencia y obtener el resultado de la medición acumulando todos estos valores. Además deberá proveer la información necesaria de los parámetros y datos medidos para eventos de auditoría.
6.6.2. La información detallada de 6.6.2.1. a 6.6.2.6. deberá estar disponible en el lugar del puente de medición.
6.6.2.1. Los datos registrados desde el último período de recolección completo deberán incluir como mínimo:
- Promedio horario de la temperatura del gas circulante.
- Promedio horario de la presión del gas circulante.
- Promedio horario del factor de compresibilidad a condiciones de base.
- Promedio horario del factor de compresibilidad a condiciones de medición.
- Promedio horario del poder calorífico del gas circulante.
- Total horario de volumen a condiciones de medición.
- Total horario de volumen a condiciones de base.
- Total horario de volumen a condiciones de base corregido según el poder calorífico de referencia.
- Total diario de volumen a condiciones de medición.
- Total diario de volumen a condiciones de base.
- Total diario de volumen a condiciones de base corregido según el poder calorífico de referencia.
6.6.2.2. Las magnitudes de influencia. Se deberá incluir como mínimo:
- Variables de ajuste o corrección de los valores de presión y temperatura.
- Constante del medidor.
6.6.2.3. Los valores instantáneos de presión, temperatura, caudal y cualquier alarma o condición de error que ocurra. También se deberán incluir los valores de la composición del gas.
6.6.2.4. Una copia en algún medio de almacenamiento electrónico que incluya como mínimo:
- Valor de calibración anterior y posterior a un cambio para la instrumentación asociada y para la constante del medidor.
- Valor anterior y posterior a un cambio de cualquier parámetro de configuración de la medición de una magnitud de influencia.
- Un resumen completo de todas las alarmas o errores que afecten la medición, incluyendo una descripción de cada uno.
- Un resumen diario indicando las horas o porcentajes de tiempo con (o sin) circulación de gas.
6.6.2.5. Una unívoca identificación del sistema de medición.
6.6.2.6. Todos los datos con sus consecuentes ediciones, deberán estar disponibles para su recolección.
6.6.2.7. Toda la información detallada en 6.6.2. deberá tener fecha y hora y estar ordenada cronológicamente, si corresponde.
6.6.3. Registros.
El computador deberá ser capaz de compilar y almacenar suficiente información para realizar verificaciones diarias y horarias del resultado de la medición.
Se deberán registrar los datos históricos y proporcionar un soporte para los resultados de las mediciones actuales y anteriores informadas y los resultados de las mediciones declarados para un determinado ciclo de medición. Estos datos deberán permanecer inalterados.
El período mínimo de retención para los registros deberá ser de dos años.
6.6.3.1. Registro diario del resultado de la medición.
El registro diario de la cantidad medida por el sistema de medición es el promedio o sumatoria de los datos recogidos y calculados durante 24 horas consecutivas. Este deberá finalizar y dar comienzo a otro al final de cada período o cada vez que se cambie una constante de las magnitudes que intervienen en la medición. Deberá conservarse un registro diario del resultado de la medición para cada período más un resultado de la medición adicional cada vez que se cambie una o más constantes.
El registro diario de la cantidad medida por el sistema de medición deberá incluir como mínimo el día del período de medición, la hora, el volumen a condiciones de medición, el resultado de la medición, la temperatura y la presión del gas circulante.
6.6.3.2. Registro horario del resultado de la medición.
El registro horario es el promedio o sumatoria de los datos recogidos y calculados durante un máximo de 60 minutos consecutivos. Este finalizará y dará comienzo a otro al final de cada período o cada vez que se cambie una constante de las magnitudes que intervienen en la medición.
Habrá como mínimo 24 registros horarios del resultado de la medición para cada período diario. Estos registros deberán reflejar los efectos producidos cada vez que se cambie una o más constantes.
El registro horario de la cantidad medida por el sistema de medición deberá incluir como mínimo el día del período de medición, la hora, el volumen a condiciones de medición, el resultado de la medición, la temperatura y la presión del gas circulante.
6.6.3.3. Identificación de Algoritmos.
Se deberá proveer una identificación del algoritmo utilizado para realizar los cálculos en el computador.
6.6.3.4. Archivo de configuración.
El archivo de configuración deberá contener e identificar todos los parámetros que intervengan en la medición.
Este archivo deberá contener como mínimo lo siguiente:
- Identificación del computador
- Fecha y hora
- Hora de inicio del período diario
- Presión de base
- Temperatura de base
- Poder calorífico de referencia.
- Constante del medidor
- Condiciones de funcionamiento de presión y temperatura.
6.6.3.5. Archivo de eventos.
El objeto de este archivo es evidenciar y grabar los cambios en los parámetros contenidos en el archivo de configuración. Deberá contener como mínimo lo detallado en 6.6.3.4.
Cada vez que se modifique un parámetro que pueda afectar el resultado de la medición, el valor anterior y actual de la misma se deberá archivar junto con la fecha y hora del evento.
Los eventos se deberán guardar ordenados cronológicamente.
6.6.4. Seguridad.
6.6.4.1. Acceso restringido.
El computador deberá diseñarse para evitar el ingreso no autorizado al mismo, que permita modificar variables que puedan afectar el resultado de la medición. Esta protección deberá tener un único código de seguridad, el mismo deberá poseer como mínimo cuatro caracteres alfanuméricos.
Cada vez que se requiera cambiar alguna variable que pueda afectar el resultado de la medición deberá utilizarse este código de seguridad.
El sistema podrá tener uno o más niveles de seguridad.
Se podrán utilizar otro tipo de restricciones para negar el acceso al sistema, como ser mecánicas o eléctricas.
6.6.4.2. Protección de los algoritmos.
Los algoritmos utilizados para realizar los cálculos que afecten al resultado de la medición, deberán estar protegidos contra cualquier tipo de alteración en cualquier nivel de programación.
6.6.4.3. Datos originales.
No deberá haber ningún cambio en los datos originales. Estos deben permanecer inalterados en el tiempo.
6.6.4.4. Protección de la memoria.
6.6.4.4.1. El computador deberá tener una memoria no volátil o una fuente de alimentación de respaldo, y ser capaz de almacenar todos los datos registrados por un período no menor a 35 días.
6.6.4.4.2. Cuando se corte la fuente de alimentación principal, deberán registrarse la fecha, hora del corte y restitución de la misma en el archivo de eventos.
6.7. Instrumentos de medición asociados
6.7.1. Los instrumentos empleados para medir temperatura, presión y composición molar del gas deberán estar asociados a un transmisor que envíe señales a un computador para que éste utilice, indique y almacene las cantidades medidas.
6.7.2. Los resultados de las mediciones deberán ser accesibles en todos los casos.
6.7.3. El sensor de temperatura deberá tener una exactitud tal que no supere los errores máximos permitidos indicados en 5.2.3.1.
6.7.4. El sensor de presión deberá tener una exactitud tal que no supere los errores máximos permitidos indicados en 5.2.3.1.
6.7.5. El valor del poder calorífico del gas natural que pasa por el medidor será determinado utilizando un dispositivo de muestreo directamente conectado a la línea de transporte de gas en el lugar del puente de medición. Este muestreo deberá ser representativo del tipo de gas que circula por el sistema de medición. Este sistema de muestreo no afectará a las otras partes del sistema de medición. La determinación del valor del poder calorífico se efectuará por cálculo basado en la composición.
6.8. Dispositivos electrónicos.
6.8.1. Los dispositivos electrónicos deberán ser capaces de operar bajo las condiciones de funcionamiento establecidas en este reglamento sin que excedan los errores máximos permitidos indicados en el mismo.
6.8.2. En caso de corte y restitución del suministro de energía externa, el sistema de medición deberá guardar los últimos parámetros medidos y las alarmas, con su fecha y hora.
6.8.3. En caso de falla para sistemas de medición que utilicen dispositivos de suministro de energía por baterías, el sistema deberá retener la siguiente información:
- Volumen a condiciones de medición totalizado al momento del corte de energía.
- Volumen a condiciones de base totalizado al momento del corte de energía.
- Volumen a condiciones de base corregido según el poder calorífico de referencia totalizado al momento del corte de energía.
- Poder calorífico al momento del corte de energía.
- Factores de compresibilidad al momento del corte de energía.
- Indicación de alarmas.
- Carga de eventos.
- Todos los parámetros que no son medidos pero son necesarios para los cálculos y correcciones.
6.8.4. Detección de errores. Siempre que un dispositivo electrónico capaz de almacenar datos transfiera información a otro que también lo sea, deberá utilizarse un mecanismo de detección de errores, con el objetivo de identificar todo dato incorrecto para que éste no sea utilizado.
6.8.5. Los dispositivos electrónicos deberán cumplir los ensayos previstos en el punto 8.1 del presente reglamento.
6.9. Programas.
6.9.1. Firmware.
6.9.1.1. El o los código/s responsable/s del control y operación del medidor deberá/n almacenarse en una memoria no volátil.
6.9.1.2. Todas las constantes de cálculo y los parámetros utilizados en el mismo también deberán almacenarse en memoria no volátil.
6.9.1.3. Deberá ser posible verificar la totalidad de las constantes y parámetros mientras el medidor se encuentra en servicio y midiendo.
6.9.1.4. El usuario deberá mantener un registro de todas las versiones y revisiones del firmware, incluyendo Nº de serie y fecha de la misma, modelo del medidor, versiones y revisiones del circuito electrónico y una descripción detallada de los cambios sobre el firmware.
6.9.1.5. El número de versión y revisión del firmware, fecha de la misma y el número de serie y/o método de comprobación utilizado deberá estar disponible para inspección visual sobre el circuito integrado que contenga al firmware o poder mostrarse por un medio adecuado en el medidor o un dispositivo auxiliar.
6.9.1.6. Se podrá actualizar el firmware con el fin de mejorar el desempeño del sistema de medición. Previo a esto se deberá notificar de esta acción al INTI quien evaluará el caso y determinará o no la necesidad de efectuar ensayos para verificar el cumplimiento de lo establecido en la aprobación de modelo.
6.9.2. Configuración y mantenimiento del software para la SPU.
La SPU del medidor deberá proveer una forma de visualizar el funcionamiento del mismo. Como mínimo el software deberá indicar y grabar las siguientes mediciones:
- Caudal medido
- Velocidad media de desplazamiento del gas.
- Velocidad del sonido promedio
- Velocidad del sonido a lo largo de cada trayectoria acústica
- Nivel de ganancia de la señal ultrasónica en cada transductor ultrasónico
6.9.3. Inspección y verificación de la SPU.
6.9.3.1. Los parámetros de configuración utilizados por la SPU se deberán poder guardar y visualizar.
6.9.3.2. Se deberá proveer un sistema de precintado mecánico o electrónico para evitar alteraciones de aquellos parámetros que afecten al desempeño del sistema de medición.
6.9.3.3. Todas las intervenciones efectuadas entre dos verificaciones deberán almacenarse en un archivo y estar disponibles. El archivo deberá incluir la fecha e identificación de la persona autorizada para efectuar la intervención. El registro de la intervención deberá conservar la información por un período no menor a dos años. Cuando el medio de almacenamiento esté lleno, se deberá borrar la información memorizada de modo tal que la información se borre en el mismo orden en que fue grabada, borrando en primer lugar los datos que primero hayan ingresado.
6.9.3.4. Deberá ser posible verificar que la totalidad de los algoritmos, constantes y parámetros de configuración que se utilicen estén produciendo igual o mejor exactitud del medidor que cuando se lo verificó originalmente.
6.9.3.5. Deberá ser posible verificar, por medio de registros, condiciones de funcionamiento fuera de las especificadas. Estas deberán ser, como mínimo:
- Cuando el caudal indicado esté fuera de los valores extremos establecidos en la aprobación de modelo del medidor.
- Cuando uno o varios de los parámetros establecidos se encuentren fuera de su rango.
- Cuando uno o más de los pares de transductores no estén funcionando.
6.9.4. Diagnósticos de medición.
Se deberá poder consultar y obtener información de los siguientes diagnósticos:
- Niveles de ganancia de cada una de las trayectorias.
- Tiempo de tránsito de cada una de las trayectorias.
- Velocidad de flujo axial promedio a través del medidor.
- Velocidad de flujo de cada trayectoria acústica.
- Velocidad del sonido a lo largo de cada trayectoria acústica.
- Velocidad promedio del sonido.
- Intervalos de muestreo de velocidad.
- Intervalo de tiempo promedio.
- Porcentaje de pulsos aceptados por cada trayectoria acústica.
- Indicadores de estado y/o calidad de la medición.
- Alarmas o indicadores de fallas.
6.10. Instalación.
6.10.1. El puente de medición deberá respetar la configuración y características dimensionales utilizadas en la calibración para la verificación primitiva.
6.10.2. Instalación de toma de presión.
La instalación de toma de presión empieza en el orifico sobre el puente de medición para la toma de presión y finaliza en el transductor de presión.
Todas las pulsaciones o perturbaciones en la presión que afecten al resultado de la medición, deberán eliminarse. El largo de la instalación de toma de presión deberá ser lo mínimo posible. Los diámetros internos de la instalación de toma de presión deberán ser uniformes. Los materiales utilizados deberán ser compatibles con el fluido a medir. La instalación de toma de presión deberá tener una pendiente descendente hacia el medidor con una inclinación mínima de 25 mm cada 300 mm. La instalación de toma de presión deberá diseñarse de modo tal que evite cualquier vibración, flecha o curvatura que pueda afectar la medición.
6.11. Reemplazo de componentes.
Se podrán reemplazar o reubicar transductores (siempre de a pares), cables, dispositivos o subconjuntos electrónicos y software del modelo aprobado. Al efectuar el reemplazo o reubicación de cualquier componente se deberá dar aviso al INTI quien procederá a adelantar la ejecución de la siguiente verificación periódica dentro de los 6 (seis) meses posteriores al recambio. En esa oportunidad, el INTI verificará que el comportamiento de los componentes reemplazados se encuentre dentro de los parámetros establecidos en la verificación primitiva.
6.12. Identificación y precintado.
Se deberá proveer un sistema de precintado mecánico o electrónico que prevenga de alteraciones de los parámetros que afecten al desempeño del sistema de medición.
Las identificaciones deberán permanecer inalterables a lo largo de la vida útil del elemento que identifica.
6.12.1. Identificaciones en el medidor:
Deberá poseer una o más placas que contengan como mínimo la siguiente información:
- Fabricante.
- Marca y modelo
- Código de aprobación de modelo.
- Número de serie.
- Mes y año de fabricación.
- Diámetro nominal del medidor
- Diámetro interno del medidor
- Temperatura máxima y mínima de funcionamiento
- Presiones y temperaturas de funcionamiento máximas y mínimas.
- Rango de caudal.
- Peso del medidor.
- Dirección de circulación del flujo
- Campo para marcas de verificación.
6.12.2. Identificaciones en la instrumentación asociada.
Cada instrumento deberá poseer una o más placas que contengan como mínimo la siguiente información:
- Fabricante.
- Marca y modelo.
- Código de aprobación de modelo.
- Número de serie.
- Rango de funcionamiento.
- Campo para marca de verificación.
6.12.3. Otras identificaciones.
Los subconjuntos electrónicos deberán estar identificados, de manera unívoca.
6.12.4. Cualquier dispositivo adicional que pueda influir en la exactitud de la medición deberá precintarse.
7. Control Metrológico.
7.1. Consideraciones generales. Un sistema de medición será siempre examinado en el sitio de uso para verificar el cumplimiento de la totalidad de los requisitos contemplados en este reglamento que le correspondan.
El INTI definirá qué ensayos deberán ser efectuados en laboratorio cuando éstos no puedan ser ejecutados en el lugar de uso.
Cuando se efectúe un ensayo, la incertidumbre expandida U (para k = 2) para la determinación del error sobre la indicación de volumen, deberá ser menor que 1/3 del error máximo permitido aplicable a la aprobación de modelo, a verificación primitiva y verificación periódica. Sin embargo no necesariamente deberá ser menor que 0,3%.
La determinación de la incertidumbre se efectuará según los lineamientos de la “Guía para la expresión de las incertidumbres de medición” 2000 (segunda edición), traducción INTI-Cefis del documento “Guide to Expression of Uncertainty in Measurements” (BIPM, IEC; IFCC, ISO, IUPAC, IUPAP, OIML, 1993).
7.2. Aprobación de modelo.
7.2.1. Generalidades.
7.2.1.1. Todo sistema de medición de gas natural comprendido en el presente reglamento deberá cumplir con los requerimientos de documentación y ensayos metrológicos establecidos en este apartado y deberá acreditarlo mediante su correspondiente Certificado de Aprobación de Modelo.
7.2.1.2. En tanto se comercialicen por separado, deberán igualmente ser sometidos a aprobación de modelo los siguientes elementos constitutivos del sistema:
- Medidor.
- Computador.
- Instrumentos de medición asociados.
7.2.1.3. El solicitante de los ensayos mencionados deberá suministrar al INTI un instrumento representativo del modelo cuya aprobación se solicita.
7.2.1.4. En el caso de los componentes del sistema de medición, el INTI podrá solicitar otros ejemplares del modelo para apreciar la reproducibilidad de las mediciones.
7.2.2. Documentación.
7.2.2.1. Los fabricantes, importadores o representantes deberán solicitar los ensayos correspondientes a la aprobación de modelo al INSTITUTO NACIONAL DE TECNOLOGIA INDUSTRIAL, acompañando dos ejemplares (original y copia) de la documentación, firmados con aclaración de firma por el responsable ante Metrología Legal, correspondiente al modelo de un sistema de medición o de uno de los elementos mencionados en 7.2.1.2 que se desea aprobar, establecida por el punto 3. del ANEXO de la Resolución S.C.T. Nº 49/2003 incluyendo al menos la siguiente información:
- Descripción en forma clara y precisa del instrumento, su modo de funcionamiento y sus métodos de ajuste, como así también de su modo de operación, calibración e instalación.
- Plano general con dimensiones del mismo.
- Dibujo esquemático (diagrama en bloques) del modo de funcionamiento.
- Características metrológicas.
- Condiciones de funcionamiento, como ser: de temperatura, presión, tensión de alimentación, tramos rectos de cañería, acondicionadores de flujo, etc.
- Plano, descripción y lista de componentes de los grupos funcionales que componen el instrumento y un diagrama de vinculación o conexionado.
- Propuesta de ubicación y método de sellado, precintado u otro sistema de seguridad.
- Fotografía de trece por dieciocho centímetros como mínimo del instrumento, en vista general, con y sin cubierta, si correspondiere.
- Dibujo en escala 1:1 del visor o dispositivo indicador con las leyendas establecidas por el presente reglamento, si corresponde.
- Dibujo en escala 1:1 de la chapa de identificación y su modo de fijación y su ubicación en el instrumento.
- Diagrama de flujo y descripción del modo de operación del software utilizado y sus parámetros de configuración, si corresponde.
- Certificados de Aprobación de Modelo de los componentes, en caso de haber.
- Todo lo detallado en 6.5. y en 6.6.3.3.
7.2.2.2. La copia, debidamente legalizada de la documentación indicada permanecerá en poder del INTI y, el original se reintegrará al solicitante, una vez concluidos los ensayos de aprobación de modelo.
7.2.2.3. Una vez obtenidos los protocolos con los resultados de la totalidad de los ensayos establecidos por esta reglamentación emitidos por el INTI, y la devolución por parte del original presentado oportunamente con todas las actuaciones realizadas durante el análisis y ensayo de los modelos a aprobar, el fabricante o importador, adjuntando el resto de la documentación que exige la Resolución ex S.C.T Nº 49/2003 y manifestando con carácter de declaración jurada que el instrumento se ajusta a este reglamento, podrá presentar una solicitud de aprobación de modelo ante la Dirección Nacional de Comercio Interior de la SUBSECRETARIA DE COMERCIO INTERIOR dependiente de la SECRETARIA DE COMERCIO INTERIOR del MINISTERIO DE ECONOMIA Y FINANZAS PUBLICAS.
7.2.3. Certificado de Aprobación de Modelo.
El Certificado de Aprobación de Modelo de un sistema de medición o de uno de sus componentes indicados en, 7.2.1.2 a emitir por la Dirección Nacional de Comercio Interior de la SUBSECRETARIA DE COMERCIO INTERIOR dependiente de la SECRETARIA DE COMERCIO INTERIOR del MINISTERIO DE ECONOMIA Y FINANZAS PUBLICAS, deberá contener, al menos la siguiente información:
- Nombre y domicilio del titular del certificado.
- Nombre y domicilio del fabricante, si no fuera el titular.
- Marca y modelo del instrumento aprobado.
- Características metrológicas.
- Condiciones de funcionamiento del instrumento.
- Fecha, número y validez del certificado.
- Plan de sellado, precintado u otras medidas de seguridad.
- Identificación de los protocolos de ensayo en que se basa el certificado.
- Condiciones específicas para las verificaciones primitivas y periódicas, si corresponde.
- Limitaciones de uso, si corresponde.
7.2.4. Aprobación de modelo del sistema de medición.
7.2.4.1. La aprobación de modelo del sistema de medición estará constituida por los ensayos de aprobación de modelo de cada uno de sus elementos constitutivos y por los ensayos específicos que demuestren la compatibilidad del sistema en su conjunto.
7.2.4.2. En los casos en que uno o más elementos constitutivos cuenten con sus respectivos certificados de aprobación de modelo (Módulo), a los mismos no les serán efectuados los ensayos individuales que les correspondan.
7.2.4.3. El certificado de aprobación de modelo del sistema de medición no constituye la aprobación de modelo individual de sus componentes; no obstante lo cual deberá ser presentada la documentación completa de los mismos en cumplimento del punto 7.2.2 del presente reglamento.
7.2.5. Modificaciones a un modelo aprobado.
En todos los casos en que el titular del modelo aprobado de un sistema o cualquiera de sus elementos constitutivos indicados en 7.2.1.2 introduzca en él una modificación, deberá presentar una solicitud de evaluación de la misma al INTI, el que dictaminará sobre la necesidad o no de efectuar parte o la totalidad de los ensayos que correspondan de los establecidos por el presente reglamento, con el fin de mantener la aprobación correspondiente o, en su defecto, proceder a una nueva aprobación de modelo.
7.2.6. Ejecución de los ensayos de aprobación de modelo.
7.2.6.1. Los ensayos de los elementos constitutivos serán efectuados en el INTI, o en el laboratorio del fabricante o en otro independiente a propuesta de éste, en ambos casos auditados y aprobados por el INTI.
7.2.6.2. En todos los casos los ensayos correspondientes serán auditados por personal técnico del INTI.
7.2.7. Ensayos de aprobación de modelo.
7.2.7.1. Medidor.
7.2.7.1.1. Deberá ser ensayado con todos los dispositivos que a criterio del INTI puedan afectar la exactitud de la medición.
7.2.7.1.2. La determinación de errores a las condiciones de referencia se efectuará a un mínimo de 7 caudales nominales distribuidos en su rango de trabajo de la siguiente manera: Qmin; 5%; 10%; 25%; 50%; 75%; 100% de Qmax.
7.2.7.1.3. Los errores serán determinados como mínimo tres veces a cada caudal, independiente y consecutivamente, y cualquiera de ellos no deberá exceder los valores indicados en los apartados 5.2.
7.2.7.1.4. El medidor será sometido, además, a la totalidad de los ensayos establecidos en 8.1 para los componentes electrónicos del sistema.
7.2.7.1.5. El medidor será ensayado en al menos uno de los caudales indicados en 7.2.7.1.2. con un par de transductores ultrasónicos desconectados donde deberá medir dentro de los errores máximos permitidos.
7.2.7.2. Computador e Instrumentos de medición asociados.
7.2.7.2.1. Con el objeto de asegurar la compatibilidad, los modelos de instrumentos de medición asociados podrán ser aprobados conjuntamente o para ser utilizados con uno o más modelos de computador determinado.
7.2.7.2.2. En caso contrario, sus respectivos certificados de aprobación de modelo deberán contener todas las condiciones requeridas para asegurar la compatibilidad con el computador al que habrán de suministrarle sus señales.
7.2.7.2.3. En ambos casos deberán cumplir los EMP indicados en los apartados 5.2.
7.2.7.2.4. El computador, podrá ser aprobado conjuntamente con los instrumentos de medición asociados, en cuyo caso deberá satisfacer el EMP indicado en el apartado 5.2.
7.2.7.2.5. El computador y los instrumentos de medición asociados que estén equipados con software deberán ser ensayados para comprobar que ningún parámetro metrológico pueda ser alterado, tomando en consideración lo prescripto para precintado electrónico en el punto 6.12.
7.2.7.2.6. La comunicación entrante o saliente con el medidor no deberá tener ninguna influencia en la exactitud de sus mediciones.
7.3. Verificación primitiva.
7.3.1. Generalidades.
Todo sistema de medición alcanzado por el presente Reglamento, y los dispositivos indicados en 7.2.1.2 que se comercialicen como tales, deberán ser sometidos a verificación primitiva para acreditar el cumplimiento del mismo, y su correspondencia con el respectivo modelo aprobado.
7.3.2. Documentación.
7.3.2.1. La solicitud de los ensayos correspondientes a la verificación primitiva del sistema de medición o de sus elementos constitutivos sometidos a verificación, se presentará ante el INSTITUTO NACIONAL DE TECNOLOGIA INDUSTRIAL (INTI) y deberá estar acompañada, al menos, por la siguiente documentación:
- Nombre y domicilio del solicitante.
- Marca y modelo del instrumento aprobado.
- Nº de Certificado y Código de Aprobación de Modelo.
- Características metrológicas.
- Nº de serie del o los instrumentos cuya verificación se solicita.
- Lugar de instalación, si se trata de un sistema de medición.
7.3.2.2. Una vez obtenidos los protocolos de la totalidad de los ensayos establecidos por el presente Reglamento para la Verificación Primitiva y el correspondiente informe de ensayo del Programa de Metrología Legal, emitidos por el INSTITUTO NACIONAL DE TECNOLOGIA INDUSTRIAL, el fabricante o importador, deberá presentar la correspondiente solicitud de certificado de verificación primitiva en la Dirección Nacional de Comercio Interior de la SUBSECRETARIA DE COMERCIO INTERIOR dependiente de la SECRETARIA DE COMERCIO INTERIOR del MINISTERIO DE ECONOMIA Y FINANZAS PUBLICAS conforme lo establecido en el punto 6 y 7 del Anexo de la Resolución ex S.C.T. Nº 49/2003, antes del plazo de QUINCE (15) días, vencido el cual carecerán de validez los mismos, a estos efectos, debiendo realizar los ensayos nuevamente; manifestando con carácter de declaración jurada que los instrumentos presentados dan cumplimiento a la totalidad de los requisitos establecidos en el presente, y que coinciden con el respectivo modelo aprobado. Deberán acompañarse la presentación con fotografías donde se aprecien una vista general del instrumento el área de indicación, los comandos del instrumento y las indicaciones obligatorias y las marcas o etiquetas de verificación.
7.3.3. Certificado de Verificación Primitiva.
El Certificado de Verificación Primitiva de un sistema de medición o de uno de sus componentes indicados en 7.2.1.2, a emitir por la Dirección Nacional de Comercio Interior de la SUBSECRETARIA DE COMERCIO INTERIOR dependiente de la SECRETARIA DE COMERCIO INTERIOR del MINISTERIO DE ECONOMIA Y FINANZAS PUBLICAS, deberá contener, al menos, la siguiente información:
- Nombre y domicilio del titular del certificado.
- Marca y modelo del instrumento verificado.
- Características metrológicas.
- Condiciones de funcionamiento del instrumento.
- Fecha, número y validez del certificado.
- Plan de sellado, precintado u otras medidas de seguridad.
- Identificación de los protocolos de ensayo en que se basa el certificado.
- Lugar de instalación, si se trata de un sistema de medición.
7.3.4. Verificación primitiva del sistema de medición.
7.3.4.1. En los casos en que ninguno de los elementos constitutivos del sistema de medición cuente con respectivo certificado de verificación primitiva, deberán efectuarse sobre el sistema la totalidad de los ensayos establecidos en el punto 7.3.6 del presente reglamento.
7.3.4.2. En caso contrario, tomando en consideración los elementos que cuenten con su verificación primitiva, el INTI establecerá los ensayos a efectuarse sobre el sistema instalado. Deberá documentarse en el informe de ensayo.
7.3.5. Ejecución de los ensayos de verificación primitiva.
7.3.5.1. Los ensayos para la verificación primitiva del sistema de medición serán realizados por el INTI en su lugar de instalación.
7.3.5.2. En el caso de los dispositivos indicados en 7.2.1.2, podrá darse cumplimiento a la Verificación Primitiva de los instrumentos, por medio de la emisión, por parte del fabricante o importador, de una Declaración de Conformidad respecto de los lotes de instrumentos producidos o importados, donde se acredite que los mismos satisfacen los requisitos establecidos por el presente Reglamento y coinciden con el respectivo modelo aprobado.
Para estar en condiciones de emitir la mencionada Declaración de Conformidad, el fabricante o importador, deberá contar con la autorización de la Dirección Nacional de Comercio Interior de la SUBSECRETARIA DE COMERCIO INTERIOR dependiente de la SECRETARIA DE COMERCIO INTERIOR del MINISTERIO DE ECONOMIA Y FINANZAS PUBLICAS, previa presentación de la auditoría realizada por el INSTITUTO NACIONAL DE TECNOLOGIA INDUSTRIAL, de acuerdo a lo establecido por la Resolución ex S.C.T. Nº 19/2004.
La declaración de conformidad deberá ser comunicada por el titular del modelo aprobado a la DIRECCION NACIONAL DE COMERCIO INTERIOR, con carácter de declaración jurada, dentro de los DIEZ (10) días hábiles de producida la misma, en caso contrario deberá efectuar la correspondiente Verificación Primitiva conforme lo dispuesto en el punto 7.3, excepto el punto 7.3.5.2.
La presentación de la Declaración de Conformidad ante la Dirección Nacional de Comercio Interior deberá ser acompañada del comprobante de pago de la tasa establecida en el Artículo 7º de la presente resolución.
7.3.6. Ensayos de Verificación Primitiva.
Se verificará la correspondencia del sistema y sus partes constitutivas, si correspondiera, con sus respectivos modelos aprobados.
7.3.6.1. Sistema de Medición.
7.3.6.1.1. De ser posible, el sistema de medición será ensayado en su lugar de instalación, a lo largo de su rango de caudales a medir, en las condiciones de funcionamiento y con el gas al que está destinado a medir.
7.3.6.1.2. No obstante, en los casos en que, a criterio del INTI, las condiciones de la calibración en el laboratorio resulten suficientemente representativas de su situación en el lugar de instalación, y su comportamiento no resulte influenciable a causa de su desarmado, transporte y posterior armado en el lugar de trabajo, los ensayos realizados en banco o en laboratorio, podrán ser considerados válidos, procediéndose luego a realizar una evaluación de la instalación del conjunto en el lugar de trabajo.
7.3.6.1.3. En este último caso, se verificará el desempeño del medidor instalado. En el caso que a criterio del INTI el desempeño del medidor se aparte significativamente de las condiciones de funcionamiento en ocasión de su calibración, éste podrá establecer la necesidad de una nueva calibración a las condiciones reales de funcionamiento.
7.3.6.1.4. Los errores de las partes constitutivas del sistema de medición deberán estar corregidos tan cercanos a cero como sea posible, antes de su verificación.
7.3.6.2. Medidor.
7.3.6.2.1. La verificación primitiva del medidor se hará en las condiciones más próximas a las de uso, incluyendo la circulación del gas cuyo volumen está destinado a medir. No obstante, si la autoridad de aplicación considera que los resultados de los ensayos pueden resultar comparables, podrá realizarse con otro gas, por ejemplo aire.
7.3.6.2.2. La verificación primitiva deberá efectuarse a un mínimo de 7 caudales distribuidos en su rango de trabajo de la siguiente manera: Qmin; 5%; 10%; 25%; 50%, 75%; 100% de Qmax.
7.3.6.2.3. La verificación primitiva para medición de flujo bidireccional se realizará en ambos sentidos de pasaje del gas.
7.3.6.3. Computador e Instrumentos de medición asociados.
7.3.6.3.1. El conjunto deberá ser verificado en su lugar de instalación.
7.3.6.3.2. El control del cumplimiento de sus requisitos se efectuará una vez realizado el ajuste del conjunto.
7.3.6.4 Errores de verificación primitiva.
Los máximos errores permitidos serán los mismos que para aprobación de modelo.
7.4. Verificación periódica
7.4.1. La verificación periódica de un sistema de medición alcanzado por el presente comprenderá:
- un examen de la instalación del sistema de medición;
- un examen y control metrológico del medidor,
- un examen control metrológico del computador y sus instrumentos de medición asociados.
- Se verificará la correspondencia del sistema y sus partes constitutivas, si correspondiera, con sus respectivos modelos aprobados.
Los máximos errores permitidos serán los mismos que para la verificación primitiva.
7.4.2. Ensayos de funcionamiento del medidor.
7.4.2.1. Anualmente se verificará el desempeño del medidor instalado. En el caso que a criterio del INTI el desempeño del medidor se aparte significativamente de las condiciones de funcionamiento en ocasión de su calibración, éste podrá establecer la necesidad de una nueva calibración a las condiciones reales de funcionamiento.
De ser a estos valores, en cualquiera de las trayectorias acústicas, se deberá solucionar el problema y en caso contrario se deberá proceder a repararlo. Si la reparación a criterio del INTI afecta la exactitud de la medición se deberá someter al medidor a los ensayos correspondientes a una verificación primitiva.
7.4.2.2. La verificación del diámetro interno del medidor será efectuada cada 3 (años), para evaluar la estabilidad geométrica del medidor.
7.4.2.3. Con el fin de verificar la estabilidad del medidor se efectuará sobre éste cada 3 (tres) años, una verificación de desempeño a flujo cero, detallada en 8.2.7 (Verificación de flujo cero).
7.4.2.4. Se efectuará un ensayo cada SEIS (6) años como se establece en 7.3.6.2 (verificación primitiva, Medidor) o utilizar para esto un medidor patrón instalado en serie sobre la configuración actual de medición. Este último medidor podrá ser provisto por el usuario y deberá tener trazabilidad directa a patrones nacionales.
7.5. Vigilancia de uso.
La vigilancia de uso estará a cargo de la autoridad nacional, la cual podrá actuar de oficio o en razón de denuncias recibidas, y comprenderá dos aspectos:
7.5.1. Verificación de legalidad.
Se procederá a verificar en forma documental la legalidad de los instrumentos en cuanto a su aprobación de modelo y verificación primitiva, o la vigencia de su verificación periódica en caso de que corresponda.
A continuación, se procederá a efectuar una inspección visual preliminar, con el objeto de detectar daños físicos evidentes, así como roturas o signos de posible adulteración, que invaliden su ensayo metrológico.
7.5.2. Ensayos.
Sobre los instrumentos no objetados por los motivos mencionados en 7.5.1., se procederá a efectuar los ensayos correspondientes a la verificación periódica indicados en 7.4.1.
8. Métodos de Ensayos.
8.1. Los resultados de un ensayo deberán ser transcriptos en un informe de ensayo.
8.2. Consideraciones generales para un informe ensayo de exactitud de un medidor o un puente de medición.
Los resultados de cada ensayo de exactitud del medidor o puente de medición requeridos en aprobación de modelo o verificación primitiva, serán documentados en un informe, el cual incluirá como mínimo:
- El nombre del fabricante.
- El nombre y la dirección del laboratorio de ensayo.
- El modelo y el número de serie del medidor.
- Código de aprobación de modelo, si correspondiere.
- El número de revisión del firmware de la SPU.
- La fecha del ensayo.
- El nombre y el cargo de quién dirigió los ensayos.
- Una descripción de los procedimientos de ensayos del medidor.
- Las configuraciones de la cañería aguas arriba y aguas abajo incluido el acondicionador de flujo.
- Los números de serie de todas las cañerías y acondicionadores de flujo.
- Un informe de diagnóstico de los parámetros de configuración del software al momento del ensayo.
- Todos los datos del ensayo, incluyendo caudales, velocidades de sonido y de circulación, errores, repetibilidad, reproducibilidad, presiones, temperaturas, y composición del gas.
- Una descripción de las variaciones o desviaciones de las condiciones de ensayo requeridas, si correspondiera.
- Una declaración de incertidumbre del laboratorio responsable de los ensayos, referenciando el método empleado y fecha de la última verificación de la trazabilidad de sus patrones a patrones nacionales y/o internacionales.
- Los factores de ajuste utilizados y una identificación del método empleado para su obtención.
- Número de páginas del documento.
- Aclaración del nombre y cargo de todas las personas que firman el informe de ensayo, debajo de las firmas.
8.3. Ensayos de dispositivos electrónicos para aprobación de modelo.
8.3.1. Consideraciones generales.
8.3.1.1. Los componentes electrónicos de un sistema de medición deberán ser ensayados para demostrar que los mismos se desempeñarán dentro de los errores máximos permitidos.
8.3.1.2. Para las condiciones climáticas se deberán seguir los requerimientos establecidos para “instalaciones en lugares abiertos con condiciones climáticas medias, excluyendo así ambientes polares o desiertos”. Para las condiciones mecánicas, los requerimientos corresponderán para “instalaciones con significativo o alto nivel de vibraciones y golpes”.
8.3.1.3. Los ensayos se aplicarán a la totalidad de los dispositivos y subconjuntos electrónicos del sistema de medición.
8.3.1.4. Los componentes electrónicos deberán estar en operación midiendo flujo cero y en funcionamiento el 100% del tiempo de ensayo. En el caso de transiciones de alta tensión y ensayos de descarga electrostática, el sistema puede dejar de funcionar temporalmente, pero deberá recuperarse automáticamente dentro de los 30 segundos sin perder o dañar información que comprometa el resultado de la indicación principal.
8.3.2. Programa de ensayos.
Los ensayos a efectuar bajo los diferentes factores de influencia son los siguientes:
8.3.2.1. Temperatura estática, calor seco.
Exposición a temperatura estática de 55ºC durante un período de 2 horas. El cambio de temperatura no excederá 1ºC/min durante el incremento y descenso de la temperatura. Se deberá evitar condensación durante todo el ensayo.
8.3.2.2. Temperatura estática, frío.
Exposición a temperatura estática de -25ºC durante un período de 2 horas. El cambio de temperatura no excederá 1ºC/min durante el incremento y descenso de la temperatura. Se deberá evitar condensación durante todo el ensayo.
8.3.2.3. Calor húmedo.
Exposición a temperatura constante de 30ºC y humedad relativa constante de 93% por un período de cuatro días. No deberá haber condensación de agua sobre la unidad.
8.3.2.4. Calor húmedo, ciclado.
Exposición a ciclado en temperatura con variación entre 25ºC y 55ºC, manteniendo la humedad relativa por encima del 95% durante el cambio de temperatura en las fases de baja temperatura y al 93% en las fases de temperatura alta. Deberá ocurrir condensación sobre la electrónica durante el incremento de temperatura. El ensayo consistirá de 2 (dos) ciclos cada uno siguiendo el procedimiento de ciclado especificado.
8.3.2.5. Vibraciones aleatorias.
Exposición a niveles de vibraciones aleatorias como se indica a continuación:
- Rango de frecuencia: 10 - 150 Hz
- Nivel total de RMS: 1,6 m/s2
- Nivel ASD 10 - 20 Hz: 0,048 m/s2
- Nivel ASD 20 - 150 Hz: - 3 dB/octava
- Número de ejes: 2
- Duración: 2 minutos o más si es necesario el ensayo de varias funciones
8.3.2.6. Vibración sinusoidal.
Exposición a una vibración sinusoidal por agitación en la frecuencia en el rango de 10 - 150 Hz a 1 octava por minuto a un nivel de aceleración de 2 m/s2. Los subconjuntos electrónicos serán ensayados en tres ejes perpendiculares. La duración del ensayo será de 20 ciclos por eje.
8.3.2.7. Impacto mecánico.
El subconjunto electrónico estando en una posición normal de uso sobre una superficie rígida, se inclinará sobre uno de los extremos inferiores a una altura de 25 mm y luego se la dejará caer libremente sobre la superficie de ensayo. Se efectuará dos veces por cada extremo inferior.
8.3.2.8. Variación en el suministro de tensión eléctrica.
Exposición a la tensión de alimentación especificada por un período lo suficientemente largo para lograr estabilidad de temperatura y luego ensayar el medidor a las siguientes condiciones:
- Tensión nominal: ± 10%
- Frecuencia nominal: 50 ó 60 Hz ± 2%
8.3.2.9. Reducción de tensión en un período corto.
Exposición a interrupción y reducción de la tensión nominal como se especifica a continuación
- Reducción del 100% durante 10 ms
- Reducción del 50% durante 20 ms
- Las reducciones se repetirán 10 veces a intervalos de tiempo de al menos 10 segundos
8.3.2.10. Descargas eléctricas.
Exposición a picos de tensión teniendo una forma de onda doble exponencial. Cada uno de los picos tendrá un incremento de 5 ns y una amplitud media de 50 ns. La longitud de la ráfaga será de 15 ms; el período será de 300 ms. El valor pico será de 0,5 kV.
8.3.2.11. Descargas electrostáticas.
Exposición a 10 descargas electrostáticas con un intervalo de tiempo de 10 segundos entre cada descarga. Si el electrodo que da la descarga se encuentra en contacto con algún subconjunto electrónico, la tensión de ensayo será de 8 kV.
8.3.2.12. Susceptibilidad electromagnética.
Exposición a campo de radiación electromagnética El rango de frecuencia será de 0,1 a 500 MHz, con una longitud de campo de 10 V/m.
8.4. Ensayos de funcionamiento para aprobación de modelo.
Los siguientes exámenes y ensayos serán llevados a cabo sobre cada uno de los elementos que conformen el sistema de medición que sean sometidos a aprobación de modelo.
8.4.1. Consideraciones generales.
8.4.1.1. El sistema deberá diseñarse de modo tal que esté preparado para ser sometido a ensayos metrológicos en laboratorios con capacidades de medición adecuadas.
8.4.1.2. El medidor deberá ser ensayado con la configuración del puente de medición. El mismo podrá también ser ensayado sin el computador, si éste ha sido objeto de una aprobación de modelo por separado.
En el caso de estar conectado a un computador, se determinara el error contemplando el algoritmo de corrección del computador.
8.4.2. Medición dimensional.
8.4.2.1. El INTI verificará el diámetro interno promedio del medidor, la longitud de la trayectoria acústica entre la cara de los transductores y la distancia axial entre pares de transductores, documentadas en la solicitud de aprobación de modelo.
8.4.2.2. El diámetro interior promedio deberá ser calculado a partir de un total de 12 mediciones del medidor. Cuatro mediciones del diámetro interno (una en el plano vertical, otra en el plano horizontal y dos en planos de aproximadamente 45º del plano vertical) se harán en tres secciones transversales del medidor:
- cerca del conjunto de transductores ultrasónicos aguas arriba,
- cerca del conjunto de transductores aguas abajo y
- a una distancia intermedia entre el conjunto de dos transductores.
El valor del diámetro interno del medidor deberá permanecer constante dentro del ± 0,5% del valor promedio calculado.
8.4.2.3. La temperatura del cuerpo del medidor deberá ser medida al mismo tiempo en que se realicen las mediciones dimensionales. Las longitudes medidas serán corregidas para una longitud equivalente a una temperatura del cuerpo del medidor de 20ºC por aplicación del coeficiente de expansión térmica para el material del cuerpo del medidor. Las longitudes individuales corregidas deberán ser entonces promediadas e informadas con una incertidumbre mejor a 0,0025 mm.
8.4.3. Ensayo de exactitud y repetibilidad.
8.4.3.1. La presión, temperatura y densidad del gas de ensayo deberán informarse. Los caudales de ensayo serán como mínimo: Qmin; 5%; 10%; 25%; 50%, 75%; 100% de Qmax. Se verificará si el error de repetibilidad y de exactitud del medidor se encuentra dentro de los errores máximos permitidos.
8.4.3.2. La incertidumbre del ensayo deberá ser igual o mejor que 1/3 del error máximo permitido.
8.4.3.3. Cualquier propiedad física o valor termodinámico usado durante el ensayo en caudal serán calculados a partir del reporte del AGA 8 y/o AGA 10.
8.4.3.4. Durante el ensayo, se deberán acumular los datos obtenidos por el medidor para cada estado de caudal. Se requerirá al menos la adquisición de datos durante 120 segundos para cada estado de caudal ensayado. Durante la el ensayo se deberá efectuar e informar al menos los valores de una verificación de la velocidad del sonido para cada trayectoria acústica.
8.4.3.5. Si el medidor será utilizado para mediciones bidireccionales, el ensayo deberá realizarse en ambos sentidos de circulación.
8.4.4. Criterios de ajuste.
El propósito de un factor de ajuste es reducir a valores cercanos a cero los errores de medición.
8.4.4.1. La totalidad de los parámetros que no son medidos pero son necesarios para las correcciones deberán estar contenidos en el medidor antes de efectuar la operación de medición. No se permite la corrección de un corrimiento pre estimado en relación al tiempo o al volumen.
8.4.4.2. El medidor deberá ser ajustado utilizando los siguientes métodos:
8.4.4.2.1. Aplicando el error medio ponderado (EMPo) Este factor deberá ser capaz de ajustar el error del medidor tan próximo a cero como el ajuste y los errores máximos permitidos lo permitan.
El valor EMPo será calculado como:
donde: qi / qmax es un factor de ponderación
Ei es el error al caudal de flujo qi
(donde qi = 0,95 qmax se utilizará un factor de ponderación de 0,4 en lugar de 1)
El valor de EMPo deberá estar entre - 0,4% y + 0,4%.
Después de realizar el ajuste no es necesario repetir la totalidad de los caudales de ensayo especificados en 7.2.2.2. En caso de utilizarse un algoritmo de ponderación para ajustar los desvíos del medidor, deberán verificarse al menos 2 puntos.
8.4.4.2.2. Se podrá proponer la utilización de un algoritmo multipunto o polinómico, un método de interpolación lineal más preciso u otro método, el cual será evaluado por el INTI en ocasión de la aprobación de modelo.
La corrección será solamente autorizada entre los diferentes puntos de la calibración (no se permite extrapolación). Como consecuencia, nunca se podrá corregir por debajo del caudal mínimo y por encima del caudal máximo.
Para uso bidireccional del medidor, un segundo conjunto de factores de ajuste se utilizará para la medición del inverso.
8.4.5. Ensayo de verificación de flujo cero.
Se realizará un ensayo de verificación de flujo cero y se verificará:
- que la velocidad de flujo indicada por cada par de transductores sea en promedio inferior a 6 mm/s.
- que la velocidad del sonido de cada trayectoria acústica esté dentro de ± 0,2% del valor teórico.
- que el rendimiento de la señal de cada transductor ultrasónico esté en el 100%.
- que los niveles de ganancia estén dentro de los límites nominales especificados en la solicitud de aprobación de modelo.
8.4.6. Dispositivo de conversión del volumen y dispositivo de corrección del volumen.
8.4.6.1. El ensayo sobre los dispositivos de corrección y conversión del volumen deberá efectuarse con el fin de verificar que éstos y el dispositivo indicador conectados a la totalidad de los instrumentos de medición asociados, cumplan con los errores máximos permitidos.
8.4.6.2. Los instrumentos de medición asociados al sistema de medición deberán poseer una exactitud tal que no superen los errores máximos permitidos.
8.4.6.3. Los ensayos se efectuarán como se indica a continuación:
8.4.6.3.1. A condiciones de referencia posterior al ajuste.
La totalidad de los factores de influencia serán a condiciones de referencia y todas las combinaciones de las magnitudes medidas representativas del gas deben ser ensayadas, al menos con combinación de valores extremos. Al menos 3 composiciones de diferentes gases deberán ser utilizadas con el fin de evaluar los factores de compresibilidad.
8.4.6.3.2. A condiciones de funcionamiento sin ajuste previo.
Se variará cada factor de influencia por separado. La totalidad de las combinaciones de las cantidades medidas del gas deberán tenerse en cuenta y en lo posible en combinaciones de valores extremos. Sin embargo, podrán limitarse los ensayos sobre los factores de influencia a las combinaciones más desfavorables, a partir de ensayos efectuados en 8.3.6.3.1. y/o tipos de gas.
Los factores de influencia a los que será sometido el dispositivo son los indicados en el apartado 8.1.
8.4.6.3.3. La verificación se efectuará según uno de los tres métodos indicados en 5.2.3.8 ó 5.2.4.6. según corresponda.
METROLOGIA LEGAL
Resolución 89/2012
Apruébase el Reglamento técnico y metrológico para los sistemas de medición de gas natural con medidor ultrasónico.
Bs. As., 10/9/2012
VISTO el Expediente Nº S01:0422202/2008 del Registro del ex MINISTERIO DE ECONOMIA Y PRODUCCION, y
CONSIDERANDO:
Que resulta conveniente la intervención del Estado Nacional en el control del parque de instrumentos de medición que intervienen en la cuantificación de los bienes que son objeto de transacciones comerciales, así como en la preservación de la salud, la seguridad y el medio ambiente.
Que el Artículo 7º de la Ley Nº 19.511 faculta al Poder Ejecutivo Nacional para dictar la reglamentación de especificaciones y tolerancias para los instrumentos de medición alcanzados por la misma.
Que el Decreto Nº 788 del 18 de septiembre de 2003, reglamentario de la Ley Nº 19.511, dispone en su Artículo 2º, inciso a) que es función de la SECRETARIA DE COORDINACION TECNICA del MINISTERIO DE ECONOMIA Y PRODUCCION, hoy SECRETARIA DE COMERCIO INTERIOR del MINISTERIO DE ECONOMIA Y FINANZAS PUBLICAS, establecer el reglamento de aprobación de modelos, verificación primitiva, verificación periódica y vigilancia de uso de instrumentos de medición.
Que asimismo, el INSTITUTO NACIONAL DE TECNOLOGIA INDUSTRIAL (INTl) organismo descentralizado en la órbita del MINISTERIO DE INDUSTRIA, en ejercicio de las facultades conferidas por el Artículo 3º, incisos e) y f) del Decreto Nº 788/03, ha propuesto un Reglamento técnico y metrológico para los sistemas de medición de gas natural con medidor ultrasónico.
Que en su elaboración se han tenido en cuenta las recomendaciones de las principales organizaciones internacionales en la materia, como la Recomendación Nº 140 de la Organización Internacional de Metrología Legal (OIML), versión 2007; y el AGA Report Nº 9, versión 2007, de la American Gas Association.
Que la Dirección de Legales del Area de Comercio Interior dependiente de la Dirección General de Asuntos Jurídicos del MINISTERIO DE ECONOMIA Y FINANZAS PUBLICAS, ha tomado la intervención que le compete.
Que la presente medida se dicta en virtud de las facultades otorgadas por el Artículo 2º, incisos a), h) e i) del Decreto Nº 788/03.
Por ello,
EL SECRETARIO DE COMERCIO INTERIOR
RESUELVE:
Artículo 1º — Apruébase el Reglamento técnico y metrológico para los sistemas de medición de gas natural con medidor ultrasónico que posean indicación en volumen a condiciones de base corregido según el poder calorífico de referencia, de capacidad igual o mayor a 40.000 m3/h, y cuyas mediciones sean utilizadas para operaciones de exportación e importación, transacciones comerciales, y la transferencia en custodia entre empresas productoras, transportistas y distribuidoras, así como los componentes principales indicados en el mismo, que como Anexo en CUARENTA (40) fojas, forma parte integrante de la presente resolución.
Art. 2º — Los Sistemas de Medición de Gas Natural con Medidor ultrasónico, así como sus dispositivos principales, que se fabriquen, importen, comercialicen e instalen en el país deberán cumplir con el Reglamento Metrológico y Técnico aprobado por el Artículo 1º de la presente resolución, a partir de los TRESCIENTOS SESENTA Y CINCO (365) días siguientes a la fecha de su entrada en vigencia.
Art. 3º — Los Sistemas de Medición de Gas Natural con Medidor ultrasónico, así como sus dispositivos principales, que se encuentren instalados en el país, o que se instalen dentro de los TRESCIENTOS SESENTA Y CINCO (365) días de la fecha de entrada en vigencia de la presente, deberán dar cumplimiento al Reglamento Metrológico y Técnico aprobado en el Artículo 1º de la presente resolución, a partir del día 1º de enero de 2018.
Art. 4º — Los Sistemas de Medición de Gas Natural con Medidor ultrasónico, así como sus dispositivos principales, que se encuentren instalados en el país, o que se instalen dentro de los TRESCIENTOS SESENTA Y CINCO (365) días de la fecha de entrada en vigencia de la presente deberán acreditar que satisfacen los ensayos del punto 7.4 del citado Reglamento, realizando una Verificación Primitiva de Unica Unidad, en los términos del Anexo II de la Resolución Nº 48 de fecha 18 de setiembre de 2003, de la ex SECRETARIA DE COORDINACION TECNICA del ex MINISTERIO DE ECONOMIA Y PRODUCCION, cuyo vencimiento operará el día 1º de enero de 2018.
Art. 5º — A efectos de implementar lo dispuesto en el Artículo 4º de la presente resolución, los instrumentos de medición mencionados en el mismo, deberán obtener la Verificación Primitiva de Unica Unidad acorde con el siguiente cronograma:
a) Los sistemas y componentes instalados con una antelación igual o mayor a los TRES (3) años de la fecha de vigencia de la presente resolución, el día 12 de setiembre de 2014.
b) Los sistemas y componentes instalados con una antelación de entre DOS (2) y TRES (3) años de la vigencia de la presente resolución, el día 12 de setiembre de 2015.
c) Los sistemas y componentes instalados con una antelación menor a los DOS (2) años de la vigencia de la presente resolución, el día 12 de setiembre de 2016.
Art. 6º — Los instrumentos de medición alcanzados por la presente resolución deberán efectuar la verificación periódica establecida en el Artículo 9º de la Ley Nº 19.511 con una periodicidad de UN (1) año. El INSTITUTO NACIONAL DE TECNOLOGIA INDUSTRIAL (INTI), organismo descentralizado en la órbita del MINISTERIO DE INDUSTRIA, podrá actuar concurrentemente con esta Autoridad de Aplicación tanto en las verificaciones periódicas como la vigilancia en uso de dichos instrumentos de medición.
Art. 7º — La tasa cuyo cobro se encuentra a cargo de la SECRETARIA DE COMERCIO INTERIOR del MINISTERIO DE ECONOMIA Y FINANZAS PUBLICAS se fija en PESOS CUATRO MIL QUINIENTOS ($ 4.500.-) para la Aprobación de Modelo y en PESOS MIL QUINIENTOS ($ 1.500.-), por unidad para la Verificación Primitiva.
Art. 8º — Las infracciones a lo dispuesto por la presente resolución serán sancionadas de acuerdo a lo previsto por la Ley Nº 19.511 de Metrología Legal.
Art. 9º — La presente resolución comenzará a regir a partir de la fecha de su publicación en el Boletín Oficial.
Art. 10. — Comuníquese, publíquese, dése a la Dirección Nacional del Registro Oficial y archívese. — Mario G. Moreno.
ANEXO
REGLAMENTO TECNICO Y METROLOGICO PARA LOS SISTEMAS DE MEDICIO DE GAS NATURAL CON MEDIDOR ULTRASONICO
1. Campo de Aplicación.
1.1. Este reglamento será de aplicación a los sistemas de medición de gas natural con medidor ultrasónico que posean indicación de volumen a condiciones de base corregido según el poder calorífico de referencia.
2. Terminología.
2.1. Sistema de medición y sus componentes.
2.1.1. Sistema de medición de gas natural con medidor ultrasónico.
Sistema compuesto por el puente de medición, el computador, los instrumentos de medición asociados y un dispositivo indicador.
A partir de ahora sistema de medición.
2.1.2. Puente de medición.
Componente del sistema de medición que incluye al medidor ultrasónico y a la configuración de tramos de cañerías aguas abajo y aguas arriba de éste que permita acondicionar el perfil de flujo del fluido circulante.
2.1.3. Medidor ultrasónico.
Instrumento destinado a medir continuamente el volumen de gas que pase a través del puente de medición, en las condiciones de la medición.
Su principio de funcionamiento está basado en la medición del tiempo de tránsito de pulsos de alta frecuencia transmitidos y recibidos por pares de transductores ubicados sobre el cuerpo del medidor.
A partir de ahora medidor.
2.1.4. Transductor ultrasónico.
Componente del medidor que transmite y recibe señales ultrasónicas.
2.1.5. Unidad de procesamiento de señal.
Componente del medidor encargado del control y funcionamiento del mismo, y de la transmisión de una señal que posea información sobre la cantidad de gas medido.
A partir de ahora SPU.
2.1.6. Computador
Componente del sistema de medición que recibe la información de salida del medidor y de instrumentos de medición asociados. Su función principal es realizar cálculos aritméticos con el propósito de entregar el resultado de la medición.
2.1.7. Instrumento de medición asociado.
Instrumento destinado a medir un determinado mensurando que representa una condición de funcionamiento o una característica del gas.
2.1.8. Sensor de Temperatura.
Instrumento de medición asociado cuya función es proveer el valor de la temperatura del gas en el punto de medición.
2.1.9. Sensor de Presión.
Instrumento de medición asociado cuya función es proveer el valor de la presión del gas en el punto de medición.
2.1.10. Cromatógrafo.
Instrumento de medición asociado cuya función es proveer los porcentajes molares que caracterizan la composición química del gas en el punto de medición.
2.1.11. Dispositivo indicador.
Parte del sistema de medición de gas natural con medidor ultrasónico que muestra el resultado de una medición.
2.1.12. Dispositivo auxiliar.
Dispositivo destinado a ejecutar una función específica, directamente relacionada con la elaboración, transmisión o presentación del resultado de la medición.
2.1.13. Dispositivo adicional.
Una parte o un dispositivo utilizado para asegurar una correcta medición, o para facilitar las operaciones de medición, o que pueda de algún modo influir en la medición.
2.1.14. Factor de corrección.
Factor numérico por el cual se multiplica un resultado de una medición para compensar un error sistemático estimado.
2.1.15. Dispositivo de corrección del volumen a condiciones de medición.
Dispositivo incorporado o conectado al medidor, que corrige automáticamente el volumen a condiciones de medición, teniendo en cuenta el caudal y las curvas de calibración preestablecidas.
2.1.16. Dispositivo de conversión del volumen.
Dispositivo que convierte automáticamente el volumen a condiciones de medición a volumen a condiciones de base.
2.1.17. Dispositivo de corrección del volumen
Dispositivo que corrige automáticamente el volumen a condiciones de base según el poder calorífico de referencia.
2.1.18. Condiciones de medición.
Son las condiciones del gas en el punto de medición.
2.1.19. Condiciones de base
Condiciones de presión y temperatura especificadas convencionalmente a las cuales se convierte el volumen de gas medido.
2.1.20. Condiciones de funcionamiento nominales.
Condiciones normales, promedio o típicas de uso de un sistema de medición o de un dispositivo provistas por el fabricante, e incluidas en el certificado de aprobación de modelo.
2.1.21. Poder calorífico bruto.
La cantidad de calor que sería liberada por una combustión completa en aire de la cantidad de gas medida, de modo tal que la presión a la cual la reacción se lleve a cabo se mantenga constante, y todos los productos de la combustión retornen a la misma temperatura especificada que los reactivos, estando todos ellos en estado gaseoso a excepción del agua formada en la combustión, la cual es condensada al estado líquido a esta temperatura específica.
A partir de ahora poder calorífico.
- La energía se considera a condiciones de base.
- El poder calorífico deberá poder determinarse para el volumen medido.
- Para los cálculos deberá utilizarse por unidad de volumen.
2.1.22. Poder calorífico de referencia.
Valor de poder calorífico especificado convencionalmente que se utiliza para corregir el volumen a condiciones de base.
2.1.23. Factor de compresibilidad.
Parámetro que indica el desvío del gas ideal.
2.1.24. Transductor.
Dispositivo que convierte una magnitud física en una señal eléctrica ya sea analógica o digital.
2.1.25. Transmisor.
Dispositivo que recibe la señal eléctrica, analógica o digital, de un transductor y la amplifica o acondiciona para poder comunicarse con otros dispositivos electrónicos.
2.2. Características metrológicas.
2.2.1. Indicación principal.
Indicación (mostrada en la pantalla, impresa o memorizada) que esté sometida a controles de metrología legal.
2.2.2. Indicación secundaria.
Indicación que no es considerada indicación principal y no está sujeta a control de metrología legal.
2.2.3. Incertidumbre de medición.
Parámetro asociado con el resultado de una medición que caracteriza la dispersión de valores que pueden atribuirse razonablemente al mensurando.
2.2.4. Valor convencionalmente verdadero.
Valor atribuido a una cantidad particular que es aceptado por convención y tiene una incertidumbre apropiada para un propósito determinado.
2.2.5. Resultado de una medición.
Valor atribuido a un mensurando, obtenido por medición.
2.2.6. Resultado de la medición para un sistema de medición de gas natural con medidor ultrasónico.
Volumen a condiciones de base corregido según el poder calorífico de referencia.
2.2.7. Error absoluto de medición.
Resultado de una medición menos un valor convencionalmente verdadero del mensurando.
2.2.8. Error relativo.
Relación entre el error absoluto de medición y un valor convencionalmente verdadero del mensurando.
2.2.9. Error máximo permitido.
Los valores extremos permitidos por esta reglamentación para un error.
2.2.10. Trazabilidad de una medición.
Propiedad del resultado de una medición o del valor de un patrón que puede relacionarse con referencias establecidas, en general patrones nacionales o internacionales, a través de una cadena ininterrumpida de comparaciones, todas teniendo una incertidumbre establecida.
2.2.11. Caudal máximo.
Valor extremo superior de caudal debajo del cual el error se encuentran dentro del error máximo permitido.
2.2.12. Caudal mínimo.
Valor extremo inferior de caudal por arriba del cual el error se encuentran dentro del error máximo permitido.
2.2.13. Cantidad mínima medible.
La cantidad más pequeña para la cual un mensurando es metrológicamente aceptable para el sistema de medición.
2.2.14. Desvío mínimo especificado para una cantidad.
Valor absoluto del error máximo permitido para una cantidad mínima medible de un sistema de medición.
2.2.15. Error de repetibilidad.
Diferencia entre el mayor y el menor resultado de distintas mediciones de la misma cantidad, llevada a cabo bajo las mismas condiciones.
2.2.16. Error intrínseco.
Error determinado a las condiciones de referencia.
2.2.17. Error intrínseco inicial.
Error intrínseco determinado antes de todos los ensayos de funcionamiento.
2.2.18. Error de indicación.
Error determinado durante una calibración, comparando la indicación con el valor representado por un patrón.
2.2.19. Deriva.
Cambio lento de una característica metrológica de un instrumento de medición.
2.2.20. Error medio ponderado.
Combinación ponderada de errores de un medidor. El error medio ponderado se utiliza para ajustar la curva de error tan cercana a cero como sea posible. Se calcula de la siguiente forma:
donde:
- n es mayor o igual a 6 y es el número de mediciones realizadas a diferentes caudales Qi
- ki son los factores de ponderación
- Ei son los errores al caudal Qi
Para cada caudal, ki = Qi/Qmax salvo para Qi = Qmax para el cual el factor de ponderación es igual a 0,4.
2.2.21. Durabilidad.
Capacidad de una parte electrónica del sistema de medición de mantener sus características de funcionamiento por un período de uso.
2.3. Ensayos y condiciones de los ensayos.
2.3.1. Condiciones de funcionamiento.
Condiciones de uso que establecen el rango de valores admitidos para las magnitudes de influencia, dentro de los cuales los errores se encuentran dentro de los errores máximos permitidos.
2.3.2. Condiciones de referencia.
Conjunto de valores de factores de influencia fijados para asegurar la comparación válida de los resultados de la medición.
2.3.3. Magnitud de influencia.
Magnitud que no es objeto de la medición pero que tiene un efecto sobre el resultado de la medición. Influye en el valor medido o en el valor de la indicación del sistema de medición.
2.3.4. Factor de influencia.
Magnitud de influencia cuyo valor está dentro de las condiciones de funcionamiento.
2.3.5. Perturbación.
Magnitud de influencia cuyo valor está fuera de las condiciones de funcionamiento.
Una magnitud de influencia es una perturbación si para esa magnitud de influencia las condiciones de funcionamiento no están especificadas.
2.3.6. Ensayo de funcionamiento.
Ensayo cuyo objetivo es verificar si el sistema de medición bajo ensayo es capaz de cumplir con sus funciones previstas.
2.4. Equipamiento electrónico o eléctrico.
2.4.1. Dispositivo electrónico.
Dispositivo que emplea subconjuntos electrónicos y realiza una o varias función/es específica/s. Los dispositivos electrónicos usualmente se fabrican como unidades separadas y son capaces de ser ensayados independientemente. Los dispositivos electrónicos pueden ser una o varias partes de un sistema de medición.
2.4.2. Subconjunto electrónico.
Una parte de un dispositivo electrónico, que emplea componentes electrónicos y tiene una o varias función/es reconocible/s por sí misma/s.
2.4.3. Componente electrónico.
La menor entidad física, la cual utiliza electrones o lagunas de conducción en semiconductores, gases, o en el vacío.
2.4.4. Hardware.
Término que hace referencia a cada uno de los elementos físicos de un sistema computacional.
2.4.5. Software.
Conjunto de instrucciones detalladas que controlan la operación de un sistema computacional.
2.4.6. Firmware.
Conjunto de instrucciones detalladas que controlan la operación de un sistema computacional que se almacena y ejecuta desde una memoria que en tiempo de ejecución es de sólo lectura. Se considera parte del hardware por estar integrado en un componente electrónico pero también es software ya que proporciona la lógica y está programado en algún lenguaje de programación.
3. Componentes de un Sistema de Medición.
3.1. Un sistema de medición incluye por lo menos un puente de medición, un computador, un dispositivo indicador e instrumentación asociada.
3.2. Un puente de medición incluye un medidor y la configuración de tramos de cañerías aguas abajo y aguas arriba del medidor y si corresponde un acondicionador de flujo.
3.3. Un medidor está formado por un cuerpo, dos o más pares de transductores y la unidad de procesamiento de señal.
3.4. Opcionalmente, el computador puede ser una parte integral de la SPU del medidor.
3.5. La instrumentación asociada incluye por lo menos un sensor de temperatura, un sensor de presión y un cromatógrafo.
4. Unidades de Medida y Abreviaturas.
4.1. Unidades de medida.
4.1.1. En esta reglamentación técnica se utilizan las unidades de medida establecidas en el Sistema Métrico Legal Argentino.
4.1.2. El volumen deberá ser indicado en metros cúbicos (m3).
4.2. Abreviaturas.
4.2.1. Caudal.
- Caudal mínimo QMIN
- Caudal máximo QMAX
4.2.2. Temperatura ambiente.
- Valor mínimo del rango TA min
- Valor máximo del rango TA max
4.2.3. Temperatura del gas.
- Valor mínimo del rango TGmin
- Valor máximo del rango TGmax
4.2.4. Presión del gas.
- Valor mínimo del rango Pmin
- Valor máximo del rango Pmax
4.2.5. Suministro de electricidad
- Valor nominal de tensión Unom
- Valor nominal de frecuencia Fnom
4.2.6. Error medio ponderado EMPo.
4.2.7. Error máximo permitido EMP.
4.2.8. Cantidad mínima medible para una cantidad CMM.
4.2.9. Cantidad mínima medible para el volumen CMMv.
4.2.10. Desvío mínimo especificado para una cantidad Emin.
5. Requisitos Metrológicos.
5.1. Errores máximos permitidos para el sistema de medición.
5.1.1. El error máximo permitido para un sistema de medición es el siguiente:
| Volumen a condiciones de base corregido según el poder calorífico de referencia | ± 1,0% |
Este valor se aplica para la aprobación de modelo y la verificación primitiva
5.1.2. El volumen a condiciones de base corregido según el poder calorífico de referencia se obtendrá multiplicando el volumen a condiciones de base por la constante de corrección según el poder calorífico.
5.1.3. Sin embargo el error máximo permitido, luego de ser calculado como un valor absoluto, deberá ser igual o mayor que el desvío mínimo (Emin) de la cantidad especificada, el cual está dado por la siguiente fórmula:
Emin = 2 x CMM x EMP
donde:
CMM es la cantidad mínima medible para el mensurando relevante.
EMP es el valor del error máximo permitido.
5.2. Errores máximos permitidos para módulos del sistema de medición.
5.2.1. Consideraciones generales.
5.2.1.1. Los errores máximos permitidos para módulos del sistema de medición (partes o funciones según se declaran a continuación) son los siguientes:
| Volumen a condiciones de medición | ± 0,70% |
| Conversión del volumen a condiciones de base | ± 0,50% |
| Corrección según el poder calorífico de referencia | ± 0,60% |
Estos valores se aplican para la aprobación de modelo y la verificación primitiva
5.2.1.2. El volumen a condiciones de base se obtendrá multiplicando el volumen a condiciones de medición por la constante de conversión del volumen a condiciones de base.
5.2.1.3. Sin embargo para el volumen a condiciones de medición el error máximo permitido, luego de ser calculado como un valor absoluto, deberá ser igual o mayor que el desvío mínimo (Emin) de la cantidad especificada, el cual está dado por la siguiente fórmula:
Emin = 2 x CMM x EMP
donde:
CMM es la cantidad mínima medible para el mensurando relevante.
EMP es el valor del error máximo permitido.
5.2.2. Volumen a condiciones de medición.
5.2.2.1. El volumen a condiciones de medición es el volumen que circuló a través del medidor a las condiciones de medición.
5.2.2.2. El EMP en la medición del volumen a condiciones de medición es exigible para la aprobación de modelo y la verificación primitiva donde se corrija al medidor, se ajuste al medidor a condiciones de funcionamiento nominales y/o se tomen en cuenta los efectos de instalación.
5.2.3. Conversión del volumen a condiciones de base.
5.2.3.1. Los errores máximos permitidos para los instrumentos de medición asociados son los siguientes:
| Temperatura | ± 0,5 ºC |
| Presión | + 0,2% |
| Factor de compresibilidad | ± 0,3% |
Estos valores aplican para la aprobación de modelo y la verificación primitiva de cada uno de ellos.
5.2.3.2. La constante de conversión del volumen a condiciones de base se obtendrá según la siguiente fórmula:
Siendo:
PM: Presión del gas circulante.
PB: Presión de base.
TM: Temperatura del gas circulante.
TB: Temperatura de base.
ZB: Factor de compresibilidad a condiciones de base ( PB, TB).
ZM: Factor de compresibilidad a condiciones de medición ( PM, TM).
Nota: Para la realización de los cálculos deberá considerarse a la presión y a la temperatura como valores absolutos.
5.2.3.3. La presión del gas circulante es el valor de presión medida en el medidor a condiciones de medición.
5.2.3.4. La temperatura de gas circulante es el valor de temperatura medida en el puente de medición aguas abajo del medidor.
5.2.3.5. La presión de base es un valor convencional de presión. Para el propósito de este reglamento se considerará igual a 101,3 kPa.
5.2.3.6. La temperatura de base es un valor convencional de temperatura. Para el propósito de este reglamento se considerará igual a 15 ºC.
5.2.3.7. El factor de compresibilidad deberá determinarse según ISO 12213 (2006) o AGA 8 (1992).
5.2.3.8. La conversión del volumen a condiciones de base se deberá verificar de alguna de las siguientes formas:
5.2.3.8.1. Verificando por un lado los instrumentos de medición asociados y por otro los cálculos correspondientes:
- En el caso en que los instrumentos de medición asociados entreguen señales digitales deberá utilizarse la indicación disponible en
ellos mismos.
- En el caso en que los instrumentos de medición asociados no entreguen señales digitales deberá utilizarse la indicación disponible en el computador.
Los resultados deberán verificarse según los EMP indicados en 5.2.3.1. y los cálculos deberán verificarse según los EMP especificados en 5.3.
5.2.3.8.2. Verificando los instrumentos de medición asociados y el computador conjuntamente. Deberá verificarse que el valor final de la conversión cumpla con el EMP para la conversión del volumen a condiciones de base.
5.2.3.9. Cuando se realice la aprobación de modelo se deberá especificar la clase de comunicación que utilice cada instrumento de medición asociado, con el propósito de asegurar la compatibilidad con el computador.
5.2.4. Corrección según el poder calorífico de referencia.
5.2.4.1. La constante de corrección según el poder calorífico de referencia se obtendrá según la siguiente fórmula:
Siendo:
HM: Poder calorífico del gas circulante.
HR: Poder calorífico de referencia.
5.2.4.2. El poder calorífico del gas circulante es el valor del poder calorífico medido en el puente de medición a condiciones de medición.
5.2.4.3. El poder calorífico de referencia es un valor convencional. Para el propósito de este reglamento deberá considerarse como 38937,24 kJoule/m3 (9300 kcal/m3).
5.2.4.4. El poder calorífico deberá determinarse según ISO 6976 (1995) o AGA 5 (1996).
5.2.4.5. La corrección según el poder calorífico de referencia se deberá verificar utilizando una indicación (disponible en el computador) de los porcentajes molares medidos por el cromatógrafo y de la constante de corrección según el poder calorífico de referencia.
5.2.4.6. Los cálculos deberán verificarse según los EMP especificados en 5.3.
5.2.4.7. Cuando se realice la aprobación de modelo se deberá especificar la clase de comunicación que utilice el cromatógrafo, con el propósito de asegurar la compatibilidad con el computador.
5.2.4.8. El error de repetibilidad para la obtención de la constante de corrección según el poder calorífico de referencia deberá ser menor o igual a un quinto de la magnitud del EMP.
5.2.4.9. Tiempo de respuesta para obtener la constante de corrección según el poder calorífico de referencia.
Tiempo que se tarde para tener el valor de poder calorífico del gas circulante disponible. Deberá considerarse en la incertidumbre correspondiente.
5.2.4.10. El cromatógrafo deberá ser capaz de medir como mínimo los siguientes componentes:
- Nitrógeno
- Dióxido de carbono
- Metano
- Etano
- Propano
- Iso-butano
- n-butano
- n-pentano
- Iso-pentano
- neo-pentano
- Hexanos y superiores
Si el fabricante desea incluir más componentes, deberá utilizarse un gas de calibración acorde. El rango de medición deberá ser especificado por el fabricante y lo corroborará INTI. No deberá comenzar en cero y deberá ser distinto de cero.
5.3. Errores máximos permitidos para el computador.
El EMP aplicable al computador es ± 0,05% del valor real calculado.
Este requerimiento es aplicable a cualquier cálculo, no sólo a cálculos de conversión o corrección.
5.4. Otras consideraciones metrológicas.
5.4.1. Para cualquier cantidad igual o mayor que el volumen correspondiente a cinco minutos a QMAX el error de repetibilidad del medidor deberá ser menor o igual a un quinto del valor EMP para el volumen a condiciones de medición especificado en 5.2.1.1 (Otras influencias).
5.4.2. El EMP para sistemas de medición (y sus componentes) en servicio, en verificación periódica y en vigilancia de uso no podrán exceder el valor permitido en la verificación primitiva.
5.4.3. Otras influencias
5.4.3.1. El fabricante deberá declarar otras influencias que haya detectado. Esta declaración será verificada en la aprobación de modelo teniendo en cuenta las reglas del buen arte. Para este propósito se considerará que una influencia menor que un quinto del EMP no será significativa.
5.4.3.2. Cualquier influencia significativa (teniendo en cuenta las reglas del buen arte) deberá estar especificada en el certificado de aprobación de modelo, acompañada con la información relevante.
5.4.3.3. Teniendo en cuenta los dos ítems anteriores, en la aprobación de modelo, verificación primitiva o posteriores verificaciones la autoridad de aplicación podrá:
- rechazar al dispositivo propuesto si éste no se ajusta a la situación real del sistema de medición,
- o imponer que se consideren las influencias significativas en el cálculo de la incertidumbre,
- ensayar otras posibles influencias si considera que las reglas del buen arte no se respetaron (sólo en la aprobación de modelo).
6. Requisitos Técnicos.
6.1. Sistema de medición.
6.1.1. El sistema de medición deberá operar dentro de los rangos del gas natural cuya composición se encuentra especificada en el informe Nº 8 del A.G.A. versión 1992 que incluya densidades relativas entre 0,554 y 0,87.
6.1.2. El sistema de medición deberá operar con una presión tal que asegure el acoplamiento acústico de los pulsos sonoros hacia y desde el gas. Por esto, el fabricante del medidor deberá especificar la presión de funcionamiento mínima esperada como también la máxima, en la documentación que acompañe a la solicitud de aprobación de modelo.
6.1.3. El sistema de medición deberá operar dentro de un rango de temperatura de circulación de gas de -25 a 55 ºC.
6.1.4. El sistema de medición deberá operar dentro de un rango de temperatura ambiente de -25 a 55 ºC. Este rango es aplicable al medidor con o sin circulación de gas, a la instrumentación asociada y al computador.
6.1.5. El sistema de medición deberá ser capaz de medir entre los límites de caudal mínimo y máximo en condiciones de funcionamiento cumpliendo con los errores máximos permitidos.
6.1.6. Cualquier dispositivo adicional conectado al sistema de medición deberá diseñarse de modo tal que no interfiera con la exactitud de la medición.
6.1.7. El sistema de medición deberá poseer una memoria para almacenar el resultado de la medición hasta su uso o para guardar trazabilidad a transacciones comerciales, suministrando prueba en caso de disputa. El medio donde se almacenan los datos deberá tener suficiente estabilidad para asegurar que los datos no se alteren bajo condiciones normales de uso. El almacenamiento de los datos deberá ser tal que resulte imposible modificarlo sin que al menos un sello de seguridad sea violado u ocurra una acción similar.
6.1.8. Deberá estar diseñando de modo tal que su comunicación sea segura.
6.1.9. Todos los parámetros que no se midan pero sean necesarios para la conversión o corrección del volumen deberán estar guardados en la SPU o en el computador (según corresponda) antes de efectuar una medición.
6.2. Puente de medición.
6.2.1. Deberá ser diseñado y construido de un material que permita cumplir con las condiciones de funcionamiento.
6.2.2. Para medición de flujo unidireccional, el puente de medición deberá tener un alojamiento para el sensor de temperatura instalado aguas abajo del medidor. La distancia desde la cara de la brida aguas abajo hasta el lugar de medición de temperatura deberá estar ubicado entre 2D y 5D. Para instalaciones bidireccionales, el alojamiento para el sensor de temperatura deberá estar localizado entre 3D y 5D de ambas bridas del medidor. “D” está definido como el diámetro nominal del medidor. La longitud de inserción del sensor de temperatura dentro de la cañería deberá estar comprendida entre 1/10 y 1/3 del valor del diámetro nominal.
6.2.3. La diferencia entre el diámetro interno de bridas y cañerías aguas arriba y aguas abajo adyacentes al medidor, y el desvío de coaxialidad con éste no deberán ser superiores a ± 1% del diámetro interno del medidor. El puente de medición que haya sido calibrado en su conjunto queda exceptuado de esta consideración.
Las juntas entre el tramo de cañería aguas arriba y el medidor no deberán sobresalir internamente en más del 1% del diámetro interno.
6.3. Medidor.
6.3.1. El medidor deberá estar aislado de perturbaciones.
6.3.2. La superficie interna del medidor deberá tener una rugosidad Ra de 0,000635 mm o menor.
6.3.3. Deberá ser diseñado y construido de un material que permita cumplir con las condiciones de funcionamiento.
6.3.4. El alojamiento para la instalación de los transductores deberá ser tal que reduzca la acumulación de impurezas, sólidas o líquidas, en el mismo, que puedan influir en la exactitud de la medición.
6.3.5. Deberá poseer al menos un orificio para medir la presión estática utilizada en la conversión del volumen. Su diámetro nominal deberá ser mayor o igual a 3 mm y menor o igual a 10 mm. Deberá ser cilíndrico sobre una longitud de al menos 2,5 veces el diámetro del orificio, medido a partir de la pared interior. Los bordes de esta perforación deberán estar libres de rebabas. Para puentes de medición con un espesor de pared menor a 8 mm, el orificio deberá ser de un diámetro nominal de 3 mm.
6.4. Unidad de procesamiento de la señal.
6.4.1. No se permitirá la corrección de derivas pre-estimadas, por ejemplo en relación al tiempo o al volumen.
6.4.2. Podrá utilizarse una unidad remota que suministre la energía y la interface del operador. Los dispositivos electrónicos del medidor, deberán guardarse en uno o más gabinetes montados sobre o próximos al medidor y deberán estar asociados a una SPU. Las plaquetas electrónicas deberán estar identificadas de manera unívoca por el fabricante.
6.4.3. La SPU deberá ser capaz de operar en las condiciones de funcionamiento del sistema de medición.
6.4.4. El sistema de medición deberá contener una función que asegure el reinicio automático de la SPU en caso que ocurra una falla en el programa o interrupción en el suministro de energía eléctrica.
6.4.5. La SPU deberá estar equipada con al menos las siguientes salidas:
- Interface serial.
- Frecuencia, representando el caudal a condiciones de medición.
6.4.6. Se podrá disponer de una función de corte por caudal bajo. Está función llevará a cero la indicación de caudal cuando éste se encuentre por debajo de un valor mínimo establecido, para impedir que se integren aparentes consumos no existentes. Este valor de corte no podrá ser superior al 0.2% del caudal de funcionamiento nominal.
6.5. Transductor ultrasónico.
6.5.1. Deberá especificarse como mínimo lo siguiente para cada transductor ultrasónico:
- Dimensiones críticas.
- Rango de presión.
- Rango de temperatura.
- Calidad del gas.
6.5.2. Deberán documentarse los ensayos efectuados en fábrica sobre los transductores. También deberá tenerse un número de serie y especificaciones según 6.5.1. Si la SPU requiere parámetros específicos de caracterización del transductor, cada transductor o par de ellos deberá estar provisto de la documentación que contenga el dato de ensayo de calibración específico, método utilizado y parámetros de caracterización.
6.6. Computador.
6.6.1. El sistema de medición deberá tener un computador que permita convertir el volumen a condiciones de medición a volumen a condiciones de base para luego corregir ese valor según el poder calorífico de referencia y obtener el resultado de la medición acumulando todos estos valores. Además deberá proveer la información necesaria de los parámetros y datos medidos para eventos de auditoría.
6.6.2. La información detallada de 6.6.2.1. a 6.6.2.6. deberá estar disponible en el lugar del puente de medición.
6.6.2.1. Los datos registrados desde el último período de recolección completo deberán incluir como mínimo:
- Promedio horario de la temperatura del gas circulante.
- Promedio horario de la presión del gas circulante.
- Promedio horario del factor de compresibilidad a condiciones de base.
- Promedio horario del factor de compresibilidad a condiciones de medición.
- Promedio horario del poder calorífico del gas circulante.
- Total horario de volumen a condiciones de medición.
- Total horario de volumen a condiciones de base.
- Total horario de volumen a condiciones de base corregido según el poder calorífico de referencia.
- Total diario de volumen a condiciones de medición.
- Total diario de volumen a condiciones de base.
- Total diario de volumen a condiciones de base corregido según el poder calorífico de referencia.
6.6.2.2. Las magnitudes de influencia. Se deberá incluir como mínimo:
- Variables de ajuste o corrección de los valores de presión y temperatura.
- Constante del medidor.
6.6.2.3. Los valores instantáneos de presión, temperatura, caudal y cualquier alarma o condición de error que ocurra. También se deberán incluir los valores de la composición del gas.
6.6.2.4. Una copia en algún medio de almacenamiento electrónico que incluya como mínimo:
- Valor de calibración anterior y posterior a un cambio para la instrumentación asociada y para la constante del medidor.
- Valor anterior y posterior a un cambio de cualquier parámetro de configuración de la medición de una magnitud de influencia.
- Un resumen completo de todas las alarmas o errores que afecten la medición, incluyendo una descripción de cada uno.
- Un resumen diario indicando las horas o porcentajes de tiempo con (o sin) circulación de gas.
6.6.2.5. Una unívoca identificación del sistema de medición.
6.6.2.6. Todos los datos con sus consecuentes ediciones, deberán estar disponibles para su recolección.
6.6.2.7. Toda la información detallada en 6.6.2. deberá tener fecha y hora y estar ordenada cronológicamente, si corresponde.
6.6.3. Registros.
El computador deberá ser capaz de compilar y almacenar suficiente información para realizar verificaciones diarias y horarias del resultado de la medición.
Se deberán registrar los datos históricos y proporcionar un soporte para los resultados de las mediciones actuales y anteriores informadas y los resultados de las mediciones declarados para un determinado ciclo de medición. Estos datos deberán permanecer inalterados.
El período mínimo de retención para los registros deberá ser de dos años.
6.6.3.1. Registro diario del resultado de la medición.
El registro diario de la cantidad medida por el sistema de medición es el promedio o sumatoria de los datos recogidos y calculados durante 24 horas consecutivas. Este deberá finalizar y dar comienzo a otro al final de cada período o cada vez que se cambie una constante de las magnitudes que intervienen en la medición. Deberá conservarse un registro diario del resultado de la medición para cada período más un resultado de la medición adicional cada vez que se cambie una o más constantes.
El registro diario de la cantidad medida por el sistema de medición deberá incluir como mínimo el día del período de medición, la hora, el volumen a condiciones de medición, el resultado de la medición, la temperatura y la presión del gas circulante.
6.6.3.2. Registro horario del resultado de la medición.
El registro horario es el promedio o sumatoria de los datos recogidos y calculados durante un máximo de 60 minutos consecutivos. Este finalizará y dará comienzo a otro al final de cada período o cada vez que se cambie una constante de las magnitudes que intervienen en la medición.
Habrá como mínimo 24 registros horarios del resultado de la medición para cada período diario. Estos registros deberán reflejar los efectos producidos cada vez que se cambie una o más constantes.
El registro horario de la cantidad medida por el sistema de medición deberá incluir como mínimo el día del período de medición, la hora, el volumen a condiciones de medición, el resultado de la medición, la temperatura y la presión del gas circulante.
6.6.3.3. Identificación de Algoritmos.
Se deberá proveer una identificación del algoritmo utilizado para realizar los cálculos en el computador.
6.6.3.4. Archivo de configuración.
El archivo de configuración deberá contener e identificar todos los parámetros que intervengan en la medición.
Este archivo deberá contener como mínimo lo siguiente:
- Identificación del computador
- Fecha y hora
- Hora de inicio del período diario
- Presión de base
- Temperatura de base
- Poder calorífico de referencia.
- Constante del medidor
- Condiciones de funcionamiento de presión y temperatura.
6.6.3.5. Archivo de eventos.
El objeto de este archivo es evidenciar y grabar los cambios en los parámetros contenidos en el archivo de configuración. Deberá contener como mínimo lo detallado en 6.6.3.4.
Cada vez que se modifique un parámetro que pueda afectar el resultado de la medición, el valor anterior y actual de la misma se deberá archivar junto con la fecha y hora del evento.
Los eventos se deberán guardar ordenados cronológicamente.
6.6.4. Seguridad.
6.6.4.1. Acceso restringido.
El computador deberá diseñarse para evitar el ingreso no autorizado al mismo, que permita modificar variables que puedan afectar el resultado de la medición. Esta protección deberá tener un único código de seguridad, el mismo deberá poseer como mínimo cuatro caracteres alfanuméricos.
Cada vez que se requiera cambiar alguna variable que pueda afectar el resultado de la medición deberá utilizarse este código de seguridad.
El sistema podrá tener uno o más niveles de seguridad.
Se podrán utilizar otro tipo de restricciones para negar el acceso al sistema, como ser mecánicas o eléctricas.
6.6.4.2. Protección de los algoritmos.
Los algoritmos utilizados para realizar los cálculos que afecten al resultado de la medición, deberán estar protegidos contra cualquier tipo de alteración en cualquier nivel de programación.
6.6.4.3. Datos originales.
No deberá haber ningún cambio en los datos originales. Estos deben permanecer inalterados en el tiempo.
6.6.4.4. Protección de la memoria.
6.6.4.4.1. El computador deberá tener una memoria no volátil o una fuente de alimentación de respaldo, y ser capaz de almacenar todos los datos registrados por un período no menor a 35 días.
6.6.4.4.2. Cuando se corte la fuente de alimentación principal, deberán registrarse la fecha, hora del corte y restitución de la misma en el archivo de eventos.
6.7. Instrumentos de medición asociados
6.7.1. Los instrumentos empleados para medir temperatura, presión y composición molar del gas deberán estar asociados a un transmisor que envíe señales a un computador para que éste utilice, indique y almacene las cantidades medidas.
6.7.2. Los resultados de las mediciones deberán ser accesibles en todos los casos.
6.7.3. El sensor de temperatura deberá tener una exactitud tal que no supere los errores máximos permitidos indicados en 5.2.3.1.
6.7.4. El sensor de presión deberá tener una exactitud tal que no supere los errores máximos permitidos indicados en 5.2.3.1.
6.7.5. El valor del poder calorífico del gas natural que pasa por el medidor será determinado utilizando un dispositivo de muestreo directamente conectado a la línea de transporte de gas en el lugar del puente de medición. Este muestreo deberá ser representativo del tipo de gas que circula por el sistema de medición. Este sistema de muestreo no afectará a las otras partes del sistema de medición. La determinación del valor del poder calorífico se efectuará por cálculo basado en la composición.
6.8. Dispositivos electrónicos.
6.8.1. Los dispositivos electrónicos deberán ser capaces de operar bajo las condiciones de funcionamiento establecidas en este reglamento sin que excedan los errores máximos permitidos indicados en el mismo.
6.8.2. En caso de corte y restitución del suministro de energía externa, el sistema de medición deberá guardar los últimos parámetros medidos y las alarmas, con su fecha y hora.
6.8.3. En caso de falla para sistemas de medición que utilicen dispositivos de suministro de energía por baterías, el sistema deberá retener la siguiente información:
- Volumen a condiciones de medición totalizado al momento del corte de energía.
- Volumen a condiciones de base totalizado al momento del corte de energía.
- Volumen a condiciones de base corregido según el poder calorífico de referencia totalizado al momento del corte de energía.
- Poder calorífico al momento del corte de energía.
- Factores de compresibilidad al momento del corte de energía.
- Indicación de alarmas.
- Carga de eventos.
- Todos los parámetros que no son medidos pero son necesarios para los cálculos y correcciones.
6.8.4. Detección de errores. Siempre que un dispositivo electrónico capaz de almacenar datos transfiera información a otro que también lo sea, deberá utilizarse un mecanismo de detección de errores, con el objetivo de identificar todo dato incorrecto para que éste no sea utilizado.
6.8.5. Los dispositivos electrónicos deberán cumplir los ensayos previstos en el punto 8.1 del presente reglamento.
6.9. Programas.
6.9.1. Firmware.
6.9.1.1. El o los código/s responsable/s del control y operación del medidor deberá/n almacenarse en una memoria no volátil.
6.9.1.2. Todas las constantes de cálculo y los parámetros utilizados en el mismo también deberán almacenarse en memoria no volátil.
6.9.1.3. Deberá ser posible verificar la totalidad de las constantes y parámetros mientras el medidor se encuentra en servicio y midiendo.
6.9.1.4. El usuario deberá mantener un registro de todas las versiones y revisiones del firmware, incluyendo Nº de serie y fecha de la misma, modelo del medidor, versiones y revisiones del circuito electrónico y una descripción detallada de los cambios sobre el firmware.
6.9.1.5. El número de versión y revisión del firmware, fecha de la misma y el número de serie y/o método de comprobación utilizado deberá estar disponible para inspección visual sobre el circuito integrado que contenga al firmware o poder mostrarse por un medio adecuado en el medidor o un dispositivo auxiliar.
6.9.1.6. Se podrá actualizar el firmware con el fin de mejorar el desempeño del sistema de medición. Previo a esto se deberá notificar de esta acción al INTI quien evaluará el caso y determinará o no la necesidad de efectuar ensayos para verificar el cumplimiento de lo establecido en la aprobación de modelo.
6.9.2. Configuración y mantenimiento del software para la SPU.
La SPU del medidor deberá proveer una forma de visualizar el funcionamiento del mismo. Como mínimo el software deberá indicar y grabar las siguientes mediciones:
- Caudal medido
- Velocidad media de desplazamiento del gas.
- Velocidad del sonido promedio
- Velocidad del sonido a lo largo de cada trayectoria acústica
- Nivel de ganancia de la señal ultrasónica en cada transductor ultrasónico
6.9.3. Inspección y verificación de la SPU.
6.9.3.1. Los parámetros de configuración utilizados por la SPU se deberán poder guardar y visualizar.
6.9.3.2. Se deberá proveer un sistema de precintado mecánico o electrónico para evitar alteraciones de aquellos parámetros que afecten al desempeño del sistema de medición.
6.9.3.3. Todas las intervenciones efectuadas entre dos verificaciones deberán almacenarse en un archivo y estar disponibles. El archivo deberá incluir la fecha e identificación de la persona autorizada para efectuar la intervención. El registro de la intervención deberá conservar la información por un período no menor a dos años. Cuando el medio de almacenamiento esté lleno, se deberá borrar la información memorizada de modo tal que la información se borre en el mismo orden en que fue grabada, borrando en primer lugar los datos que primero hayan ingresado.
6.9.3.4. Deberá ser posible verificar que la totalidad de los algoritmos, constantes y parámetros de configuración que se utilicen estén produciendo igual o mejor exactitud del medidor que cuando se lo verificó originalmente.
6.9.3.5. Deberá ser posible verificar, por medio de registros, condiciones de funcionamiento fuera de las especificadas. Estas deberán ser, como mínimo:
- Cuando el caudal indicado esté fuera de los valores extremos establecidos en la aprobación de modelo del medidor.
- Cuando uno o varios de los parámetros establecidos se encuentren fuera de su rango.
- Cuando uno o más de los pares de transductores no estén funcionando.
6.9.4. Diagnósticos de medición.
Se deberá poder consultar y obtener información de los siguientes diagnósticos:
- Niveles de ganancia de cada una de las trayectorias.
- Tiempo de tránsito de cada una de las trayectorias.
- Velocidad de flujo axial promedio a través del medidor.
- Velocidad de flujo de cada trayectoria acústica.
- Velocidad del sonido a lo largo de cada trayectoria acústica.
- Velocidad promedio del sonido.
- Intervalos de muestreo de velocidad.
- Intervalo de tiempo promedio.
- Porcentaje de pulsos aceptados por cada trayectoria acústica.
- Indicadores de estado y/o calidad de la medición.
- Alarmas o indicadores de fallas.
6.10. Instalación.
6.10.1. El puente de medición deberá respetar la configuración y características dimensionales utilizadas en la calibración para la verificación primitiva.
6.10.2. Instalación de toma de presión.
La instalación de toma de presión empieza en el orifico sobre el puente de medición para la toma de presión y finaliza en el transductor de presión.
Todas las pulsaciones o perturbaciones en la presión que afecten al resultado de la medición, deberán eliminarse. El largo de la instalación de toma de presión deberá ser lo mínimo posible. Los diámetros internos de la instalación de toma de presión deberán ser uniformes. Los materiales utilizados deberán ser compatibles con el fluido a medir. La instalación de toma de presión deberá tener una pendiente descendente hacia el medidor con una inclinación mínima de 25 mm cada 300 mm. La instalación de toma de presión deberá diseñarse de modo tal que evite cualquier vibración, flecha o curvatura que pueda afectar la medición.
6.11. Reemplazo de componentes.
Se podrán reemplazar o reubicar transductores (siempre de a pares), cables, dispositivos o subconjuntos electrónicos y software del modelo aprobado. Al efectuar el reemplazo o reubicación de cualquier componente se deberá dar aviso al INTI quien procederá a adelantar la ejecución de la siguiente verificación periódica dentro de los 6 (seis) meses posteriores al recambio. En esa oportunidad, el INTI verificará que el comportamiento de los componentes reemplazados se encuentre dentro de los parámetros establecidos en la verificación primitiva.
6.12. Identificación y precintado.
Se deberá proveer un sistema de precintado mecánico o electrónico que prevenga de alteraciones de los parámetros que afecten al desempeño del sistema de medición.
Las identificaciones deberán permanecer inalterables a lo largo de la vida útil del elemento que identifica.
6.12.1. Identificaciones en el medidor:
Deberá poseer una o más placas que contengan como mínimo la siguiente información:
- Fabricante.
- Marca y modelo
- Código de aprobación de modelo.
- Número de serie.
- Mes y año de fabricación.
- Diámetro nominal del medidor
- Diámetro interno del medidor
- Temperatura máxima y mínima de funcionamiento
- Presiones y temperaturas de funcionamiento máximas y mínimas.
- Rango de caudal.
- Peso del medidor.
- Dirección de circulación del flujo
- Campo para marcas de verificación.
6.12.2. Identificaciones en la instrumentación asociada.
Cada instrumento deberá poseer una o más placas que contengan como mínimo la siguiente información:
- Fabricante.
- Marca y modelo.
- Código de aprobación de modelo.
- Número de serie.
- Rango de funcionamiento.
- Campo para marca de verificación.
6.12.3. Otras identificaciones.
Los subconjuntos electrónicos deberán estar identificados, de manera unívoca.
6.12.4. Cualquier dispositivo adicional que pueda influir en la exactitud de la medición deberá precintarse.
7. Control Metrológico.
7.1. Consideraciones generales. Un sistema de medición será siempre examinado en el sitio de uso para verificar el cumplimiento de la totalidad de los requisitos contemplados en este reglamento que le correspondan.
El INTI definirá qué ensayos deberán ser efectuados en laboratorio cuando éstos no puedan ser ejecutados en el lugar de uso.
Cuando se efectúe un ensayo, la incertidumbre expandida U (para k = 2) para la determinación del error sobre la indicación de volumen, deberá ser menor que 1/3 del error máximo permitido aplicable a la aprobación de modelo, a verificación primitiva y verificación periódica. Sin embargo no necesariamente deberá ser menor que 0,3%.
La determinación de la incertidumbre se efectuará según los lineamientos de la “Guía para la expresión de las incertidumbres de medición” 2000 (segunda edición), traducción INTI-Cefis del documento “Guide to Expression of Uncertainty in Measurements” (BIPM, IEC; IFCC, ISO, IUPAC, IUPAP, OIML, 1993).
7.2. Aprobación de modelo.
7.2.1. Generalidades.
7.2.1.1. Todo sistema de medición de gas natural comprendido en el presente reglamento deberá cumplir con los requerimientos de documentación y ensayos metrológicos establecidos en este apartado y deberá acreditarlo mediante su correspondiente Certificado de Aprobación de Modelo.
7.2.1.2. En tanto se comercialicen por separado, deberán igualmente ser sometidos a aprobación de modelo los siguientes elementos constitutivos del sistema:
- Medidor.
- Computador.
- Instrumentos de medición asociados.
7.2.1.3. El solicitante de los ensayos mencionados deberá suministrar al INTI un instrumento representativo del modelo cuya aprobación se solicita.
7.2.1.4. En el caso de los componentes del sistema de medición, el INTI podrá solicitar otros ejemplares del modelo para apreciar la reproducibilidad de las mediciones.
7.2.2. Documentación.
7.2.2.1. Los fabricantes, importadores o representantes deberán solicitar los ensayos correspondientes a la aprobación de modelo al INSTITUTO NACIONAL DE TECNOLOGIA INDUSTRIAL, acompañando dos ejemplares (original y copia) de la documentación, firmados con aclaración de firma por el responsable ante Metrología Legal, correspondiente al modelo de un sistema de medición o de uno de los elementos mencionados en 7.2.1.2 que se desea aprobar, establecida por el punto 3. del ANEXO de la Resolución S.C.T. Nº 49/2003 incluyendo al menos la siguiente información:
- Descripción en forma clara y precisa del instrumento, su modo de funcionamiento y sus métodos de ajuste, como así también de su modo de operación, calibración e instalación.
- Plano general con dimensiones del mismo.
- Dibujo esquemático (diagrama en bloques) del modo de funcionamiento.
- Características metrológicas.
- Condiciones de funcionamiento, como ser: de temperatura, presión, tensión de alimentación, tramos rectos de cañería, acondicionadores de flujo, etc.
- Plano, descripción y lista de componentes de los grupos funcionales que componen el instrumento y un diagrama de vinculación o conexionado.
- Propuesta de ubicación y método de sellado, precintado u otro sistema de seguridad.
- Fotografía de trece por dieciocho centímetros como mínimo del instrumento, en vista general, con y sin cubierta, si correspondiere.
- Dibujo en escala 1:1 del visor o dispositivo indicador con las leyendas establecidas por el presente reglamento, si corresponde.
- Dibujo en escala 1:1 de la chapa de identificación y su modo de fijación y su ubicación en el instrumento.
- Diagrama de flujo y descripción del modo de operación del software utilizado y sus parámetros de configuración, si corresponde.
- Certificados de Aprobación de Modelo de los componentes, en caso de haber.
- Todo lo detallado en 6.5. y en 6.6.3.3.
7.2.2.2. La copia, debidamente legalizada de la documentación indicada permanecerá en poder del INTI y, el original se reintegrará al solicitante, una vez concluidos los ensayos de aprobación de modelo.
7.2.2.3. Una vez obtenidos los protocolos con los resultados de la totalidad de los ensayos establecidos por esta reglamentación emitidos por el INTI, y la devolución por parte del original presentado oportunamente con todas las actuaciones realizadas durante el análisis y ensayo de los modelos a aprobar, el fabricante o importador, adjuntando el resto de la documentación que exige la Resolución ex S.C.T Nº 49/2003 y manifestando con carácter de declaración jurada que el instrumento se ajusta a este reglamento, podrá presentar una solicitud de aprobación de modelo ante la Dirección Nacional de Comercio Interior de la SUBSECRETARIA DE COMERCIO INTERIOR dependiente de la SECRETARIA DE COMERCIO INTERIOR del MINISTERIO DE ECONOMIA Y FINANZAS PUBLICAS.
7.2.3. Certificado de Aprobación de Modelo.
El Certificado de Aprobación de Modelo de un sistema de medición o de uno de sus componentes indicados en, 7.2.1.2 a emitir por la Dirección Nacional de Comercio Interior de la SUBSECRETARIA DE COMERCIO INTERIOR dependiente de la SECRETARIA DE COMERCIO INTERIOR del MINISTERIO DE ECONOMIA Y FINANZAS PUBLICAS, deberá contener, al menos la siguiente información:
- Nombre y domicilio del titular del certificado.
- Nombre y domicilio del fabricante, si no fuera el titular.
- Marca y modelo del instrumento aprobado.
- Características metrológicas.
- Condiciones de funcionamiento del instrumento.
- Fecha, número y validez del certificado.
- Plan de sellado, precintado u otras medidas de seguridad.
- Identificación de los protocolos de ensayo en que se basa el certificado.
- Condiciones específicas para las verificaciones primitivas y periódicas, si corresponde.
- Limitaciones de uso, si corresponde.
7.2.4. Aprobación de modelo del sistema de medición.
7.2.4.1. La aprobación de modelo del sistema de medición estará constituida por los ensayos de aprobación de modelo de cada uno de sus elementos constitutivos y por los ensayos específicos que demuestren la compatibilidad del sistema en su conjunto.
7.2.4.2. En los casos en que uno o más elementos constitutivos cuenten con sus respectivos certificados de aprobación de modelo (Módulo), a los mismos no les serán efectuados los ensayos individuales que les correspondan.
7.2.4.3. El certificado de aprobación de modelo del sistema de medición no constituye la aprobación de modelo individual de sus componentes; no obstante lo cual deberá ser presentada la documentación completa de los mismos en cumplimento del punto 7.2.2 del presente reglamento.
7.2.5. Modificaciones a un modelo aprobado.
En todos los casos en que el titular del modelo aprobado de un sistema o cualquiera de sus elementos constitutivos indicados en 7.2.1.2 introduzca en él una modificación, deberá presentar una solicitud de evaluación de la misma al INTI, el que dictaminará sobre la necesidad o no de efectuar parte o la totalidad de los ensayos que correspondan de los establecidos por el presente reglamento, con el fin de mantener la aprobación correspondiente o, en su defecto, proceder a una nueva aprobación de modelo.
7.2.6. Ejecución de los ensayos de aprobación de modelo.
7.2.6.1. Los ensayos de los elementos constitutivos serán efectuados en el INTI, o en el laboratorio del fabricante o en otro independiente a propuesta de éste, en ambos casos auditados y aprobados por el INTI.
7.2.6.2. En todos los casos los ensayos correspondientes serán auditados por personal técnico del INTI.
7.2.7. Ensayos de aprobación de modelo.
7.2.7.1. Medidor.
7.2.7.1.1. Deberá ser ensayado con todos los dispositivos que a criterio del INTI puedan afectar la exactitud de la medición.
7.2.7.1.2. La determinación de errores a las condiciones de referencia se efectuará a un mínimo de 7 caudales nominales distribuidos en su rango de trabajo de la siguiente manera: Qmin; 5%; 10%; 25%; 50%; 75%; 100% de Qmax.
7.2.7.1.3. Los errores serán determinados como mínimo tres veces a cada caudal, independiente y consecutivamente, y cualquiera de ellos no deberá exceder los valores indicados en los apartados 5.2.
7.2.7.1.4. El medidor será sometido, además, a la totalidad de los ensayos establecidos en 8.1 para los componentes electrónicos del sistema.
7.2.7.1.5. El medidor será ensayado en al menos uno de los caudales indicados en 7.2.7.1.2. con un par de transductores ultrasónicos desconectados donde deberá medir dentro de los errores máximos permitidos.
7.2.7.2. Computador e Instrumentos de medición asociados.
7.2.7.2.1. Con el objeto de asegurar la compatibilidad, los modelos de instrumentos de medición asociados podrán ser aprobados conjuntamente o para ser utilizados con uno o más modelos de computador determinado.
7.2.7.2.2. En caso contrario, sus respectivos certificados de aprobación de modelo deberán contener todas las condiciones requeridas para asegurar la compatibilidad con el computador al que habrán de suministrarle sus señales.
7.2.7.2.3. En ambos casos deberán cumplir los EMP indicados en los apartados 5.2.
7.2.7.2.4. El computador, podrá ser aprobado conjuntamente con los instrumentos de medición asociados, en cuyo caso deberá satisfacer el EMP indicado en el apartado 5.2.
7.2.7.2.5. El computador y los instrumentos de medición asociados que estén equipados con software deberán ser ensayados para comprobar que ningún parámetro metrológico pueda ser alterado, tomando en consideración lo prescripto para precintado electrónico en el punto 6.12.
7.2.7.2.6. La comunicación entrante o saliente con el medidor no deberá tener ninguna influencia en la exactitud de sus mediciones.
7.3. Verificación primitiva.
7.3.1. Generalidades.
Todo sistema de medición alcanzado por el presente Reglamento, y los dispositivos indicados en 7.2.1.2 que se comercialicen como tales, deberán ser sometidos a verificación primitiva para acreditar el cumplimiento del mismo, y su correspondencia con el respectivo modelo aprobado.
7.3.2. Documentación.
7.3.2.1. La solicitud de los ensayos correspondientes a la verificación primitiva del sistema de medición o de sus elementos constitutivos sometidos a verificación, se presentará ante el INSTITUTO NACIONAL DE TECNOLOGIA INDUSTRIAL (INTI) y deberá estar acompañada, al menos, por la siguiente documentación:
- Nombre y domicilio del solicitante.
- Marca y modelo del instrumento aprobado.
- Nº de Certificado y Código de Aprobación de Modelo.
- Características metrológicas.
- Nº de serie del o los instrumentos cuya verificación se solicita.
- Lugar de instalación, si se trata de un sistema de medición.
7.3.2.2. Una vez obtenidos los protocolos de la totalidad de los ensayos establecidos por el presente Reglamento para la Verificación Primitiva y el correspondiente informe de ensayo del Programa de Metrología Legal, emitidos por el INSTITUTO NACIONAL DE TECNOLOGIA INDUSTRIAL, el fabricante o importador, deberá presentar la correspondiente solicitud de certificado de verificación primitiva en la Dirección Nacional de Comercio Interior de la SUBSECRETARIA DE COMERCIO INTERIOR dependiente de la SECRETARIA DE COMERCIO INTERIOR del MINISTERIO DE ECONOMIA Y FINANZAS PUBLICAS conforme lo establecido en el punto 6 y 7 del Anexo de la Resolución ex S.C.T. Nº 49/2003, antes del plazo de QUINCE (15) días, vencido el cual carecerán de validez los mismos, a estos efectos, debiendo realizar los ensayos nuevamente; manifestando con carácter de declaración jurada que los instrumentos presentados dan cumplimiento a la totalidad de los requisitos establecidos en el presente, y que coinciden con el respectivo modelo aprobado. Deberán acompañarse la presentación con fotografías donde se aprecien una vista general del instrumento el área de indicación, los comandos del instrumento y las indicaciones obligatorias y las marcas o etiquetas de verificación.
7.3.3. Certificado de Verificación Primitiva.
El Certificado de Verificación Primitiva de un sistema de medición o de uno de sus componentes indicados en 7.2.1.2, a emitir por la Dirección Nacional de Comercio Interior de la SUBSECRETARIA DE COMERCIO INTERIOR dependiente de la SECRETARIA DE COMERCIO INTERIOR del MINISTERIO DE ECONOMIA Y FINANZAS PUBLICAS, deberá contener, al menos, la siguiente información:
- Nombre y domicilio del titular del certificado.
- Marca y modelo del instrumento verificado.
- Características metrológicas.
- Condiciones de funcionamiento del instrumento.
- Fecha, número y validez del certificado.
- Plan de sellado, precintado u otras medidas de seguridad.
- Identificación de los protocolos de ensayo en que se basa el certificado.
- Lugar de instalación, si se trata de un sistema de medición.
7.3.4. Verificación primitiva del sistema de medición.
7.3.4.1. En los casos en que ninguno de los elementos constitutivos del sistema de medición cuente con respectivo certificado de verificación primitiva, deberán efectuarse sobre el sistema la totalidad de los ensayos establecidos en el punto 7.3.6 del presente reglamento.
7.3.4.2. En caso contrario, tomando en consideración los elementos que cuenten con su verificación primitiva, el INTI establecerá los ensayos a efectuarse sobre el sistema instalado. Deberá documentarse en el informe de ensayo.
7.3.5. Ejecución de los ensayos de verificación primitiva.
7.3.5.1. Los ensayos para la verificación primitiva del sistema de medición serán realizados por el INTI en su lugar de instalación.
7.3.5.2. En el caso de los dispositivos indicados en 7.2.1.2, podrá darse cumplimiento a la Verificación Primitiva de los instrumentos, por medio de la emisión, por parte del fabricante o importador, de una Declaración de Conformidad respecto de los lotes de instrumentos producidos o importados, donde se acredite que los mismos satisfacen los requisitos establecidos por el presente Reglamento y coinciden con el respectivo modelo aprobado.
Para estar en condiciones de emitir la mencionada Declaración de Conformidad, el fabricante o importador, deberá contar con la autorización de la Dirección Nacional de Comercio Interior de la SUBSECRETARIA DE COMERCIO INTERIOR dependiente de la SECRETARIA DE COMERCIO INTERIOR del MINISTERIO DE ECONOMIA Y FINANZAS PUBLICAS, previa presentación de la auditoría realizada por el INSTITUTO NACIONAL DE TECNOLOGIA INDUSTRIAL, de acuerdo a lo establecido por la Resolución ex S.C.T. Nº 19/2004.
La declaración de conformidad deberá ser comunicada por el titular del modelo aprobado a la DIRECCION NACIONAL DE COMERCIO INTERIOR, con carácter de declaración jurada, dentro de los DIEZ (10) días hábiles de producida la misma, en caso contrario deberá efectuar la correspondiente Verificación Primitiva conforme lo dispuesto en el punto 7.3, excepto el punto 7.3.5.2.
La presentación de la Declaración de Conformidad ante la Dirección Nacional de Comercio Interior deberá ser acompañada del comprobante de pago de la tasa establecida en el Artículo 7º de la presente resolución.
7.3.6. Ensayos de Verificación Primitiva.
Se verificará la correspondencia del sistema y sus partes constitutivas, si correspondiera, con sus respectivos modelos aprobados.
7.3.6.1. Sistema de Medición.
7.3.6.1.1. De ser posible, el sistema de medición será ensayado en su lugar de instalación, a lo largo de su rango de caudales a medir, en las condiciones de funcionamiento y con el gas al que está destinado a medir.
7.3.6.1.2. No obstante, en los casos en que, a criterio del INTI, las condiciones de la calibración en el laboratorio resulten suficientemente representativas de su situación en el lugar de instalación, y su comportamiento no resulte influenciable a causa de su desarmado, transporte y posterior armado en el lugar de trabajo, los ensayos realizados en banco o en laboratorio, podrán ser considerados válidos, procediéndose luego a realizar una evaluación de la instalación del conjunto en el lugar de trabajo.
7.3.6.1.3. En este último caso, se verificará el desempeño del medidor instalado. En el caso que a criterio del INTI el desempeño del medidor se aparte significativamente de las condiciones de funcionamiento en ocasión de su calibración, éste podrá establecer la necesidad de una nueva calibración a las condiciones reales de funcionamiento.
7.3.6.1.4. Los errores de las partes constitutivas del sistema de medición deberán estar corregidos tan cercanos a cero como sea posible, antes de su verificación.
7.3.6.2. Medidor.
7.3.6.2.1. La verificación primitiva del medidor se hará en las condiciones más próximas a las de uso, incluyendo la circulación del gas cuyo volumen está destinado a medir. No obstante, si la autoridad de aplicación considera que los resultados de los ensayos pueden resultar comparables, podrá realizarse con otro gas, por ejemplo aire.
7.3.6.2.2. La verificación primitiva deberá efectuarse a un mínimo de 7 caudales distribuidos en su rango de trabajo de la siguiente manera: Qmin; 5%; 10%; 25%; 50%, 75%; 100% de Qmax.
7.3.6.2.3. La verificación primitiva para medición de flujo bidireccional se realizará en ambos sentidos de pasaje del gas.
7.3.6.3. Computador e Instrumentos de medición asociados.
7.3.6.3.1. El conjunto deberá ser verificado en su lugar de instalación.
7.3.6.3.2. El control del cumplimiento de sus requisitos se efectuará una vez realizado el ajuste del conjunto.
7.3.6.4 Errores de verificación primitiva.
Los máximos errores permitidos serán los mismos que para aprobación de modelo.
7.4. Verificación periódica
7.4.1. La verificación periódica de un sistema de medición alcanzado por el presente comprenderá:
- un examen de la instalación del sistema de medición;
- un examen y control metrológico del medidor,
- un examen control metrológico del computador y sus instrumentos de medición asociados.
- Se verificará la correspondencia del sistema y sus partes constitutivas, si correspondiera, con sus respectivos modelos aprobados.
Los máximos errores permitidos serán los mismos que para la verificación primitiva.
7.4.2. Ensayos de funcionamiento del medidor.
7.4.2.1. Anualmente se verificará el desempeño del medidor instalado. En el caso que a criterio del INTI el desempeño del medidor se aparte significativamente de las condiciones de funcionamiento en ocasión de su calibración, éste podrá establecer la necesidad de una nueva calibración a las condiciones reales de funcionamiento.
De ser a estos valores, en cualquiera de las trayectorias acústicas, se deberá solucionar el problema y en caso contrario se deberá proceder a repararlo. Si la reparación a criterio del INTI afecta la exactitud de la medición se deberá someter al medidor a los ensayos correspondientes a una verificación primitiva.
7.4.2.2. La verificación del diámetro interno del medidor será efectuada cada 3 (años), para evaluar la estabilidad geométrica del medidor.
7.4.2.3. Con el fin de verificar la estabilidad del medidor se efectuará sobre éste cada 3 (tres) años, una verificación de desempeño a flujo cero, detallada en 8.2.7 (Verificación de flujo cero).
7.4.2.4. Se efectuará un ensayo cada SEIS (6) años como se establece en 7.3.6.2 (verificación primitiva, Medidor) o utilizar para esto un medidor patrón instalado en serie sobre la configuración actual de medición. Este último medidor podrá ser provisto por el usuario y deberá tener trazabilidad directa a patrones nacionales.
7.5. Vigilancia de uso.
La vigilancia de uso estará a cargo de la autoridad nacional, la cual podrá actuar de oficio o en razón de denuncias recibidas, y comprenderá dos aspectos:
7.5.1. Verificación de legalidad.
Se procederá a verificar en forma documental la legalidad de los instrumentos en cuanto a su aprobación de modelo y verificación primitiva, o la vigencia de su verificación periódica en caso de que corresponda.
A continuación, se procederá a efectuar una inspección visual preliminar, con el objeto de detectar daños físicos evidentes, así como roturas o signos de posible adulteración, que invaliden su ensayo metrológico.
7.5.2. Ensayos.
Sobre los instrumentos no objetados por los motivos mencionados en 7.5.1., se procederá a efectuar los ensayos correspondientes a la verificación periódica indicados en 7.4.1.
8. Métodos de Ensayos.
8.1. Los resultados de un ensayo deberán ser transcriptos en un informe de ensayo.
8.2. Consideraciones generales para un informe ensayo de exactitud de un medidor o un puente de medición.
Los resultados de cada ensayo de exactitud del medidor o puente de medición requeridos en aprobación de modelo o verificación primitiva, serán documentados en un informe, el cual incluirá como mínimo:
- El nombre del fabricante.
- El nombre y la dirección del laboratorio de ensayo.
- El modelo y el número de serie del medidor.
- Código de aprobación de modelo, si correspondiere.
- El número de revisión del firmware de la SPU.
- La fecha del ensayo.
- El nombre y el cargo de quién dirigió los ensayos.
- Una descripción de los procedimientos de ensayos del medidor.
- Las configuraciones de la cañería aguas arriba y aguas abajo incluido el acondicionador de flujo.
- Los números de serie de todas las cañerías y acondicionadores de flujo.
- Un informe de diagnóstico de los parámetros de configuración del software al momento del ensayo.
- Todos los datos del ensayo, incluyendo caudales, velocidades de sonido y de circulación, errores, repetibilidad, reproducibilidad, presiones, temperaturas, y composición del gas.
- Una descripción de las variaciones o desviaciones de las condiciones de ensayo requeridas, si correspondiera.
- Una declaración de incertidumbre del laboratorio responsable de los ensayos, referenciando el método empleado y fecha de la última verificación de la trazabilidad de sus patrones a patrones nacionales y/o internacionales.
- Los factores de ajuste utilizados y una identificación del método empleado para su obtención.
- Número de páginas del documento.
- Aclaración del nombre y cargo de todas las personas que firman el informe de ensayo, debajo de las firmas.
8.3. Ensayos de dispositivos electrónicos para aprobación de modelo.
8.3.1. Consideraciones generales.
8.3.1.1. Los componentes electrónicos de un sistema de medición deberán ser ensayados para demostrar que los mismos se desempeñarán dentro de los errores máximos permitidos.
8.3.1.2. Para las condiciones climáticas se deberán seguir los requerimientos establecidos para “instalaciones en lugares abiertos con condiciones climáticas medias, excluyendo así ambientes polares o desiertos”. Para las condiciones mecánicas, los requerimientos corresponderán para “instalaciones con significativo o alto nivel de vibraciones y golpes”.
8.3.1.3. Los ensayos se aplicarán a la totalidad de los dispositivos y subconjuntos electrónicos del sistema de medición.
8.3.1.4. Los componentes electrónicos deberán estar en operación midiendo flujo cero y en funcionamiento el 100% del tiempo de ensayo. En el caso de transiciones de alta tensión y ensayos de descarga electrostática, el sistema puede dejar de funcionar temporalmente, pero deberá recuperarse automáticamente dentro de los 30 segundos sin perder o dañar información que comprometa el resultado de la indicación principal.
8.3.2. Programa de ensayos.
Los ensayos a efectuar bajo los diferentes factores de influencia son los siguientes:
8.3.2.1. Temperatura estática, calor seco.
Exposición a temperatura estática de 55ºC durante un período de 2 horas. El cambio de temperatura no excederá 1ºC/min durante el incremento y descenso de la temperatura. Se deberá evitar condensación durante todo el ensayo.
8.3.2.2. Temperatura estática, frío.
Exposición a temperatura estática de -25ºC durante un período de 2 horas. El cambio de temperatura no excederá 1ºC/min durante el incremento y descenso de la temperatura. Se deberá evitar condensación durante todo el ensayo.
8.3.2.3. Calor húmedo.
Exposición a temperatura constante de 30ºC y humedad relativa constante de 93% por un período de cuatro días. No deberá haber condensación de agua sobre la unidad.
8.3.2.4. Calor húmedo, ciclado.
Exposición a ciclado en temperatura con variación entre 25ºC y 55ºC, manteniendo la humedad relativa por encima del 95% durante el cambio de temperatura en las fases de baja temperatura y al 93% en las fases de temperatura alta. Deberá ocurrir condensación sobre la electrónica durante el incremento de temperatura. El ensayo consistirá de 2 (dos) ciclos cada uno siguiendo el procedimiento de ciclado especificado.
8.3.2.5. Vibraciones aleatorias.
Exposición a niveles de vibraciones aleatorias como se indica a continuación:
- Rango de frecuencia: 10 - 150 Hz
- Nivel total de RMS: 1,6 m/s2
- Nivel ASD 10 - 20 Hz: 0,048 m/s2
- Nivel ASD 20 - 150 Hz: - 3 dB/octava
- Número de ejes: 2
- Duración: 2 minutos o más si es necesario el ensayo de varias funciones
8.3.2.6. Vibración sinusoidal.
Exposición a una vibración sinusoidal por agitación en la frecuencia en el rango de 10 - 150 Hz a 1 octava por minuto a un nivel de aceleración de 2 m/s2. Los subconjuntos electrónicos serán ensayados en tres ejes perpendiculares. La duración del ensayo será de 20 ciclos por eje.
8.3.2.7. Impacto mecánico.
El subconjunto electrónico estando en una posición normal de uso sobre una superficie rígida, se inclinará sobre uno de los extremos inferiores a una altura de 25 mm y luego se la dejará caer libremente sobre la superficie de ensayo. Se efectuará dos veces por cada extremo inferior.
8.3.2.8. Variación en el suministro de tensión eléctrica.
Exposición a la tensión de alimentación especificada por un período lo suficientemente largo para lograr estabilidad de temperatura y luego ensayar el medidor a las siguientes condiciones:
- Tensión nominal: ± 10%
- Frecuencia nominal: 50 ó 60 Hz ± 2%
8.3.2.9. Reducción de tensión en un período corto.
Exposición a interrupción y reducción de la tensión nominal como se especifica a continuación
- Reducción del 100% durante 10 ms
- Reducción del 50% durante 20 ms
- Las reducciones se repetirán 10 veces a intervalos de tiempo de al menos 10 segundos
8.3.2.10. Descargas eléctricas.
Exposición a picos de tensión teniendo una forma de onda doble exponencial. Cada uno de los picos tendrá un incremento de 5 ns y una amplitud media de 50 ns. La longitud de la ráfaga será de 15 ms; el período será de 300 ms. El valor pico será de 0,5 kV.
8.3.2.11. Descargas electrostáticas.
Exposición a 10 descargas electrostáticas con un intervalo de tiempo de 10 segundos entre cada descarga. Si el electrodo que da la descarga se encuentra en contacto con algún subconjunto electrónico, la tensión de ensayo será de 8 kV.
8.3.2.12. Susceptibilidad electromagnética.
Exposición a campo de radiación electromagnética El rango de frecuencia será de 0,1 a 500 MHz, con una longitud de campo de 10 V/m.
8.4. Ensayos de funcionamiento para aprobación de modelo.
Los siguientes exámenes y ensayos serán llevados a cabo sobre cada uno de los elementos que conformen el sistema de medición que sean sometidos a aprobación de modelo.
8.4.1. Consideraciones generales.
8.4.1.1. El sistema deberá diseñarse de modo tal que esté preparado para ser sometido a ensayos metrológicos en laboratorios con capacidades de medición adecuadas.
8.4.1.2. El medidor deberá ser ensayado con la configuración del puente de medición. El mismo podrá también ser ensayado sin el computador, si éste ha sido objeto de una aprobación de modelo por separado.
En el caso de estar conectado a un computador, se determinara el error contemplando el algoritmo de corrección del computador.
8.4.2. Medición dimensional.
8.4.2.1. El INTI verificará el diámetro interno promedio del medidor, la longitud de la trayectoria acústica entre la cara de los transductores y la distancia axial entre pares de transductores, documentadas en la solicitud de aprobación de modelo.
8.4.2.2. El diámetro interior promedio deberá ser calculado a partir de un total de 12 mediciones del medidor. Cuatro mediciones del diámetro interno (una en el plano vertical, otra en el plano horizontal y dos en planos de aproximadamente 45º del plano vertical) se harán en tres secciones transversales del medidor:
- cerca del conjunto de transductores ultrasónicos aguas arriba,
- cerca del conjunto de transductores aguas abajo y
- a una distancia intermedia entre el conjunto de dos transductores.
El valor del diámetro interno del medidor deberá permanecer constante dentro del ± 0,5% del valor promedio calculado.
8.4.2.3. La temperatura del cuerpo del medidor deberá ser medida al mismo tiempo en que se realicen las mediciones dimensionales. Las longitudes medidas serán corregidas para una longitud equivalente a una temperatura del cuerpo del medidor de 20ºC por aplicación del coeficiente de expansión térmica para el material del cuerpo del medidor. Las longitudes individuales corregidas deberán ser entonces promediadas e informadas con una incertidumbre mejor a 0,0025 mm.
8.4.3. Ensayo de exactitud y repetibilidad.
8.4.3.1. La presión, temperatura y densidad del gas de ensayo deberán informarse. Los caudales de ensayo serán como mínimo: Qmin; 5%; 10%; 25%; 50%, 75%; 100% de Qmax. Se verificará si el error de repetibilidad y de exactitud del medidor se encuentra dentro de los errores máximos permitidos.
8.4.3.2. La incertidumbre del ensayo deberá ser igual o mejor que 1/3 del error máximo permitido.
8.4.3.3. Cualquier propiedad física o valor termodinámico usado durante el ensayo en caudal serán calculados a partir del reporte del AGA 8 y/o AGA 10.
8.4.3.4. Durante el ensayo, se deberán acumular los datos obtenidos por el medidor para cada estado de caudal. Se requerirá al menos la adquisición de datos durante 120 segundos para cada estado de caudal ensayado. Durante la el ensayo se deberá efectuar e informar al menos los valores de una verificación de la velocidad del sonido para cada trayectoria acústica.
8.4.3.5. Si el medidor será utilizado para mediciones bidireccionales, el ensayo deberá realizarse en ambos sentidos de circulación.
8.4.4. Criterios de ajuste.
El propósito de un factor de ajuste es reducir a valores cercanos a cero los errores de medición.
8.4.4.1. La totalidad de los parámetros que no son medidos pero son necesarios para las correcciones deberán estar contenidos en el medidor antes de efectuar la operación de medición. No se permite la corrección de un corrimiento pre estimado en relación al tiempo o al volumen.
8.4.4.2. El medidor deberá ser ajustado utilizando los siguientes métodos:
8.4.4.2.1. Aplicando el error medio ponderado (EMPo) Este factor deberá ser capaz de ajustar el error del medidor tan próximo a cero como el ajuste y los errores máximos permitidos lo permitan.
El valor EMPo será calculado como:
donde: qi / qmax es un factor de ponderación
Ei es el error al caudal de flujo qi
(donde qi = 0,95 qmax se utilizará un factor de ponderación de 0,4 en lugar de 1)
El valor de EMPo deberá estar entre - 0,4% y + 0,4%.
Después de realizar el ajuste no es necesario repetir la totalidad de los caudales de ensayo especificados en 7.2.2.2. En caso de utilizarse un algoritmo de ponderación para ajustar los desvíos del medidor, deberán verificarse al menos 2 puntos.
8.4.4.2.2. Se podrá proponer la utilización de un algoritmo multipunto o polinómico, un método de interpolación lineal más preciso u otro método, el cual será evaluado por el INTI en ocasión de la aprobación de modelo.
La corrección será solamente autorizada entre los diferentes puntos de la calibración (no se permite extrapolación). Como consecuencia, nunca se podrá corregir por debajo del caudal mínimo y por encima del caudal máximo.
Para uso bidireccional del medidor, un segundo conjunto de factores de ajuste se utilizará para la medición del inverso.
8.4.5. Ensayo de verificación de flujo cero.
Se realizará un ensayo de verificación de flujo cero y se verificará:
- que la velocidad de flujo indicada por cada par de transductores sea en promedio inferior a 6 mm/s.
- que la velocidad del sonido de cada trayectoria acústica esté dentro de ± 0,2% del valor teórico.
- que el rendimiento de la señal de cada transductor ultrasónico esté en el 100%.
- que los niveles de ganancia estén dentro de los límites nominales especificados en la solicitud de aprobación de modelo.
8.4.6. Dispositivo de conversión del volumen y dispositivo de corrección del volumen.
8.4.6.1. El ensayo sobre los dispositivos de corrección y conversión del volumen deberá efectuarse con el fin de verificar que éstos y el dispositivo indicador conectados a la totalidad de los instrumentos de medición asociados, cumplan con los errores máximos permitidos.
8.4.6.2. Los instrumentos de medición asociados al sistema de medición deberán poseer una exactitud tal que no superen los errores máximos permitidos.
8.4.6.3. Los ensayos se efectuarán como se indica a continuación:
8.4.6.3.1. A condiciones de referencia posterior al ajuste.
La totalidad de los factores de influencia serán a condiciones de referencia y todas las combinaciones de las magnitudes medidas representativas del gas deben ser ensayadas, al menos con combinación de valores extremos. Al menos 3 composiciones de diferentes gases deberán ser utilizadas con el fin de evaluar los factores de compresibilidad.
8.4.6.3.2. A condiciones de funcionamiento sin ajuste previo.
Se variará cada factor de influencia por separado. La totalidad de las combinaciones de las cantidades medidas del gas deberán tenerse en cuenta y en lo posible en combinaciones de valores extremos. Sin embargo, podrán limitarse los ensayos sobre los factores de influencia a las combinaciones más desfavorables, a partir de ensayos efectuados en 8.3.6.3.1. y/o tipos de gas.
Los factores de influencia a los que será sometido el dispositivo son los indicados en el apartado 8.1.
8.4.6.3.3. La verificación se efectuará según uno de los tres métodos indicados en 5.2.3.8 ó 5.2.4.6. según corresponda.