MINISTERIO DE TRANSPORTE
Resolución 506-E/2017
Ciudad de Buenos Aires, 14/07/2017
VISTO el EX-2017-11662367-APN-SSGAT#MTR del registro del MINISTERIO DE TRANSPORTE; y
CONSIDERANDO:
Que por el artículo 4° del Decreto N° 652 de fecha 19 de abril de 2002 se estableció el régimen de compensaciones tarifarias al sistema de servicio público de transporte automotor de pasajeros de áreas urbanas y suburbanas, denominado SISTEMA INTEGRADO DE TRANSPORTE AUTOMOTOR (SISTAU).
Que en virtud de los artículos 1° y 6° del Decreto N° 678 de fecha 30 de mayo de 2006, se estableció el RÉGIMEN DE COMPENSACIONES COMPLEMENTARIAS (RCC) al SISTEMA INTEGRADO DE TRANSPORTE AUTOMOTOR (SISTAU), destinado a compensar los incrementos de costos incurridos por las empresas de servicios de transporte público de pasajeros por automotor de carácter urbano y suburbano para las empresas que presten servicios dentro del ámbito geográfico determinado por el artículo 2° de la Ley N° 25.031, y en las unidades administrativas establecidas por la Resolución N° 168 de fecha 7 de diciembre de 1995 de la entonces SECRETARÍA DE TRANSPORTE del ex MINISTERIO DE ECONOMÍA Y OBRAS Y SERVICIOS PÚBLICOS, sus normas concordantes y complementarias.
Que a través del artículo 3º del Decreto N° 98 de fecha 6 de febrero de 2007, se sustituyó el artículo 2º del Decreto Nº 1488 de fecha 26 de octubre de 2004 y sus modificatorios, estableciendo una compensación complementaria al SISTEMA INTEGRADO DE TRANSPORTE AUTOMOTOR (SISTAU) con destino a las empresas no incluidas en los artículos 1° y 6° del Decreto N° 678/06, a efectos de morigerar el incremento de los costos que deben afrontar las empresas en las distintas jurisdicciones, a raíz de la fijación de nuevas escalas salariales para los empleados del sector, dando origen de esa manera a la COMPENSACIÓN COMPLEMENTARIA PROVINCIAL (CCP).
Que el artículo 3° de la Resolución N° 37 de fecha 13 de febrero de 2013 del ex MINISTERIO DEL INTERIOR Y TRANSPORTE, aprobó la METODOLOGÍA DE CÁLCULO DE COSTOS DE EXPLOTACIÓN DEL TRANSPORTE URBANO Y SUBURBANO DE PASAJEROS POR AUTOMOTOR DE JURISDICCIÓN NACIONAL DE LA REGIÓN METROPOLITANA DE BUENOS AIRES, normas concordantes y complementarias.
Que por la Resolución N° 107 de fecha 7 de marzo de 2017 del MINISTERIO DE TRANSPORTE se aprobó el cálculo de los COSTOS E INGRESOS MEDIOS DE LOS SERVICIOS DE TRANSPORTE DE PASAJEROS URBANOS Y SUBURBANOS DE LA REGIÓN METROPOLITANA DE BUENOS AIRES; los montos de las compensaciones tarifarias a distribuir entre los prestadores de los servicios de transporte de pasajeros urbanos y suburbanos previstos en los artículos 1º y 6º del Decreto Nº 678 de fecha 30 de mayo de 2006, correspondientes a los meses de octubre y diciembre de 2016 y al reconocimiento adicional específico al mes de diciembre de 2016, producto de la incidencia diferencial del SUELDO ANUAL COMPLEMENTARIO (SAC) del segundo semestre de 2016.
Que por conducto de la Resolución N° 288 de fecha 11 de mayo de 2017 del MINISTERIO DE TRANSPORTE se aprobó el cálculo de los COSTOS E INGRESOS MEDIOS DE LOS SERVICIOS DE TRANSPORTE DE PASAJEROS URBANOS Y SUBURBANOS DE LA REGIÓN METROPOLITANA DE BUENOS AIRES; los montos de las compensaciones tarifarias a distribuir entre los prestadores de los servicios de transporte de pasajeros urbanos y suburbanos previstos en los artículos 1º y 6º del Decreto Nº 678 de fecha 30 de mayo de 2006; y los kilómetros de referencia de cada operador y de cada agrupamiento tarifario, todos ellos aplicables desde el mes de enero de 2017.
Que asimismo, por intermedio de la referida norma se aprobaron los montos de las compensaciones tarifarias a distribuir entre las empresas incluidas en la COMPENSACIÓN COMPLEMENTARIA PROVINCIAL (CCP) aplicables a los meses de enero y febrero de 2017.
Que con fechas 15 y 19 de diciembre de 2016, la UNIÓN TRANVIARIOS AUTOMOTOR (UTA) suscribió con el MINISTERIO DE TRANSPORTE y las entidades representativas de las empresas prestatarias de los servicios de transporte público de pasajeros por automotor de carácter urbano y suburbano del interior del país y de Jurisdicción Nacional de la Región Metropolitana de Buenos Aires, respectivamente, Actas Acuerdo por las que se reconoció la suma no remunerativa de PESOS CINCO MIL ($ 5.000.-) por agente.
Que en el marco de las compensaciones percibidas por las empresas de transporte por automotor de pasajeros, de conformidad con las citadas Resoluciones N° 107/2017 y 288/2017, ambas del MINISTERIO DE TRANSPORTE, se abonó una primera cuota de PESOS TRES MIL ($ 3.000.-) correspondiente al mes de diciembre de 2016, y una segunda y tercer cuota por el monto de PESOS MIL ($ 1.000.-) para cada período mensual de enero y febrero de 2017, respectivamente, todo ello en concepto de la suma no remunerativa referida en el considerando precedente, habiéndose, de tal forma, abonado la totalidad de la suma acordada.
Que por otro lado, con fecha 1º de junio de 2017, la UNIÓN TRANVIARIOS AUTOMOTOR (UTA) suscribió con el MINISTERIO DE TRANSPORTE y las entidades representativas de las empresas de transporte público de pasajeros por automotor de carácter urbano y suburbano del interior del país y de Jurisdicción Nacional de la Región Metropolitana de Buenos Aires, respectivamente, sendas actas paritarias que modifican las escalas salariales a partir del mes de abril de 2017 hasta el mes de marzo 2018, inclusive.
Que, por otra parte, también con fecha 1° de junio de 2017, la UNIÓN TRANVIARIOS AUTOMOTOR (UTA) suscribió con el MINISTERIO DE TRANSPORTE y las entidades representativas de las empresas de transporte público de pasajeros por automotor de carácter urbano y suburbano del interior del país y de Jurisdicción Nacional de la Región Metropolitana de Buenos Aires, respectivamente, un acuerdo complementario al acuerdo paritario, a través de cuyo artículo 1°, las cámaras empresariales se comprometieron a otorgar una contribución extraordinaria del UNO POR CIENTO (1%) sobre las remuneraciones brutas, mensuales, normales y habituales, cuyos fondos resultantes tendrán como destino la creación de un fondo especial que tendrá como función esencial posibilitar la recuperación de las prestaciones médico – asistenciales de la Obra Social de la UNIÓN TRANVIARIOS AUTOMOTOR (UTA), abonándose la misma en el mes de junio lo correspondiente a los meses de abril, mayo, junio, julio, agosto y septiembre, y en el mes de octubre lo correspondiente al segundo semestre del acuerdo paritario.
Que a tal respecto, el MINISTERIO DE TRANSPORTE considera pertinente sostener y reforzar el compromiso asumido por las cámaras empresarias al pago de la contribución extraordinaria antes señalada, en tanto, el mismo se considera un elemento fundamental para la consecución de los fines de asistencia y promoción social de los trabajadores del sector.
Que en mérito a lo dispuesto por la Resolución N° 538 de fecha 22 de diciembre de 2016 del MINISTERIO DE TRANSPORTE, resulta necesario actualizar los montos que en concepto de Tasa Nacional de Fiscalización de Transporte correspondan abonar a las empresas de transporte urbano y suburbano de pasajeros por automotor de Jurisdicción Nacional de la Región Metropolitana de Buenos Aires aplicables a partir del mes de abril de 2017.
Que en idéntico sentido, resulta también necesario actualizar a partir de abril de 2017 los montos que corresponde abonar en concepto del costo del examen psicofísico para obtener la Licencia Nacional Habilitante y de la cuota de la Asociación Civil para la Capacitación de los Trabajadores del Transporte Automotor de Pasajeros (ACCATTAP).
Que de igual manera, a partir del mes de abril de 2017 corresponde se actualice el valor de los precios de insumos y servicios que forman parte de la estructura de costos, como así también la actualización de los parámetros “Costo del Capital Invertido” y “Valor Residual del Vehículo”, a fin de reflejar adecuadamente el comportamiento económico aplicable a la operatoria actual de las empresas de transporte urbano y suburbano de pasajeros por automotor de Jurisdicción Nacional de la Región Metropolitana de Buenos Aires.
Que a fin de reflejar de manera más fidedigna el comportamiento del rubro “Reparación y Mantenimiento”, se considera necesario descontar el valor de las cubiertas del sub-rubro “Reparación y Mantenimiento del Chasis”.
Que se entiende oportuno y conveniente la incorporación, a partir del mes de abril de 2017, del “Servicio de Vigilancia” como un nuevo rubro en la METODOLOGÍA DE CÁLCULO DE COSTOS DE EXPLOTACIÓN DEL TRANSPORTE URBANO Y SUBURBANO DE PASAJEROS POR AUTOMOTOR DE JURISDICCIÓN NACIONAL DE LA REGIÓN METROPOLITANA DE BUENOS AIRES establecida por la Resolución N° 37/2013 del ex MINISTERIO DEL INTERIOR Y TRANSPORTE, normas concordantes y complementarias, en el entendimiento de que corresponde se reconozcan los gastos en seguridad que pasaron a formar parte de la operatoria normal en la explotación de los servicios de transporte público de pasajeros por automotor de carácter urbano y suburbano de la Región Metropolitana de Buenos Aires.
Que en base al estudio de la “Estructura de Costos del Sector de Transporte Automotor de Pasajeros Urbano y Suburbano, de Jurisdicción Nacional y de la Región Metropolitana de Buenos Aires”, elaborado por la Facultad de Ciencias Económicas y Estadística de la Universidad Nacional de Rosario (FCE-UNR) en el marco del Convenio de Cooperación y Asistencia Técnica entre el ex MINISTERIO DEL INTERIOR Y TRANSPORTE y la Universidad Nacional de Rosario – Facultad de Ciencias Económicas y Estadística, suscripto en fecha 19 de septiembre de 2014, se considera propicio incorporar a la METODOLOGÍA DE CÁLCULO DE COSTOS DE EXPLOTACIÓN DEL TRANSPORTE URBANO Y SUBURBANO DE PASAJEROS POR AUTOMOTOR DE JURISDICCIÓN NACIONAL DE LA REGIÓN METROPOLITANA DE BUENOS AIRES establecida por la Resolución N° 37/2013 del ex MINISTERIO DEL INTERIOR Y TRANSPORTE, a partir del mes de abril de 2017, como un rubro independiente e integrante del costo total de explotación de los servicios de transporte público automotor de pasajeros al “Saldo Técnico a Favor del Impuesto al Valor Agregado (I.V.A.)”, con el objeto de mejorar la estimación de la posición anual de la empresa representativa de cada grupo tarifario frente a dicho impuesto.
Que en idéntico sentido, y en base al mismo estudio de la Estructura de Costos mencionado en el considerando precedente, se entiende procedente la modificación de la metodología del cálculo de Ingresos Brutos, en tanto los agentes de percepción involucrados en la venta de combustible líquido están obligados a abonar adicionalmente sobre el valor de dicha compra como pago a cuenta del impuesto a los Ingresos Brutos, motivo por el cual, se ha considerado que la empresa representativa del grupo tarifario estaría en condiciones de descontar dicha percepción de su declaración jurada de dicho tributo, de conformidad con los códigos fiscales de cada jurisdicción.
Que a fin de tornar más eficiente el cómputo del Sueldo Anual Complementario (S.A.C.), corresponde imputar los importes resultantes de dicho concepto a los períodos mensuales en que se hace efectivo el pago del mismo, es decir en los meses de junio y diciembre de cada año.
Que en virtud de lo dicho en el considerando precedente, corresponde deducir para el presente cálculo de los COSTOS E INGRESOS MEDIOS DE LOS SERVICIOS DE TRANSPORTE DE PASAJEROS URBANOS Y SUBURBANOS DE LA REGIÓN METROPOLITANA DE BUENOS AIRES; el cómputo del Sueldo Anual Complementario (S.A.C.) correspondiente al primer trimestre del corriente año, el cual ha sido previsionado en el cálculo aprobado por la Resolución Nº 288 de fecha 11 de mayo de 2017 del MINISTERIO DE TRANSPORTE.
Que el artículo 9° de la Resolución N° 1905 de fecha 24 de septiembre de 2015 del ex MINISTERIO DEL INTERIOR Y TRANSPORTE dispone calcular semestralmente, en base a la información obtenida del Sistema Único de Boleto Electrónico (S.U.B.E.), suministrada por NACIÓN SERVICIOS S.A., y para cada Grupo y/o Subgrupo de Tarifación, entre otras variables, la Velocidad Comercial, a efectos del cálculo de los COSTOS E INGRESOS MEDIOS DE LOS SERVICIOS DE TRANSPORTE DE PASAJEROS URBANOS Y SUBURBANOS DE LA REGIÓN METROPOLITANA DE BUENOS AIRES.
Que teniendo en cuenta la significatividad de la variable “Velocidad Comercial” en la estimación del costo laboral, resulta menester actualizar el valor de dicha variable en el cálculo de los COSTOS E INGRESOS MEDIOS DE LOS SERVICIOS DE TRANSPORTE DE PASAJEROS URBANOS Y SUBURBANOS DE LA REGIÓN METROPOLITANA DE BUENOS AIRES.
Que por el artículo 4° de la Resolución N° 2791 de fecha 2 de diciembre de 2015 del ex MINISTERIO DEL INTERIOR Y TRANSPORTE, se dispuso que las variables de Pasajeros Transportados S.U.B.E. y Recaudación S.U.B.E., establecidas en el “Anexo 7 - Datos Básicos para el Cálculo Tarifario” del Cálculo de COSTOS E INGRESOS MEDIOS DE LOS SERVICIOS DE TRANSPORTE DE PASAJEROS URBANO Y SUBURBANO DE LA REGIÓN METROPOLITANA DE BUENOS AIRES, según Metodología aprobada por la Resolución N° 37/13 del ex- MINISTERIO DEL INTERIOR Y TRANSPORTE, deberán calcularse, en base a la información del SISTEMA ÚNICO DE BOLETO ELECTRÓNICO suministrada por NACIÓN SERVICIOS S.A., y para cada Grupo de Tarificación y/o Subgrupo.
Que examinada la recaudación proyectada para los meses de junio a diciembre de 2016 inclusive, se han detectado que existen diferencias al contrastarla con lo efectivamente recaudado por las empresas prestatarias de los servicios citados en el considerando precedente conforme información brindada por NACIÓN SERVICIOS SOCIEDAD ANÓNIMA a través del SISTEMA ÚNICO DE BOLETO ELECTRÓNICO (S.U.B.E.).
Que en dicho marco, habiéndose advertido tales diferencias, deviene necesario adecuar los importes liquidados en concepto de compensaciones tarifarias.
Que en atención a lo expuesto en considerandos precedentes, corresponde actualizar el Cálculo de los COSTOS E INGRESOS MEDIOS DE LOS SERVICIOS DE TRANSPORTE DE PASAJEROS URBANO Y SUBURBANO DE LA REGIÓN METROPOLITANA DE BUENOS AIRES, aprobado en último término por la Resolución N° 288 de fecha 11 de mayo de 2017 del MINISTERIO DE TRANSPORTE, así como también el monto de las compensaciones tarifarias a distribuir a los prestadores de servicios de transporte público de pasajeros por automotor de carácter urbano y suburbano bajo jurisdicción nacional en el ámbito geográfico delimitado por el artículo 2º de la Ley Nº 25.031 y en la órbita de las unidades administrativas establecidas por la Resolución Nº 168/95 de la entonces SECRETARÍA DE TRANSPORTE del ex MINISTERIO DE ECONOMÍA Y OBRAS Y SERVICIOS PÚBLICOS, para los meses de marzo, abril, junio, julio, octubre, noviembre y diciembre de 2017.
Que en igual orden, resulta necesario actualizar el monto de las compensaciones tarifarias a distribuir entre las empresas incluidas en la COMPENSACIÓN COMPLEMENTARIA PROVINCIAL (CCP), de conformidad con lo dispuesto por el artículo 2° del Decreto N° 1488/04 con las modificaciones introducidas por el artículo 3° del Decreto N° 98/07, sus normas concordantes y complementarias.
Que los fondos necesarios para transferir las compensaciones tarifarias requeridas, tienen su origen en los recursos provenientes del impuesto sobre la transferencia a título oneroso o gratuito, o importación, de gasoil o cualquier otro combustible líquido que lo sustituya en el futuro, creado por la Ley N° 26.028, con las modificaciones introducidas por las leyes N° 26.325 y N° 26.454, para el SISTEMA INTEGRADO DE TRANSPORTE AUTOMOTOR (SISTAU) y la COMPENSACIÓN COMPLEMENTARIA PROVINCIAL (CCP), y con fondos provenientes del TESORO NACIONAL para el RÉGIMEN DE COMPENSACIONES COMPLEMENTARIAS (RCC) y complementariamente para el COMPENSACIÓN COMPLEMENTARIA PROVINCIAL (CCP).
Que la DIRECCIÓN GENERAL DE ASUNTOS JURÍDICOS, dependiente de la SUBSECRETARÍA DE COORDINACIÓN ADMINISTRATIVA del MINISTERIO DE TRANSPORTE, ha tomado la intervención de su competencia.
Que la presente medida se dicta en uso de las facultades conferidas por los Decretos N° 652 de fecha 19 de abril de 2002, N° 1488 de fecha 26 de octubre de 2004, N° 678 de fecha 30 de mayo de 2006, N° 98 de fecha 6 de febrero de 2007 y N° 13 de fecha 10 de diciembre de 2015.
Por ello,
EL MINISTRO DE TRANSPORTE
RESUELVE:
ARTÍCULO 1°.- Apruébanse los Cálculos de los COSTOS E INGRESOS MEDIOS DE LOS SERVICIOS DE TRANSPORTE DE PASAJEROS URBANOS Y SUBURBANOS DE LA REGIÓN METROPOLITANA DE BUENOS AIRES, que como ANEXOS I (IF-2017-14522136-APN-MTR); II (IF-2017-14522102-APN-MTR); III IF-2017-14522045-APN-MTR); IV (IF-2017-14522021-APN-MTR); V (IF-2017-14521973-APN-MTR); VI (IF-2017-14521901-APN-MTR); y VII (IF-2017-14521852-APN-MTR), forman parte integrante de la presente resolución, correspondientes a los meses de marzo, abril, junio, julio, octubre, noviembre y diciembre de 2017, respectivamente.
ARTÍCULO 2°.- Establécense los montos de las compensaciones tarifarias a distribuir entre los prestadores de los servicios de transporte de pasajeros urbanos y suburbanos previstos en los artículos 1° y 6° del Decreto N° 678 de fecha 30 de mayo de 2006, resultantes de los cálculos aprobados por el artículo 1° de la presente resolución, que como ANEXO VIII (IF-2017-14521810-APN-MTR) forma parte integrante de la presente resolución, aplicables a los meses de marzo, abril y mayo, junio, julio a septiembre, octubre, noviembre y diciembre de 2017.
ARTÍCULO 3°.- Establécese los montos de las compensaciones tarifarias a distribuir entre las empresas incluidas en la COMPENSACIÓN COMPLEMENTARIA PROVINCIAL (CCP), a las que se refiere el artículo 2° del Decreto N° 1488 de fecha 26 de octubre de 2004 y sus modificatorios, de acuerdo al ANEXO IX (IF-2017-14521768-APN-MTR), el cual forma parte integrante de la presente medida, aplicables a los meses de marzo, abril y mayo, junio, julio a septiembre, octubre, noviembre, y diciembre de 2017.
ARTÍCULO 4°.- Los importes que se determinan en los ANEXOS VIII y IX de la presente resolución, serán abonados con recursos del SISTEMA INTEGRADO DE TRANSPORTE AUTOMOTOR (SISTAU), el RÉGIMEN DE COMPENSACIONES COMPLEMENTARIAS (RCC) y de la COMPENSACIÓN COMPLEMENTARIA PROVINCIAL (CCP).
ARTÍCULO 5°.- Incorpórase como inciso j) del artículo 2° de la Resolución N° 337 de fecha 21 de mayo de 2004 de la ex SECRETARÍA DE TRANSPORTE el siguiente texto:
“j) Destinar en tiempo y forma a la Obra Social de la UNIÓN TRANVIARIOS AUTOMOTOR (UTA), un UNO POR CIENTO (1%) sobre las remuneraciones brutas, mensuales, normales y habituales de cada uno de los trabajadores incluidos en el Convenio Colectivo de Trabajo N° 460/73, en concepto de contribución extraordinaria de conformidad con lo establecido en el acuerdo complementario al paritario suscripto en fecha 1° de junio de 2017 entre la UNIÓN TRANVIARIOS AUTOMOTOR (UTA), el MINISTERIO DE TRANSPORTE y las entidades representativas de las empresas del sector.
La UNIÓN TRANVIARIOS AUTOMOTOR (UTA) será la encargada de constatar la observancia respecto del pago de la contribución extraordinaria reseñada precedentemente, debiendo informar al MINISTERIO DE TRANSPORTE, antes del día VEINTE (20) de cada período mensual, el listado de empresas que han incumplido con lo acordado.
La mencionada inobservancia, traerá aparejada la retención de las compensaciones tarifarias correspondientes al mes inmediato posterior al de la fecha de la efectiva notificación de la misma por parte de la citada entidad gremial al MINISTERIO DE TRANSPORTE y, hasta tanto ésta proceda a informar la regularización del incumplimiento de que se trate.”.
ARTÍCULO 6°.- Establécese que, de acuerdo al resultado arrojado por el cálculo comparativo para el período comprendido entre los meses junio a diciembre de 2016, entre los datos oportunamente proyectados para la variable “Recaudación S.U.B.E.”, en los términos de la Resolución N° 2791 de fecha 2 de diciembre de 2015 del ex-MINISTERIO DEL INTERIOR Y TRANSPORTE, incluida en los cálculos de los COSTOS E INGRESOS MEDIOS DE LOS SERVICIOS DE TRANSPORTE DE PASAJEROS URBANOS Y SUBURBANOS DE LA REGIÓN METROPOLITANA DE BUENOS AIRES, aprobados por las Resoluciones N° 484 de fecha 24 de noviembre de 2016 y Nº 107 de fecha 7 de marzo de 2017, ambas del MINISTERIO DE TRANSPORTE, y la información suministrada por NACIÓN SERVICIOS S.A. relativa al SISTEMA ÚNICO DE BOLETO ELECTRÓNICO (S.U.B.E.), aplicable a idéntico período, deberá llevarse a cabo una adecuación en los importes liquidados en concepto de compensaciones tarifarias, coincidente con los montos detallados en el ANEXO X (IF-2017-14521709-APN-MTR), el cual forma parte integrante de la presente resolución.
La mentada adecuación se aplicará una vez efectuada la liquidación correspondiente al NOVENTA Y SIETE POR CIENTO (97%) del porcentual establecido en el inciso d) del artículo 8° de la Resolución N° 962 de fecha 18 de diciembre de 2012 ex MINISTERIO DEL INTERIOR Y TRANSPORTE, normas concordantes y complementarias, de los respectivos períodos.
ARTÍCULO 7°.- Incorpórase al “Punto 3. DETERMINACIÓN DE LOS COSTOS DE CADA RUBRO” del Anexo I “METODOLOGÍA DE CÁLCULO DE COSTOS DE EXPLOTACIÓN DEL AUTOTRANSPORTE URBANO Y SUBURBANO DE PASAJEROS DE LA REGIÓN METROPOLITANA DE BUENOS AIRES”, aprobado por la Resolución N° 37 de fecha 13 de febrero de 2013 del ex MINISTERIO DEL INTERIOR Y TRANSPORTE, normas modificatorias, concordantes y complementarias, el rubro “Servicio de Vigilancia”, de conformidad con lo dispuesto en el ANEXO XI (IF-2017-14521654-APN-MTR), que forma parte integrante de la presente resolución.
ARTÍCULO 8°.- Incorpórase al “Punto 3. DETERMINACIÓN DE LOS COSTOS DE CADA RUBRO” del Anexo I “METODOLOGÍA DE CÁLCULO DE COSTOS DE EXPLOTACIÓN DEL AUTOTRANSPORTE URBANO Y SUBURBANO DE PASAJEROS DE LA REGIÓN METROPOLITANA DE BUENOS AIRES”, aprobado por la Resolución N° 37 de fecha 13 de febrero de 2013 del ex MINISTERIO DEL INTERIOR Y TRANSPORTE, normas modificatorias, concordantes y complementarias, el rubro “Saldo Técnico a Favor de I.V.A.” de conformidad con lo dispuesto en el ANEXO XII (IF-2017-14521608-APN-MTR), que forma parte integrante de la presente medida.
ARTÍCULO 9°.- Facúltase a la Dirección Nacional de Gestión de Fondos Fiduciarios de la SUBSECRETARÍA DE GESTIÓN ADMINISTRATVA DE TRANSPORTE de la SECRETARÍA DE GESTIÓN DE TRANSPORTE del MINISTERIO DE TRANSPORTE a determinar el período en el cual se procederá a adecuar los montos de las compensaciones tarifarias, en función de las diferencias que pudieran surgir por la aplicación de la presente resolución, procurando con ello evitar los desequilibrios que eventualmente pudieren afectar la ecuación económica financiera del conjunto de las empresas comprendidas en los regímenes de compensaciones tarifarias.
ARTÍCULO 10°.- Notifíquese la presente medida a la COMISIÓN NACIONAL DE REGULACIÓN DEL TRANSPORTE, ente autárquico actuante en jurisdicción del MINISTERIO DE TRANSPORTE, y a las entidades representativas del transporte público de pasajeros por automotor de carácter urbano y suburbano, para su conocimiento.
ARTÍCULO 11°.- Comuníquese, publíquese, dése a la DIRECCIÓN NACIONAL DEL REGISTRO OFICIAL y archívese. — Guillermo Javier Dietrich.
NOTA: El/los Anexo/s que integra/n este(a) Resolución se publican en la edición web del BORA -www.boletinoficial.gob.ar- y también podrán ser consultados en la Sede Central de esta Dirección Nacional (Suipacha 767 - Ciudad Autónoma de Buenos Aires).
(Nota Infoleg: Los anexos referenciados en la presente norma han sido extraídos de la edición web de Boletín Oficial)





COSTOS E INGRESOS MEDIOS DE LOS SERVICIOS DE TRANSPORTE DE PASAJEROS URBANOS Y SUBURBANOS DE LA REGION METROPOLITANA
Período: Marzo 2017
ANEXO 4 – COSTO DEL PERSONAL




NOTA 4.1: Determinación de la dotación de personal por vehículo.
La dotación de personal por vehículo fue determinada a partir de las declaraciones juradas presentadas con motivo de la Res. MINPLAN
750/2004.
Estos valores fueron corregidos a partir de las presentaciones de los formularios AFIP 931 de los meses de Enero, Febrero y Marzo de 2009.
COSTOS E INGRESOS MEDIOS DE LOS SERVICIOS DE TRANSPORTE DE PASAJEROS URBANOS Y SUBURBANOS DE LA REGION METROPOLITANA
Período: Marzo 2017
ANEXO 5 – PRECIOS CONSIDERADOS EN LA ESTIMACIÓN – SIN I.V.A.


ANEXO 6 – IMPUESTOS

ANEXO 7 – DATOS BÁSICOS PARA EL CÁLCULO TARIFARIO

COSTOS E INGRESOS MEDIOS DE LOS SERVICIOS DE TRANSPORTE DE PASAJEROS URBANOS Y SUBURBANOS DE LA REGION METROPOLITANA
Período: Marzo 2017
ANEXO 8 – COSTO DEL COMBUSTIBLE

COSTOS E INGRESOS MEDIOS DE LOS SERVICIOS DE TRANSPORTE DE PASAJEROS URBANOS Y SUBURBANOS DE LA REGION METROPOLITANA
Período: Marzo 2017
ANEXO 9 – COSTOS MENSUALES POR VEHÍCULO

COSTOS E INGRESOS MEDIOS DE LOS SERVICIOS DE TRANSPORTE DE PASAJEROS URBANOS Y SUBURBANOS DE LA REGION METROPOLITANA
Período: Marzo 2017
ANEXO 10 – RESUMEN DE COSTOS

COSTOS E INGRESOS MEDIOS DE LOS SERVICIOS DE TRANSPORTE DE PASAJEROS URBANOS Y SUBURBANOS DE LA REGION METROPOLITANA
Período: Marzo 2017
ANEXO 11 – BALANCE DE COMPENSACIÓN


Hoja Adicional de Firmas
Anexo
Número: IF-2017-14522136-APN-MTR
Referencia: Estructura costos marzo 2017 - Anexo I
El documento fue importado por el sistema GEDO con un total de 13 pagina/s



COSTOS E INGRESOS MEDIOS DE LOS SERVICIOS DE TRANSPORTE DE PASAJEROS URBANOS Y SUBURBANOS DE LA
REGION METROPOLITANA
Período: Abril 2017
ANEXO 1 – DETERMINACIÓN DEL COSTO POR KM

COSTOS E INGRESOS MEDIOS DE LOS SERVICIOS DE TRANSPORTE DE PASAJEROS URBANOS Y SUBURBANOS DE LA REGION METROPOLITANA
Período: Abril 2017

COSTOS E INGRESOS MEDIOS DE LOS SERVICIOS DE TRANSPORTE DE PASAJEROS URBANOS Y SUBURBANOS DE LA REGION METROPOLITANA
Período: Abril 2017
ANEXO 3 – RENDIMIENTOS Y CONSUMOS ESPECÍFICOS

COSTOS E INGRESOS MEDIOS DE LOS SERVICIOS DE TRANSPORTE DE PASAJEROS URBANOS Y SUBURBANOS DE LA REGION METROPOLITANA
Período: Abril 2017
ANEXO 4 – COSTO DEL PERSONAL














IF-2017-14522102-APN-MTR

Hoja Adicional de Firmas
Anexo










Hoja Adicional de Firmas
Anexo

COSTOS E INGRESOS MEDIOS DE LOS SERVICIOS DE TRANSPORTE DE PASAJEROS URBANOS Y SUBURBANOS DE LA REGION METROPOLITANA
Período: Julio 2017
ANEXO 1 – DETERMINACIÓN DEL COSTO POR KM


















Hoja Adicional de Firmas
Anexo



Período: Octubre 2017
ANEXO 1 – DETERMINACIÓN DEL COSTO POR KM

COSTOS E INGRESOS MEDIOS DE LOS SERVICIOS DE TRANSPORTE DE PASAJEROS URBANOS Y SUBURBANOS DE LA REGION METROPOLITANA
Período: Octubre 2017
ANEXO 2 – CARACTERÍSTICAS DE LAS EMPRESAS REPRESENTATIVAS

COSTOS E INGRESOS MEDIOS DE LOS SERVICIOS DE TRANSPORTE DE PASAJEROS URBANOS Y SUBURBANOS DE LA REGION METROPOLITANA
Período: Octubre 2017
ANEXO 3 – RENDIMIENTOS Y CONSUMOS ESPECÍFICOS









COSTOS E INGRESOS MEDIOS DE LOS SERVICIOS DE TRANSPORTE DE PASAJEROS URBANOS Y SUBURBANOS DE LA REGION METROPOLITANA
Período: Octubre 2017
ANEXO 6 – IMPUESTOS






Hoja Adicional de Firmas
Anexo











Hoja Adicional de Firmas
Anexo


COSTOS E INGRESOS MEDIOS DE LOS SERVICIOS DE TRANSPORTE DE PASAJEROS URBANOS Y SUBURBANOS DE LA REGION METROPOLITANA
Período: Diciembre 2017
ANEXO 1 – DETERMINACIÓN DEL COSTO POR KM

COSTOS E INGRESOS MEDIOS DE LOS SERVICIOS DE TRANSPORTE DE PASAJEROS URBANOS Y SUBURBANOS DE LA REGION METROPOLITANA
Período: Diciembre 2017
ANEXO 2 – CARACTERÍSTICAS DE LAS EMPRESAS REPRESENTATIVAS
















Anexo


Hoja Adicional de Firmas
Anexo



COMPENSACIÓN COMPLEMENTARIA PROVINCIAL (CCP)


Hoja Adicional de Firmas
Anexo







Resolución 506-E/2017
Ciudad de Buenos Aires, 14/07/2017
VISTO el EX-2017-11662367-APN-SSGAT#MTR del registro del MINISTERIO DE TRANSPORTE; y
CONSIDERANDO:
Que por el artículo 4° del Decreto N° 652 de fecha 19 de abril de 2002 se estableció el régimen de compensaciones tarifarias al sistema de servicio público de transporte automotor de pasajeros de áreas urbanas y suburbanas, denominado SISTEMA INTEGRADO DE TRANSPORTE AUTOMOTOR (SISTAU).
Que en virtud de los artículos 1° y 6° del Decreto N° 678 de fecha 30 de mayo de 2006, se estableció el RÉGIMEN DE COMPENSACIONES COMPLEMENTARIAS (RCC) al SISTEMA INTEGRADO DE TRANSPORTE AUTOMOTOR (SISTAU), destinado a compensar los incrementos de costos incurridos por las empresas de servicios de transporte público de pasajeros por automotor de carácter urbano y suburbano para las empresas que presten servicios dentro del ámbito geográfico determinado por el artículo 2° de la Ley N° 25.031, y en las unidades administrativas establecidas por la Resolución N° 168 de fecha 7 de diciembre de 1995 de la entonces SECRETARÍA DE TRANSPORTE del ex MINISTERIO DE ECONOMÍA Y OBRAS Y SERVICIOS PÚBLICOS, sus normas concordantes y complementarias.
Que a través del artículo 3º del Decreto N° 98 de fecha 6 de febrero de 2007, se sustituyó el artículo 2º del Decreto Nº 1488 de fecha 26 de octubre de 2004 y sus modificatorios, estableciendo una compensación complementaria al SISTEMA INTEGRADO DE TRANSPORTE AUTOMOTOR (SISTAU) con destino a las empresas no incluidas en los artículos 1° y 6° del Decreto N° 678/06, a efectos de morigerar el incremento de los costos que deben afrontar las empresas en las distintas jurisdicciones, a raíz de la fijación de nuevas escalas salariales para los empleados del sector, dando origen de esa manera a la COMPENSACIÓN COMPLEMENTARIA PROVINCIAL (CCP).
Que el artículo 3° de la Resolución N° 37 de fecha 13 de febrero de 2013 del ex MINISTERIO DEL INTERIOR Y TRANSPORTE, aprobó la METODOLOGÍA DE CÁLCULO DE COSTOS DE EXPLOTACIÓN DEL TRANSPORTE URBANO Y SUBURBANO DE PASAJEROS POR AUTOMOTOR DE JURISDICCIÓN NACIONAL DE LA REGIÓN METROPOLITANA DE BUENOS AIRES, normas concordantes y complementarias.
Que por la Resolución N° 107 de fecha 7 de marzo de 2017 del MINISTERIO DE TRANSPORTE se aprobó el cálculo de los COSTOS E INGRESOS MEDIOS DE LOS SERVICIOS DE TRANSPORTE DE PASAJEROS URBANOS Y SUBURBANOS DE LA REGIÓN METROPOLITANA DE BUENOS AIRES; los montos de las compensaciones tarifarias a distribuir entre los prestadores de los servicios de transporte de pasajeros urbanos y suburbanos previstos en los artículos 1º y 6º del Decreto Nº 678 de fecha 30 de mayo de 2006, correspondientes a los meses de octubre y diciembre de 2016 y al reconocimiento adicional específico al mes de diciembre de 2016, producto de la incidencia diferencial del SUELDO ANUAL COMPLEMENTARIO (SAC) del segundo semestre de 2016.
Que por conducto de la Resolución N° 288 de fecha 11 de mayo de 2017 del MINISTERIO DE TRANSPORTE se aprobó el cálculo de los COSTOS E INGRESOS MEDIOS DE LOS SERVICIOS DE TRANSPORTE DE PASAJEROS URBANOS Y SUBURBANOS DE LA REGIÓN METROPOLITANA DE BUENOS AIRES; los montos de las compensaciones tarifarias a distribuir entre los prestadores de los servicios de transporte de pasajeros urbanos y suburbanos previstos en los artículos 1º y 6º del Decreto Nº 678 de fecha 30 de mayo de 2006; y los kilómetros de referencia de cada operador y de cada agrupamiento tarifario, todos ellos aplicables desde el mes de enero de 2017.
Que asimismo, por intermedio de la referida norma se aprobaron los montos de las compensaciones tarifarias a distribuir entre las empresas incluidas en la COMPENSACIÓN COMPLEMENTARIA PROVINCIAL (CCP) aplicables a los meses de enero y febrero de 2017.
Que con fechas 15 y 19 de diciembre de 2016, la UNIÓN TRANVIARIOS AUTOMOTOR (UTA) suscribió con el MINISTERIO DE TRANSPORTE y las entidades representativas de las empresas prestatarias de los servicios de transporte público de pasajeros por automotor de carácter urbano y suburbano del interior del país y de Jurisdicción Nacional de la Región Metropolitana de Buenos Aires, respectivamente, Actas Acuerdo por las que se reconoció la suma no remunerativa de PESOS CINCO MIL ($ 5.000.-) por agente.
Que en el marco de las compensaciones percibidas por las empresas de transporte por automotor de pasajeros, de conformidad con las citadas Resoluciones N° 107/2017 y 288/2017, ambas del MINISTERIO DE TRANSPORTE, se abonó una primera cuota de PESOS TRES MIL ($ 3.000.-) correspondiente al mes de diciembre de 2016, y una segunda y tercer cuota por el monto de PESOS MIL ($ 1.000.-) para cada período mensual de enero y febrero de 2017, respectivamente, todo ello en concepto de la suma no remunerativa referida en el considerando precedente, habiéndose, de tal forma, abonado la totalidad de la suma acordada.
Que por otro lado, con fecha 1º de junio de 2017, la UNIÓN TRANVIARIOS AUTOMOTOR (UTA) suscribió con el MINISTERIO DE TRANSPORTE y las entidades representativas de las empresas de transporte público de pasajeros por automotor de carácter urbano y suburbano del interior del país y de Jurisdicción Nacional de la Región Metropolitana de Buenos Aires, respectivamente, sendas actas paritarias que modifican las escalas salariales a partir del mes de abril de 2017 hasta el mes de marzo 2018, inclusive.
Que, por otra parte, también con fecha 1° de junio de 2017, la UNIÓN TRANVIARIOS AUTOMOTOR (UTA) suscribió con el MINISTERIO DE TRANSPORTE y las entidades representativas de las empresas de transporte público de pasajeros por automotor de carácter urbano y suburbano del interior del país y de Jurisdicción Nacional de la Región Metropolitana de Buenos Aires, respectivamente, un acuerdo complementario al acuerdo paritario, a través de cuyo artículo 1°, las cámaras empresariales se comprometieron a otorgar una contribución extraordinaria del UNO POR CIENTO (1%) sobre las remuneraciones brutas, mensuales, normales y habituales, cuyos fondos resultantes tendrán como destino la creación de un fondo especial que tendrá como función esencial posibilitar la recuperación de las prestaciones médico – asistenciales de la Obra Social de la UNIÓN TRANVIARIOS AUTOMOTOR (UTA), abonándose la misma en el mes de junio lo correspondiente a los meses de abril, mayo, junio, julio, agosto y septiembre, y en el mes de octubre lo correspondiente al segundo semestre del acuerdo paritario.
Que a tal respecto, el MINISTERIO DE TRANSPORTE considera pertinente sostener y reforzar el compromiso asumido por las cámaras empresarias al pago de la contribución extraordinaria antes señalada, en tanto, el mismo se considera un elemento fundamental para la consecución de los fines de asistencia y promoción social de los trabajadores del sector.
Que en mérito a lo dispuesto por la Resolución N° 538 de fecha 22 de diciembre de 2016 del MINISTERIO DE TRANSPORTE, resulta necesario actualizar los montos que en concepto de Tasa Nacional de Fiscalización de Transporte correspondan abonar a las empresas de transporte urbano y suburbano de pasajeros por automotor de Jurisdicción Nacional de la Región Metropolitana de Buenos Aires aplicables a partir del mes de abril de 2017.
Que en idéntico sentido, resulta también necesario actualizar a partir de abril de 2017 los montos que corresponde abonar en concepto del costo del examen psicofísico para obtener la Licencia Nacional Habilitante y de la cuota de la Asociación Civil para la Capacitación de los Trabajadores del Transporte Automotor de Pasajeros (ACCATTAP).
Que de igual manera, a partir del mes de abril de 2017 corresponde se actualice el valor de los precios de insumos y servicios que forman parte de la estructura de costos, como así también la actualización de los parámetros “Costo del Capital Invertido” y “Valor Residual del Vehículo”, a fin de reflejar adecuadamente el comportamiento económico aplicable a la operatoria actual de las empresas de transporte urbano y suburbano de pasajeros por automotor de Jurisdicción Nacional de la Región Metropolitana de Buenos Aires.
Que a fin de reflejar de manera más fidedigna el comportamiento del rubro “Reparación y Mantenimiento”, se considera necesario descontar el valor de las cubiertas del sub-rubro “Reparación y Mantenimiento del Chasis”.
Que se entiende oportuno y conveniente la incorporación, a partir del mes de abril de 2017, del “Servicio de Vigilancia” como un nuevo rubro en la METODOLOGÍA DE CÁLCULO DE COSTOS DE EXPLOTACIÓN DEL TRANSPORTE URBANO Y SUBURBANO DE PASAJEROS POR AUTOMOTOR DE JURISDICCIÓN NACIONAL DE LA REGIÓN METROPOLITANA DE BUENOS AIRES establecida por la Resolución N° 37/2013 del ex MINISTERIO DEL INTERIOR Y TRANSPORTE, normas concordantes y complementarias, en el entendimiento de que corresponde se reconozcan los gastos en seguridad que pasaron a formar parte de la operatoria normal en la explotación de los servicios de transporte público de pasajeros por automotor de carácter urbano y suburbano de la Región Metropolitana de Buenos Aires.
Que en base al estudio de la “Estructura de Costos del Sector de Transporte Automotor de Pasajeros Urbano y Suburbano, de Jurisdicción Nacional y de la Región Metropolitana de Buenos Aires”, elaborado por la Facultad de Ciencias Económicas y Estadística de la Universidad Nacional de Rosario (FCE-UNR) en el marco del Convenio de Cooperación y Asistencia Técnica entre el ex MINISTERIO DEL INTERIOR Y TRANSPORTE y la Universidad Nacional de Rosario – Facultad de Ciencias Económicas y Estadística, suscripto en fecha 19 de septiembre de 2014, se considera propicio incorporar a la METODOLOGÍA DE CÁLCULO DE COSTOS DE EXPLOTACIÓN DEL TRANSPORTE URBANO Y SUBURBANO DE PASAJEROS POR AUTOMOTOR DE JURISDICCIÓN NACIONAL DE LA REGIÓN METROPOLITANA DE BUENOS AIRES establecida por la Resolución N° 37/2013 del ex MINISTERIO DEL INTERIOR Y TRANSPORTE, a partir del mes de abril de 2017, como un rubro independiente e integrante del costo total de explotación de los servicios de transporte público automotor de pasajeros al “Saldo Técnico a Favor del Impuesto al Valor Agregado (I.V.A.)”, con el objeto de mejorar la estimación de la posición anual de la empresa representativa de cada grupo tarifario frente a dicho impuesto.
Que en idéntico sentido, y en base al mismo estudio de la Estructura de Costos mencionado en el considerando precedente, se entiende procedente la modificación de la metodología del cálculo de Ingresos Brutos, en tanto los agentes de percepción involucrados en la venta de combustible líquido están obligados a abonar adicionalmente sobre el valor de dicha compra como pago a cuenta del impuesto a los Ingresos Brutos, motivo por el cual, se ha considerado que la empresa representativa del grupo tarifario estaría en condiciones de descontar dicha percepción de su declaración jurada de dicho tributo, de conformidad con los códigos fiscales de cada jurisdicción.
Que a fin de tornar más eficiente el cómputo del Sueldo Anual Complementario (S.A.C.), corresponde imputar los importes resultantes de dicho concepto a los períodos mensuales en que se hace efectivo el pago del mismo, es decir en los meses de junio y diciembre de cada año.
Que en virtud de lo dicho en el considerando precedente, corresponde deducir para el presente cálculo de los COSTOS E INGRESOS MEDIOS DE LOS SERVICIOS DE TRANSPORTE DE PASAJEROS URBANOS Y SUBURBANOS DE LA REGIÓN METROPOLITANA DE BUENOS AIRES; el cómputo del Sueldo Anual Complementario (S.A.C.) correspondiente al primer trimestre del corriente año, el cual ha sido previsionado en el cálculo aprobado por la Resolución Nº 288 de fecha 11 de mayo de 2017 del MINISTERIO DE TRANSPORTE.
Que el artículo 9° de la Resolución N° 1905 de fecha 24 de septiembre de 2015 del ex MINISTERIO DEL INTERIOR Y TRANSPORTE dispone calcular semestralmente, en base a la información obtenida del Sistema Único de Boleto Electrónico (S.U.B.E.), suministrada por NACIÓN SERVICIOS S.A., y para cada Grupo y/o Subgrupo de Tarifación, entre otras variables, la Velocidad Comercial, a efectos del cálculo de los COSTOS E INGRESOS MEDIOS DE LOS SERVICIOS DE TRANSPORTE DE PASAJEROS URBANOS Y SUBURBANOS DE LA REGIÓN METROPOLITANA DE BUENOS AIRES.
Que teniendo en cuenta la significatividad de la variable “Velocidad Comercial” en la estimación del costo laboral, resulta menester actualizar el valor de dicha variable en el cálculo de los COSTOS E INGRESOS MEDIOS DE LOS SERVICIOS DE TRANSPORTE DE PASAJEROS URBANOS Y SUBURBANOS DE LA REGIÓN METROPOLITANA DE BUENOS AIRES.
Que por el artículo 4° de la Resolución N° 2791 de fecha 2 de diciembre de 2015 del ex MINISTERIO DEL INTERIOR Y TRANSPORTE, se dispuso que las variables de Pasajeros Transportados S.U.B.E. y Recaudación S.U.B.E., establecidas en el “Anexo 7 - Datos Básicos para el Cálculo Tarifario” del Cálculo de COSTOS E INGRESOS MEDIOS DE LOS SERVICIOS DE TRANSPORTE DE PASAJEROS URBANO Y SUBURBANO DE LA REGIÓN METROPOLITANA DE BUENOS AIRES, según Metodología aprobada por la Resolución N° 37/13 del ex- MINISTERIO DEL INTERIOR Y TRANSPORTE, deberán calcularse, en base a la información del SISTEMA ÚNICO DE BOLETO ELECTRÓNICO suministrada por NACIÓN SERVICIOS S.A., y para cada Grupo de Tarificación y/o Subgrupo.
Que examinada la recaudación proyectada para los meses de junio a diciembre de 2016 inclusive, se han detectado que existen diferencias al contrastarla con lo efectivamente recaudado por las empresas prestatarias de los servicios citados en el considerando precedente conforme información brindada por NACIÓN SERVICIOS SOCIEDAD ANÓNIMA a través del SISTEMA ÚNICO DE BOLETO ELECTRÓNICO (S.U.B.E.).
Que en dicho marco, habiéndose advertido tales diferencias, deviene necesario adecuar los importes liquidados en concepto de compensaciones tarifarias.
Que en atención a lo expuesto en considerandos precedentes, corresponde actualizar el Cálculo de los COSTOS E INGRESOS MEDIOS DE LOS SERVICIOS DE TRANSPORTE DE PASAJEROS URBANO Y SUBURBANO DE LA REGIÓN METROPOLITANA DE BUENOS AIRES, aprobado en último término por la Resolución N° 288 de fecha 11 de mayo de 2017 del MINISTERIO DE TRANSPORTE, así como también el monto de las compensaciones tarifarias a distribuir a los prestadores de servicios de transporte público de pasajeros por automotor de carácter urbano y suburbano bajo jurisdicción nacional en el ámbito geográfico delimitado por el artículo 2º de la Ley Nº 25.031 y en la órbita de las unidades administrativas establecidas por la Resolución Nº 168/95 de la entonces SECRETARÍA DE TRANSPORTE del ex MINISTERIO DE ECONOMÍA Y OBRAS Y SERVICIOS PÚBLICOS, para los meses de marzo, abril, junio, julio, octubre, noviembre y diciembre de 2017.
Que en igual orden, resulta necesario actualizar el monto de las compensaciones tarifarias a distribuir entre las empresas incluidas en la COMPENSACIÓN COMPLEMENTARIA PROVINCIAL (CCP), de conformidad con lo dispuesto por el artículo 2° del Decreto N° 1488/04 con las modificaciones introducidas por el artículo 3° del Decreto N° 98/07, sus normas concordantes y complementarias.
Que los fondos necesarios para transferir las compensaciones tarifarias requeridas, tienen su origen en los recursos provenientes del impuesto sobre la transferencia a título oneroso o gratuito, o importación, de gasoil o cualquier otro combustible líquido que lo sustituya en el futuro, creado por la Ley N° 26.028, con las modificaciones introducidas por las leyes N° 26.325 y N° 26.454, para el SISTEMA INTEGRADO DE TRANSPORTE AUTOMOTOR (SISTAU) y la COMPENSACIÓN COMPLEMENTARIA PROVINCIAL (CCP), y con fondos provenientes del TESORO NACIONAL para el RÉGIMEN DE COMPENSACIONES COMPLEMENTARIAS (RCC) y complementariamente para el COMPENSACIÓN COMPLEMENTARIA PROVINCIAL (CCP).
Que la DIRECCIÓN GENERAL DE ASUNTOS JURÍDICOS, dependiente de la SUBSECRETARÍA DE COORDINACIÓN ADMINISTRATIVA del MINISTERIO DE TRANSPORTE, ha tomado la intervención de su competencia.
Que la presente medida se dicta en uso de las facultades conferidas por los Decretos N° 652 de fecha 19 de abril de 2002, N° 1488 de fecha 26 de octubre de 2004, N° 678 de fecha 30 de mayo de 2006, N° 98 de fecha 6 de febrero de 2007 y N° 13 de fecha 10 de diciembre de 2015.
Por ello,
EL MINISTRO DE TRANSPORTE
RESUELVE:
ARTÍCULO 1°.- Apruébanse los Cálculos de los COSTOS E INGRESOS MEDIOS DE LOS SERVICIOS DE TRANSPORTE DE PASAJEROS URBANOS Y SUBURBANOS DE LA REGIÓN METROPOLITANA DE BUENOS AIRES, que como ANEXOS I (IF-2017-14522136-APN-MTR); II (IF-2017-14522102-APN-MTR); III IF-2017-14522045-APN-MTR); IV (IF-2017-14522021-APN-MTR); V (IF-2017-14521973-APN-MTR); VI (IF-2017-14521901-APN-MTR); y VII (IF-2017-14521852-APN-MTR), forman parte integrante de la presente resolución, correspondientes a los meses de marzo, abril, junio, julio, octubre, noviembre y diciembre de 2017, respectivamente.
ARTÍCULO 2°.- Establécense los montos de las compensaciones tarifarias a distribuir entre los prestadores de los servicios de transporte de pasajeros urbanos y suburbanos previstos en los artículos 1° y 6° del Decreto N° 678 de fecha 30 de mayo de 2006, resultantes de los cálculos aprobados por el artículo 1° de la presente resolución, que como ANEXO VIII (IF-2017-14521810-APN-MTR) forma parte integrante de la presente resolución, aplicables a los meses de marzo, abril y mayo, junio, julio a septiembre, octubre, noviembre y diciembre de 2017.
ARTÍCULO 3°.- Establécese los montos de las compensaciones tarifarias a distribuir entre las empresas incluidas en la COMPENSACIÓN COMPLEMENTARIA PROVINCIAL (CCP), a las que se refiere el artículo 2° del Decreto N° 1488 de fecha 26 de octubre de 2004 y sus modificatorios, de acuerdo al ANEXO IX (IF-2017-14521768-APN-MTR), el cual forma parte integrante de la presente medida, aplicables a los meses de marzo, abril y mayo, junio, julio a septiembre, octubre, noviembre, y diciembre de 2017.
ARTÍCULO 4°.- Los importes que se determinan en los ANEXOS VIII y IX de la presente resolución, serán abonados con recursos del SISTEMA INTEGRADO DE TRANSPORTE AUTOMOTOR (SISTAU), el RÉGIMEN DE COMPENSACIONES COMPLEMENTARIAS (RCC) y de la COMPENSACIÓN COMPLEMENTARIA PROVINCIAL (CCP).
ARTÍCULO 5°.- Incorpórase como inciso j) del artículo 2° de la Resolución N° 337 de fecha 21 de mayo de 2004 de la ex SECRETARÍA DE TRANSPORTE el siguiente texto:
“j) Destinar en tiempo y forma a la Obra Social de la UNIÓN TRANVIARIOS AUTOMOTOR (UTA), un UNO POR CIENTO (1%) sobre las remuneraciones brutas, mensuales, normales y habituales de cada uno de los trabajadores incluidos en el Convenio Colectivo de Trabajo N° 460/73, en concepto de contribución extraordinaria de conformidad con lo establecido en el acuerdo complementario al paritario suscripto en fecha 1° de junio de 2017 entre la UNIÓN TRANVIARIOS AUTOMOTOR (UTA), el MINISTERIO DE TRANSPORTE y las entidades representativas de las empresas del sector.
La UNIÓN TRANVIARIOS AUTOMOTOR (UTA) será la encargada de constatar la observancia respecto del pago de la contribución extraordinaria reseñada precedentemente, debiendo informar al MINISTERIO DE TRANSPORTE, antes del día VEINTE (20) de cada período mensual, el listado de empresas que han incumplido con lo acordado.
La mencionada inobservancia, traerá aparejada la retención de las compensaciones tarifarias correspondientes al mes inmediato posterior al de la fecha de la efectiva notificación de la misma por parte de la citada entidad gremial al MINISTERIO DE TRANSPORTE y, hasta tanto ésta proceda a informar la regularización del incumplimiento de que se trate.”.
ARTÍCULO 6°.- Establécese que, de acuerdo al resultado arrojado por el cálculo comparativo para el período comprendido entre los meses junio a diciembre de 2016, entre los datos oportunamente proyectados para la variable “Recaudación S.U.B.E.”, en los términos de la Resolución N° 2791 de fecha 2 de diciembre de 2015 del ex-MINISTERIO DEL INTERIOR Y TRANSPORTE, incluida en los cálculos de los COSTOS E INGRESOS MEDIOS DE LOS SERVICIOS DE TRANSPORTE DE PASAJEROS URBANOS Y SUBURBANOS DE LA REGIÓN METROPOLITANA DE BUENOS AIRES, aprobados por las Resoluciones N° 484 de fecha 24 de noviembre de 2016 y Nº 107 de fecha 7 de marzo de 2017, ambas del MINISTERIO DE TRANSPORTE, y la información suministrada por NACIÓN SERVICIOS S.A. relativa al SISTEMA ÚNICO DE BOLETO ELECTRÓNICO (S.U.B.E.), aplicable a idéntico período, deberá llevarse a cabo una adecuación en los importes liquidados en concepto de compensaciones tarifarias, coincidente con los montos detallados en el ANEXO X (IF-2017-14521709-APN-MTR), el cual forma parte integrante de la presente resolución.
La mentada adecuación se aplicará una vez efectuada la liquidación correspondiente al NOVENTA Y SIETE POR CIENTO (97%) del porcentual establecido en el inciso d) del artículo 8° de la Resolución N° 962 de fecha 18 de diciembre de 2012 ex MINISTERIO DEL INTERIOR Y TRANSPORTE, normas concordantes y complementarias, de los respectivos períodos.
ARTÍCULO 7°.- Incorpórase al “Punto 3. DETERMINACIÓN DE LOS COSTOS DE CADA RUBRO” del Anexo I “METODOLOGÍA DE CÁLCULO DE COSTOS DE EXPLOTACIÓN DEL AUTOTRANSPORTE URBANO Y SUBURBANO DE PASAJEROS DE LA REGIÓN METROPOLITANA DE BUENOS AIRES”, aprobado por la Resolución N° 37 de fecha 13 de febrero de 2013 del ex MINISTERIO DEL INTERIOR Y TRANSPORTE, normas modificatorias, concordantes y complementarias, el rubro “Servicio de Vigilancia”, de conformidad con lo dispuesto en el ANEXO XI (IF-2017-14521654-APN-MTR), que forma parte integrante de la presente resolución.
ARTÍCULO 8°.- Incorpórase al “Punto 3. DETERMINACIÓN DE LOS COSTOS DE CADA RUBRO” del Anexo I “METODOLOGÍA DE CÁLCULO DE COSTOS DE EXPLOTACIÓN DEL AUTOTRANSPORTE URBANO Y SUBURBANO DE PASAJEROS DE LA REGIÓN METROPOLITANA DE BUENOS AIRES”, aprobado por la Resolución N° 37 de fecha 13 de febrero de 2013 del ex MINISTERIO DEL INTERIOR Y TRANSPORTE, normas modificatorias, concordantes y complementarias, el rubro “Saldo Técnico a Favor de I.V.A.” de conformidad con lo dispuesto en el ANEXO XII (IF-2017-14521608-APN-MTR), que forma parte integrante de la presente medida.
ARTÍCULO 9°.- Facúltase a la Dirección Nacional de Gestión de Fondos Fiduciarios de la SUBSECRETARÍA DE GESTIÓN ADMINISTRATVA DE TRANSPORTE de la SECRETARÍA DE GESTIÓN DE TRANSPORTE del MINISTERIO DE TRANSPORTE a determinar el período en el cual se procederá a adecuar los montos de las compensaciones tarifarias, en función de las diferencias que pudieran surgir por la aplicación de la presente resolución, procurando con ello evitar los desequilibrios que eventualmente pudieren afectar la ecuación económica financiera del conjunto de las empresas comprendidas en los regímenes de compensaciones tarifarias.
ARTÍCULO 10°.- Notifíquese la presente medida a la COMISIÓN NACIONAL DE REGULACIÓN DEL TRANSPORTE, ente autárquico actuante en jurisdicción del MINISTERIO DE TRANSPORTE, y a las entidades representativas del transporte público de pasajeros por automotor de carácter urbano y suburbano, para su conocimiento.
ARTÍCULO 11°.- Comuníquese, publíquese, dése a la DIRECCIÓN NACIONAL DEL REGISTRO OFICIAL y archívese. — Guillermo Javier Dietrich.
NOTA: El/los Anexo/s que integra/n este(a) Resolución se publican en la edición web del BORA -www.boletinoficial.gob.ar- y también podrán ser consultados en la Sede Central de esta Dirección Nacional (Suipacha 767 - Ciudad Autónoma de Buenos Aires).
e. 20/07/2017 N° 51429/17 v. 20/07/2017
(Nota Infoleg: Los anexos referenciados en la presente norma han sido extraídos de la edición web de Boletín Oficial)
ANEXO I
COSTOS E INGRESOS MEDIOS DE LOS SERVICIOS DE TRANSPORTE DE PASAJEROS URBANOS Y SUBURBANOS DE LA REGION METROPOLITANA
Período: Marzo 2017
Anexo 1 - DETERMINACIÓN DEL COSTO POR KM
Período: Marzo 2017
Anexo 1 - DETERMINACIÓN DEL COSTO POR KM
COSTOS E INGRESOS MEDIOS DE LOS SERVICIOS DE TRANSPORTE DE PASAJEROS URBANOS Y SUBURBANOS DE LA REGION METROPOLITANA
Período: Marzo 2017
ANEXO 2 – CARACTERÍSTICAS DE LAS EMPRESAS REPRESENTATIVAS
Período: Marzo 2017
ANEXO 2 – CARACTERÍSTICAS DE LAS EMPRESAS REPRESENTATIVAS
COSTOS E INGRESOS MEDIOS DE LOS SERVICIOS DE TRANSPORTE DE PASAJEROS URBANOS Y SUBURBANOS DE LA REGION METROPOLITANA
Período: Marzo 2017
ANEXO 3 – RENDIMIENTOS Y CONSUMOS ESPECÍFICOS
Período: Marzo 2017
ANEXO 3 – RENDIMIENTOS Y CONSUMOS ESPECÍFICOS
COSTOS E INGRESOS MEDIOS DE LOS SERVICIOS DE TRANSPORTE DE PASAJEROS URBANOS Y SUBURBANOS DE LA REGION METROPOLITANA
Período: Marzo 2017
ANEXO 4 – COSTO DEL PERSONAL
NOTA 4.1: Determinación de la dotación de personal por vehículo.
La dotación de personal por vehículo fue determinada a partir de las declaraciones juradas presentadas con motivo de la Res. MINPLAN
750/2004.
Estos valores fueron corregidos a partir de las presentaciones de los formularios AFIP 931 de los meses de Enero, Febrero y Marzo de 2009.
COSTOS E INGRESOS MEDIOS DE LOS SERVICIOS DE TRANSPORTE DE PASAJEROS URBANOS Y SUBURBANOS DE LA REGION METROPOLITANA
Período: Marzo 2017
ANEXO 5 – PRECIOS CONSIDERADOS EN LA ESTIMACIÓN – SIN I.V.A.
ANEXO 6 – IMPUESTOS
ANEXO 7 – DATOS BÁSICOS PARA EL CÁLCULO TARIFARIO
COSTOS E INGRESOS MEDIOS DE LOS SERVICIOS DE TRANSPORTE DE PASAJEROS URBANOS Y SUBURBANOS DE LA REGION METROPOLITANA
Período: Marzo 2017
ANEXO 8 – COSTO DEL COMBUSTIBLE
COSTOS E INGRESOS MEDIOS DE LOS SERVICIOS DE TRANSPORTE DE PASAJEROS URBANOS Y SUBURBANOS DE LA REGION METROPOLITANA
Período: Marzo 2017
ANEXO 9 – COSTOS MENSUALES POR VEHÍCULO
COSTOS E INGRESOS MEDIOS DE LOS SERVICIOS DE TRANSPORTE DE PASAJEROS URBANOS Y SUBURBANOS DE LA REGION METROPOLITANA
Período: Marzo 2017
ANEXO 10 – RESUMEN DE COSTOS
COSTOS E INGRESOS MEDIOS DE LOS SERVICIOS DE TRANSPORTE DE PASAJEROS URBANOS Y SUBURBANOS DE LA REGION METROPOLITANA
Período: Marzo 2017
ANEXO 11 – BALANCE DE COMPENSACIÓN
IF-2017-14522136-APN-MTR
Anexo
Número: IF-2017-14522136-APN-MTR
CIUDAD DE BUENOS AIRES
Viernes 14 de Julio de 2017
Viernes 14 de Julio de 2017
Referencia: Estructura costos marzo 2017 - Anexo I
El documento fue importado por el sistema GEDO con un total de 13 pagina/s
ANEXO II
COSTOS E INGRESOS MEDIOS DE LOS SERVICIOS DE TRANSPORTE DE PASAJEROS URBANOS Y SUBURBANOS DE LA
REGION METROPOLITANA
Período: Abril 2017
ANEXO 1 – DETERMINACIÓN DEL COSTO POR KM
COSTOS E INGRESOS MEDIOS DE LOS SERVICIOS DE TRANSPORTE DE PASAJEROS URBANOS Y SUBURBANOS DE LA REGION METROPOLITANA
Período: Abril 2017
ANEXO 2 – CARACTERÍSTICAS DE LAS EMPRESAS REPRESENTATIVAS
COSTOS E INGRESOS MEDIOS DE LOS SERVICIOS DE TRANSPORTE DE PASAJEROS URBANOS Y SUBURBANOS DE LA REGION METROPOLITANA
Período: Abril 2017
ANEXO 3 – RENDIMIENTOS Y CONSUMOS ESPECÍFICOS
COSTOS E INGRESOS MEDIOS DE LOS SERVICIOS DE TRANSPORTE DE PASAJEROS URBANOS Y SUBURBANOS DE LA REGION METROPOLITANA
Período: Abril 2017
ANEXO 4 – COSTO DEL PERSONAL
NOTA 4.1: Determinación de la dotación de personal por vehículo.
La dotación de personal por vehículo fue determinada a partir de las declaraciones juradas presentadas con motivo de la Res. MINPLAN 750/2004.
Estos valores fueron corregidos a partir de las presentaciones de los formularios AFIP 931 de los meses de Enero, Febrero y Marzo de 2009.
La dotación de personal por vehículo fue determinada a partir de las declaraciones juradas presentadas con motivo de la Res. MINPLAN 750/2004.
Estos valores fueron corregidos a partir de las presentaciones de los formularios AFIP 931 de los meses de Enero, Febrero y Marzo de 2009.
COSTOS E INGRESOS MEDIOS DE LOS SERVICIOS DE TRANSPORTE DE PASAJEROS URBANOS Y SUBURBANOS DE LA REGION METROPOLITANA
Período: Abril 2017
ANEXO 5 – PRECIOS CONSIDERADOS EN LA ESTIMACIÓN – SIN I.V.A.
Período: Abril 2017
ANEXO 5 – PRECIOS CONSIDERADOS EN LA ESTIMACIÓN – SIN I.V.A.
COSTOS E INGRESOS MEDIOS DE LOS SERVICIOS DE TRANSPORTE DE PASAJEROS URBANOS Y SUBURBANOS DE LA REGION METROPOLITANA
Período: Abril 2017
ANEXO 5 – PRECIOS CONSIDERADOS EN LA ESTIMACIÓN – SIN I.V.A.
Período: Abril 2017
ANEXO 5 – PRECIOS CONSIDERADOS EN LA ESTIMACIÓN – SIN I.V.A.
ANEXO 5A – Saldo Técnico de I.V.A.
COSTOS E INGRESOS MEDIOS DE LOS SERVICIOS DE TRANSPORTE DE PASAJEROS URBANOS Y SUBURBANOS DE LA REGION METROPOLITANA
Período: Abril 2017
ANEXO 6 – IMPUESTOS
Período: Abril 2017
ANEXO 6 – IMPUESTOS
ANEXO 7 – DATOS BÁSICOS PARA EL CÁLCULO TARIFARIO
COSTOS E INGRESOS MEDIOS DE LOS SERVICIOS DE TRANSPORTE DE PASAJEROS URBANOS Y SUBURBANOS DE LA REGION METROPOLITANA
Período: Abril 2017
ANEXO 8 – COSTO DEL COMBUSTIBLE
Período: Abril 2017
ANEXO 8 – COSTO DEL COMBUSTIBLE
COSTOS E INGRESOS MEDIOS DE LOS SERVICIOS DE TRANSPORTE DE PASAJEROS URBANOS Y SUBURBANOS DE LA REGION METROPOLITANA
Período: Abril 2017
ANEXO 9 – COSTOS MENSUALES POR VEHÍCULO
Período: Abril 2017
ANEXO 9 – COSTOS MENSUALES POR VEHÍCULO
COSTOS E INGRESOS MEDIOS DE LOS SERVICIOS DE TRANSPORTE DE PASAJEROS URBANOS Y SUBURBANOS DE LA REGION METROPOLITANA
Período: Abril 2017
ANEXO 10 – RESUMEN DE COSTOS
Período: Abril 2017
ANEXO 10 – RESUMEN DE COSTOS
COSTOS E INGRESOS MEDIOS DE LOS SERVICIOS DE TRANSPORTE DE PASAJEROS URBANOS Y SUBURBANOS DE LA REGION METROPOLITANA
Período: Abril 2017
ANEXO 11 – BALANCE DE COMPENSACIÓN
Período: Abril 2017
ANEXO 11 – BALANCE DE COMPENSACIÓN
IF-2017-14522102-APN-MTR
Hoja Adicional de Firmas
Anexo
Número: IF-2017-14522102-APN-MTR
Referencia: Estructura costos marzo 2017 - Anexo II
El documento fue importado por el sistema GEDO con un total de 14 pagina/s



COSTOS E INGRESOS MEDIOS DE LOS SERVICIOS DE TRANSPORTE DE PASAJEROS URBANOS Y SUBURBANOS DE LA REGION METROPOLITANA
Período: Junio 2017
ANEXO 1 – DETERMINACIÓN DEL COSTO POR KM

COSTOS E INGRESOS MEDIOS DE LOS SERVICIOS DE TRANSPORTE DE PASAJEROS URBANOS Y SUBURBANOS DE LA REGION METROPOLITANA
Período: Junio 2017
ANEXO 2 – CARACTERÍSTICAS DE LAS EMPRESAS REPRESENTATIVAS

COSTOS E INGRESOS MEDIOS DE LOS SERVICIOS DE TRANSPORTE DE PASAJEROS URBANOS Y SUBURBANOS DE LA REGION METROPOLITANA
Período: Junio 2017
ANEXO 3 – RENDIMIENTOS Y CONSUMOS ESPECÍFICOS

COSTOS E INGRESOS MEDIOS DE LOS SERVICIOS DE TRANSPORTE DE PASAJEROS URBANOS Y SUBURBANOS DE LA REGION METROPOLITANA
Período: Junio 2017
ANEXO 4 – COSTO DEL PERSONAL

NOTA 4.1: Determinación de la dotación de personal por vehículo.
La dotación de personal por vehículo fue determinada a partir de las declaraciones juradas presentadas con motivo de la Res. MINPLAN 750/2004.
Estos valores fueron corregidos a partir de las presentaciones de los formularios AFIP 931 de los meses de Enero, Febrero y Marzo de 2009.

CIUDAD DE BUENOS AIRES
Viernes 14 de Julio de 2017
Viernes 14 de Julio de 2017
Referencia: Estructura costos marzo 2017 - Anexo II
El documento fue importado por el sistema GEDO con un total de 14 pagina/s
ANEXO III
COSTOS E INGRESOS MEDIOS DE LOS SERVICIOS DE TRANSPORTE DE PASAJEROS URBANOS Y SUBURBANOS DE LA REGION METROPOLITANA
Período: Junio 2017
ANEXO 1 – DETERMINACIÓN DEL COSTO POR KM
Período: Junio 2017
ANEXO 2 – CARACTERÍSTICAS DE LAS EMPRESAS REPRESENTATIVAS
COSTOS E INGRESOS MEDIOS DE LOS SERVICIOS DE TRANSPORTE DE PASAJEROS URBANOS Y SUBURBANOS DE LA REGION METROPOLITANA
Período: Junio 2017
ANEXO 3 – RENDIMIENTOS Y CONSUMOS ESPECÍFICOS
COSTOS E INGRESOS MEDIOS DE LOS SERVICIOS DE TRANSPORTE DE PASAJEROS URBANOS Y SUBURBANOS DE LA REGION METROPOLITANA
Período: Junio 2017
ANEXO 4 – COSTO DEL PERSONAL
NOTA 4.1: Determinación de la dotación de personal por vehículo.
La dotación de personal por vehículo fue determinada a partir de las declaraciones juradas presentadas con motivo de la Res. MINPLAN 750/2004.
Estos valores fueron corregidos a partir de las presentaciones de los formularios AFIP 931 de los meses de Enero, Febrero y Marzo de 2009.
COSTOS E INGRESOS MEDIOS DE LOS SERVICIOS DE TRANSPORTE DE PASAJEROS URBANOS Y SUBURBANOS DE LA REGION METROPOLITANA
Período: Junio 2017
ANEXO 5 – PRECIOS CONSIDERADOS EN LA ESTIMACIÓN – SIN I.V.A.
Período: Junio 2017
ANEXO 5 – PRECIOS CONSIDERADOS EN LA ESTIMACIÓN – SIN I.V.A.
ANEXO 5A – Saldo Técnico de I.V.A.
COSTOS E INGRESOS MEDIOS DE LOS SERVICIOS DE TRANSPORTE DE PASAJEROS URBANOS Y SUBURBANOS DE LA REGION METROPOLITANA
Período: Junio 2017
ANEXO 6 – IMPUESTOS
Período: Junio 2017
ANEXO 6 – IMPUESTOS
ANEXO 7 – DATOS BÁSICOS PARA EL CÁLCULO TARIFARIO
COSTOS E INGRESOS MEDIOS DE LOS SERVICIOS DE TRANSPORTE DE PASAJEROS URBANOS Y SUBURBANOS DE LA REGION METROPOLITANA
Período: Junio 2017
ANEXO 8 – COSTO DEL COMBUSTIBLE
Período: Junio 2017
ANEXO 8 – COSTO DEL COMBUSTIBLE
COSTOS E INGRESOS MEDIOS DE LOS SERVICIOS DE TRANSPORTE DE PASAJEROS URBANOS Y SUBURBANOS DE LA REGION METROPOLITANA
Período: Junio 2017
ANEXO 9 – COSTOS MENSUALES POR VEHÍCULO
Período: Junio 2017
ANEXO 9 – COSTOS MENSUALES POR VEHÍCULO
COSTOS E INGRESOS MEDIOS DE LOS SERVICIOS DE TRANSPORTE DE PASAJEROS URBANOS Y SUBURBANOS DE LA REGION METROPOLITANA
Período: Junio 2017
ANEXO 10 – RESUMEN DE COSTOS
Período: Junio 2017
ANEXO 10 – RESUMEN DE COSTOS
COSTOS E INGRESOS MEDIOS DE LOS SERVICIOS DE TRANSPORTE DE PASAJEROS URBANOS Y SUBURBANOS DE LA REGION METROPOLITANA
Período: Junio 2017
ANEXO 11 – BALANCE DE COMPENSACIÓN
Período: Junio 2017
ANEXO 11 – BALANCE DE COMPENSACIÓN
IF-2017-14522045-APN-MTR
Hoja Adicional de Firmas
Anexo
Número: IF-2017-14522045-APN-MTR
Referencia: Estructura costos marzo 2017 - Anexo III
El documento fue importado por el sistema GEDO con un total de 14 pagina/s

CIUDAD DE BUENOS AIRES
Viernes 14 de Julio de 2017
Viernes 14 de Julio de 2017
Referencia: Estructura costos marzo 2017 - Anexo III
El documento fue importado por el sistema GEDO con un total de 14 pagina/s
ANEXO IV
COSTOS E INGRESOS MEDIOS DE LOS SERVICIOS DE TRANSPORTE DE PASAJEROS URBANOS Y SUBURBANOS DE LA REGION METROPOLITANA
Período: Julio 2017
ANEXO 1 – DETERMINACIÓN DEL COSTO POR KM
COSTOS E INGRESOS MEDIOS DE LOS SERVICIOS DE TRANSPORTE DE PASAJEROS URBANOS Y SUBURBANOS DE LA REGION METROPOLITANA
Período: Julio 2017
ANEXO 2 – CARACTERÍSTICAS DE LAS EMPRESAS REPRESENTATIVAS
Período: Julio 2017
ANEXO 2 – CARACTERÍSTICAS DE LAS EMPRESAS REPRESENTATIVAS
COSTOS E INGRESOS MEDIOS DE LOS SERVICIOS DE TRANSPORTE DE PASAJEROS URBANOS Y SUBURBANOS DE LA REGION METROPOLITANA
Período: Julio 2017
ANEXO 3 – RENDIMIENTOS Y CONSUMOS ESPECÍFICOS
Período: Julio 2017
ANEXO 3 – RENDIMIENTOS Y CONSUMOS ESPECÍFICOS
COSTOS E INGRESOS MEDIOS DE LOS SERVICIOS DE TRANSPORTE DE PASAJEROS URBANOS Y SUBURBANOS DE LA REGION METROPOLITANA
Período: Julio 2017
ANEXO 4 – COSTO DEL PERSONAL
Período: Julio 2017
ANEXO 4 – COSTO DEL PERSONAL
NOTA 4.1: Determinación de la dotación de personal por vehículo.
La dotación de personal por vehículo fue determinada a partir de las declaraciones juradas presentadas con motivo de la Res. MINPLAN 750/2004.
Estos valores fueron corregidos a partir de las presentaciones de los formularios AFIP 931 de los meses de Enero, Febrero y Marzo de 2009.
La dotación de personal por vehículo fue determinada a partir de las declaraciones juradas presentadas con motivo de la Res. MINPLAN 750/2004.
Estos valores fueron corregidos a partir de las presentaciones de los formularios AFIP 931 de los meses de Enero, Febrero y Marzo de 2009.
COSTOS E INGRESOS MEDIOS DE LOS SERVICIOS DE TRANSPORTE DE PASAJEROS URBANOS Y SUBURBANOS DE LA REGION METROPOLITANA
Período: Julio 2017
ANEXO 5 – PRECIOS CONSIDERADOS EN LA ESTIMACIÓN – SIN I.V.A
Período: Julio 2017
ANEXO 5 – PRECIOS CONSIDERADOS EN LA ESTIMACIÓN – SIN I.V.A
ANEXO 5A – Saldo Técnico de I.V.A.
COSTOS E INGRESOS MEDIOS DE LOS SERVICIOS DE TRANSPORTE DE PASAJEROS URBANOS Y SUBURBANOS DE LA REGION METROPOLITANA
Período: Julio 2017
ANEXO 6 – IMPUESTOS
Período: Julio 2017
ANEXO 6 – IMPUESTOS
ANEXO 7 – DATOS BÁSICOS PARA EL CÁLCULO TARIFARIO
COSTOS E INGRESOS MEDIOS DE LOS SERVICIOS DE TRANSPORTE DE PASAJEROS URBANOS Y SUBURBANOS DE LA REGION METROPOLITANA
Período: Julio 2017
ANEXO 8 – COSTO DEL COMBUSTIBLE
Período: Julio 2017
ANEXO 8 – COSTO DEL COMBUSTIBLE
COSTOS E INGRESOS MEDIOS DE LOS SERVICIOS DE TRANSPORTE DE PASAJEROS URBANOS Y SUBURBANOS DE LA REGION METROPOLITANA
Período: Julio 2017
ANEXO 9 – COSTOS MENSUALES POR VEHÍCULO
Período: Julio 2017
ANEXO 9 – COSTOS MENSUALES POR VEHÍCULO
COSTOS E INGRESOS MEDIOS DE LOS SERVICIOS DE TRANSPORTE DE PASAJEROS URBANOS Y SUBURBANOS DE LA REGION METROPOLITANA
Período: Julio 2017
ANEXO 10 – RESUMEN DE COSTOS
Período: Julio 2017
ANEXO 10 – RESUMEN DE COSTOS
COSTOS E INGRESOS MEDIOS DE LOS SERVICIOS DE TRANSPORTE DE PASAJEROS URBANOS Y SUBURBANOS DE LA REGION METROPOLITANA
Período: Julio 2017
ANEXO 11 – BALANCE DE COMPENSACIÓN
Período: Julio 2017
ANEXO 11 – BALANCE DE COMPENSACIÓN
IF-2017-14522021-APN-MTR
Hoja Adicional de Firmas
Anexo
Número: IF-2017-14522021-APN-MTR
Referencia: Estructura costos marzo 2017 - Anexo IV
El documento fue importado por el sistema GEDO con un total de 14 pagina/s
CIUDAD DE BUENOS AIRES
Viernes 14 de Julio de 2017
Viernes 14 de Julio de 2017
Referencia: Estructura costos marzo 2017 - Anexo IV
El documento fue importado por el sistema GEDO con un total de 14 pagina/s
ANEXO V
COSTOS E INGRESOS MEDIOS DE LOS SERVICIOS DE TRANSPORTE DE PASAJEROS URBANOS Y SUBURBANOS DE LA REGION METROPOLITANAPeríodo: Octubre 2017
ANEXO 1 – DETERMINACIÓN DEL COSTO POR KM
COSTOS E INGRESOS MEDIOS DE LOS SERVICIOS DE TRANSPORTE DE PASAJEROS URBANOS Y SUBURBANOS DE LA REGION METROPOLITANA
Período: Octubre 2017
ANEXO 2 – CARACTERÍSTICAS DE LAS EMPRESAS REPRESENTATIVAS
COSTOS E INGRESOS MEDIOS DE LOS SERVICIOS DE TRANSPORTE DE PASAJEROS URBANOS Y SUBURBANOS DE LA REGION METROPOLITANA
Período: Octubre 2017
ANEXO 3 – RENDIMIENTOS Y CONSUMOS ESPECÍFICOS
COSTOS E INGRESOS MEDIOS DE LOS SERVICIOS DE TRANSPORTE DE PASAJEROS URBANOS Y SUBURBANOS DE LA REGION METROPOLITANA
Período: Octubre 2017
ANEXO 4 – COSTO DEL PERSONAL
Período: Octubre 2017
ANEXO 4 – COSTO DEL PERSONAL
NOTA 4.1: Determinación de la dotación de personal por vehículo.
La dotación de personal por vehículo fue determinada a partir de las declaraciones juradas presentadas con motivo de la Res. MINPLAN
750/2004.
Estos valores fueron corregidos a partir de las presentaciones de los formularios AFIP 931 de los meses de Enero, Febrero y Marzo de 2009.
La dotación de personal por vehículo fue determinada a partir de las declaraciones juradas presentadas con motivo de la Res. MINPLAN
750/2004.
Estos valores fueron corregidos a partir de las presentaciones de los formularios AFIP 931 de los meses de Enero, Febrero y Marzo de 2009.
COSTOS E INGRESOS MEDIOS DE LOS SERVICIOS DE TRANSPORTE DE PASAJEROS URBANOS Y SUBURBANOS DE LA REGION METROPOLITANA
Período: Octubre 2017
ANEXO 5 – PRECIOS CONSIDERADOS EN LA ESTIMACIÓN – SIN I.V.A.
Período: Octubre 2017
ANEXO 5 – PRECIOS CONSIDERADOS EN LA ESTIMACIÓN – SIN I.V.A.
ANEXO 5A – Saldo Técnico de I.V.A.
Período: Octubre 2017
ANEXO 6 – IMPUESTOS
ANEXO 7 – DATOS BÁSICOS PARA EL CÁLCULO TARIFARIO
COSTOS E INGRESOS MEDIOS DE LOS SERVICIOS DE TRANSPORTE DE PASAJEROS URBANOS Y SUBURBANOS DE LA REGION METROPOLITANA
Período: Octubre 2017
ANEXO 8 – COSTO DEL COMBUSTIBLE
Período: Octubre 2017
ANEXO 8 – COSTO DEL COMBUSTIBLE
COSTOS E INGRESOS MEDIOS DE LOS SERVICIOS DE TRANSPORTE DE PASAJEROS URBANOS Y SUBURBANOS DE LA REGION METROPOLITANA
Período: Octubre 2017
ANEXO 9 – COSTOS MENSUALES POR VEHÍCULO
Período: Octubre 2017
ANEXO 9 – COSTOS MENSUALES POR VEHÍCULO
COSTOS E INGRESOS MEDIOS DE LOS SERVICIOS DE TRANSPORTE DE PASAJEROS URBANOS Y SUBURBANOS DE LA REGION METROPOLITANA
Período: Octubre 2017
ANEXO 10 – RESUMEN DE COSTOS
Período: Octubre 2017
ANEXO 10 – RESUMEN DE COSTOS
COSTOS E INGRESOS MEDIOS DE LOS SERVICIOS DE TRANSPORTE DE PASAJEROS URBANOS Y SUBURBANOS DE LA REGION METROPOLITANA
Período: Octubre 2017
ANEXO 11 – BALANCE DE COMPENSACIÓN
Período: Octubre 2017
ANEXO 11 – BALANCE DE COMPENSACIÓN
IF-2017-14521973-APN-MTR
Hoja Adicional de Firmas
Anexo
Número: IF-2017-14521973-APN-MTR
Referencia: Estructura costos marzo 2017 - Anexo V
El documento fue importado por el sistema GEDO con un total de 14 pagina/s



COSTOS E INGRESOS MEDIOS DE LOS SERVICIOS DE TRANSPORTE DE PASAJEROS URBANOS Y SUBURBANOS DE LA REGION METROPOLITANA
Período: Noviembre 2017
ANEXO 1 – DETERMINACIÓN DEL COSTO POR KM


COSTOS E INGRESOS MEDIOS DE LOS SERVICIOS DE TRANSPORTE DE PASAJEROS URBANOS Y SUBURBANOS DE LA REGION METROPOLITANA
Período: Noviembre 2017
ANEXO 3 – RENDIMIENTOS Y CONSUMOS ESPECÍFICOS





NOTA 4.1: Determinación de la dotación de personal por vehículo.
La dotación de personal por vehículo fue determinada a partir de las declaraciones juradas presentadas con motivo de la Res. MINPLAN 750/2004.
Estos valores fueron corregidos a partir de las presentaciones de los formularios AFIP 931 de los meses de Enero, Febrero y Marzo de 2009.
CIUDAD DE BUENOS AIRES
Viernes 14 de Julio de 2017
Viernes 14 de Julio de 2017
Referencia: Estructura costos marzo 2017 - Anexo V
El documento fue importado por el sistema GEDO con un total de 14 pagina/s
ANEXO VI
COSTOS E INGRESOS MEDIOS DE LOS SERVICIOS DE TRANSPORTE DE PASAJEROS URBANOS Y SUBURBANOS DE LA REGION METROPOLITANA
Período: Noviembre 2017
ANEXO 1 – DETERMINACIÓN DEL COSTO POR KM
COSTOS E INGRESOS MEDIOS DE LOS SERVICIOS DE TRANSPORTE DE PASAJEROS URBANOS Y SUBURBANOS DE LA REGION METROPOLITANA
Período: Noviembre 2017
ANEXO 2 – CARACTERÍSTICAS DE LAS EMPRESAS REPRESENTATIVAS
Período: Noviembre 2017
ANEXO 2 – CARACTERÍSTICAS DE LAS EMPRESAS REPRESENTATIVAS
COSTOS E INGRESOS MEDIOS DE LOS SERVICIOS DE TRANSPORTE DE PASAJEROS URBANOS Y SUBURBANOS DE LA REGION METROPOLITANA
Período: Noviembre 2017
ANEXO 3 – RENDIMIENTOS Y CONSUMOS ESPECÍFICOS
COSTOS E INGRESOS MEDIOS DE LOS SERVICIOS DE TRANSPORTE DE PASAJEROS URBANOS Y SUBURBANOS DE LA REGION METROPOLITANA
Período: Noviembre 2017
ANEXO 4 – COSTO DEL PERSONAL
Período: Noviembre 2017
ANEXO 4 – COSTO DEL PERSONAL
NOTA 4.1: Determinación de la dotación de personal por vehículo.
La dotación de personal por vehículo fue determinada a partir de las declaraciones juradas presentadas con motivo de la Res. MINPLAN 750/2004.
Estos valores fueron corregidos a partir de las presentaciones de los formularios AFIP 931 de los meses de Enero, Febrero y Marzo de 2009.
COSTOS E INGRESOS MEDIOS DE LOS SERVICIOS DE TRANSPORTE DE PASAJEROS URBANOS Y SUBURBANOS DE LA REGION METROPOLITANA
Período: Noviembre 2017
ANEXO 5 – PRECIOS CONSIDERADOS EN LA ESTIMACIÓN – SIN I.V.A.
Período: Noviembre 2017
ANEXO 5 – PRECIOS CONSIDERADOS EN LA ESTIMACIÓN – SIN I.V.A.
ANEXO 5A – Saldo Técnico de I.V.A.
COSTOS E INGRESOS MEDIOS DE LOS SERVICIOS DE TRANSPORTE DE PASAJEROS URBANOS Y SUBURBANOS DE LA REGION METROPOLITANA
Período: Noviembre 2017
ANEXO 6 – IMPUESTOS
Período: Noviembre 2017
ANEXO 6 – IMPUESTOS
ANEXO 7 – DATOS BÁSICOS PARA EL CÁLCULO TARIFARIO
COSTOS E INGRESOS MEDIOS DE LOS SERVICIOS DE TRANSPORTE DE PASAJEROS URBANOS Y SUBURBANOS DE LA REGION METROPOLITANA
Período: Noviembre 2017
ANEXO 8 – COSTO DEL COMBUSTIBLE
Período: Noviembre 2017
ANEXO 8 – COSTO DEL COMBUSTIBLE
COSTOS E INGRESOS MEDIOS DE LOS SERVICIOS DE TRANSPORTE DE PASAJEROS URBANOS Y SUBURBANOS DE LA REGION METROPOLITANA
Período: Noviembre 2017
ANEXO 9 – COSTOS MENSUALES POR VEHÍCULO
Período: Noviembre 2017
ANEXO 9 – COSTOS MENSUALES POR VEHÍCULO
COSTOS E INGRESOS MEDIOS DE LOS SERVICIOS DE TRANSPORTE DE PASAJEROS URBANOS Y SUBURBANOS DE LA REGION METROPOLITANA
Período: Noviembre 2017
ANEXO 10 – RESUMEN DE COSTOS
Período: Noviembre 2017
ANEXO 10 – RESUMEN DE COSTOS
COSTOS E INGRESOS MEDIOS DE LOS SERVICIOS DE TRANSPORTE DE PASAJEROS URBANOS Y SUBURBANOS DE LA REGION METROPOLITANA
Período: Noviembre 2017
ANEXO 11 – BALANCE DE COMPENSACIÓN
Período: Noviembre 2017
ANEXO 11 – BALANCE DE COMPENSACIÓN
IF-2017-14521901-APN-MTR
Hoja Adicional de Firmas
Anexo
Número: IF-2017-14521901-APN-MTR
Referencia: Estructura costos marzo 2017 - Anexo VI
El documento fue importado por el sistema GEDO con un total de 14 pagina/s

CIUDAD DE BUENOS AIRES
Viernes 14 de Julio de 2017
Viernes 14 de Julio de 2017
Referencia: Estructura costos marzo 2017 - Anexo VI
El documento fue importado por el sistema GEDO con un total de 14 pagina/s
ANEXO VII
COSTOS E INGRESOS MEDIOS DE LOS SERVICIOS DE TRANSPORTE DE PASAJEROS URBANOS Y SUBURBANOS DE LA REGION METROPOLITANA
Período: Diciembre 2017
ANEXO 1 – DETERMINACIÓN DEL COSTO POR KM
COSTOS E INGRESOS MEDIOS DE LOS SERVICIOS DE TRANSPORTE DE PASAJEROS URBANOS Y SUBURBANOS DE LA REGION METROPOLITANA
Período: Diciembre 2017
ANEXO 2 – CARACTERÍSTICAS DE LAS EMPRESAS REPRESENTATIVAS
COSTOS E INGRESOS MEDIOS DE LOS SERVICIOS DE TRANSPORTE DE PASAJEROS URBANOS Y SUBURBANOS DE LA REGION METROPOLITANA
Período: Diciembre 2017
ANEXO 3 – RENDIMIENTOS Y CONSUMOS ESPECÍFICOS
Período: Diciembre 2017
ANEXO 3 – RENDIMIENTOS Y CONSUMOS ESPECÍFICOS
COSTOS E INGRESOS MEDIOS DE LOS SERVICIOS DE TRANSPORTE DE PASAJEROS URBANOS Y SUBURBANOS DE LA REGION METROPOLITANA
Período: Diciembre 2017
ANEXO 4 – COSTO DEL PERSONAL
Período: Diciembre 2017
ANEXO 4 – COSTO DEL PERSONAL
NOTA 4.1: Determinación de la dotación de personal por vehículo.
La dotación de personal por vehículo fue determinada a partir de las declaraciones juradas presentadas con motivo de la Res. MINPLAN 750/2004.
Estos valores fueron corregidos a partir de las presentaciones de los formularios AFIP 931 de los meses de Enero, Febrero y Marzo de 2009.
La dotación de personal por vehículo fue determinada a partir de las declaraciones juradas presentadas con motivo de la Res. MINPLAN 750/2004.
Estos valores fueron corregidos a partir de las presentaciones de los formularios AFIP 931 de los meses de Enero, Febrero y Marzo de 2009.
COSTOS E INGRESOS MEDIOS DE LOS SERVICIOS DE TRANSPORTE DE PASAJEROS URBANOS Y SUBURBANOS DE LA REGION METROPOLITANA
Período: Diciembre 2017
ANEXO 5 – PRECIOS CONSIDERADOS EN LA ESTIMACIÓN – SIN I.V.A.
Período: Diciembre 2017
ANEXO 5 – PRECIOS CONSIDERADOS EN LA ESTIMACIÓN – SIN I.V.A.
ANEXO 5A – Saldo Técnico de I.V.A.
COSTOS E INGRESOS MEDIOS DE LOS SERVICIOS DE TRANSPORTE DE PASAJEROS URBANOS Y SUBURBANOS DE LA REGION METROPOLITANA
Período: Diciembre 2017
ANEXO 6 – IMPUESTOS
Período: Diciembre 2017
ANEXO 6 – IMPUESTOS
ANEXO 7 – DATOS BÁSICOS PARA EL CÁLCULO TARIFARIO
COSTOS E INGRESOS MEDIOS DE LOS SERVICIOS DE TRANSPORTE DE PASAJEROS URBANOS Y SUBURBANOS DE LA REGION METROPOLITANA
Período: Diciembre 2017
ANEXO 8 – COSTO DEL COMBUSTIBLE
Período: Diciembre 2017
ANEXO 8 – COSTO DEL COMBUSTIBLE
COSTOS E INGRESOS MEDIOS DE LOS SERVICIOS DE TRANSPORTE DE PASAJEROS URBANOS Y SUBURBANOS DE LA REGION METROPOLITANA
Período: Diciembre 2017
ANEXO 9 – COSTOS MENSUALES POR VEHÍCULO
Período: Diciembre 2017
ANEXO 9 – COSTOS MENSUALES POR VEHÍCULO
COSTOS E INGRESOS MEDIOS DE LOS SERVICIOS DE TRANSPORTE DE PASAJEROS URBANOS Y SUBURBANOS DE LA REGION METROPOLITANA
Período: Diciembre 2017
ANEXO 10 – RESUMEN DE COSTOS
Período: Diciembre 2017
ANEXO 10 – RESUMEN DE COSTOS
COSTOS E INGRESOS MEDIOS DE LOS SERVICIOS DE TRANSPORTE DE PASAJEROS URBANOS Y SUBURBANOS DE LA REGION METROPOLITANA
Período: Diciembre 2017
ANEXO 11 – BALANCE DE COMPENSACIÓN
Período: Diciembre 2017
ANEXO 11 – BALANCE DE COMPENSACIÓN
IF-2017-14521852-APN-MTR

Hoja Adicional de FirmasAnexo
Número: IF-2017-14521852-APN-MTR
Referencia: Estructura costos marzo 2017 - Anexo VII
El documento fue importado por el sistema GEDO con un total de 14 pagina/s
CIUDAD DE BUENOS AIRES
Viernes 14 de Julio de 2017
Viernes 14 de Julio de 2017
Referencia: Estructura costos marzo 2017 - Anexo VII
El documento fue importado por el sistema GEDO con un total de 14 pagina/s
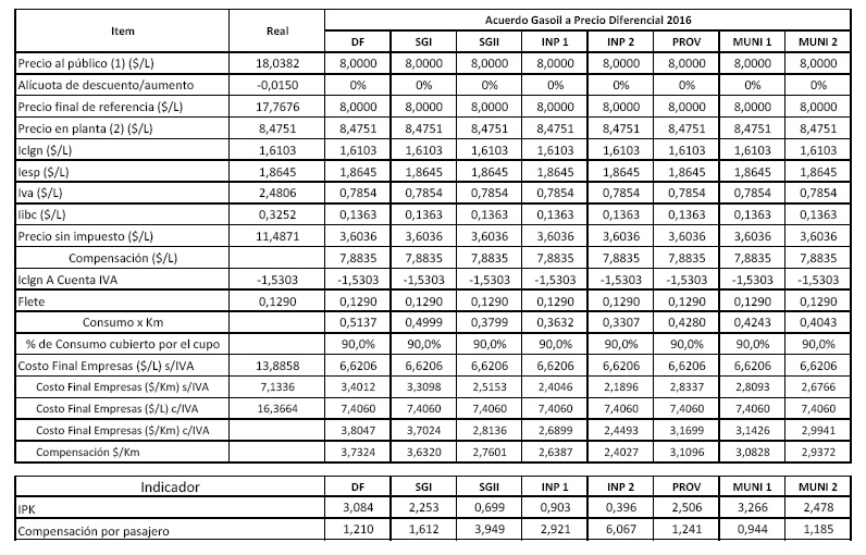
ANEXO VIII. Detalle de las Compensaciones requeridas (mensual) – Decreto 678/2006
IF-2017-14521810-APN-MTR
Hoja Adicional de Firmas
Anexo
Número: IF-2017-14521810-APN-MTR
Referencia: Estructura costos marzo 2017 - Anexo VIII
El documento fue importado por el sistema GEDO con un total de 1 pagina/s
CIUDAD DE BUENOS AIRES
Viernes 14 de Julio de 2017
Viernes 14 de Julio de 2017
Referencia: Estructura costos marzo 2017 - Anexo VIII
El documento fue importado por el sistema GEDO con un total de 1 pagina/s
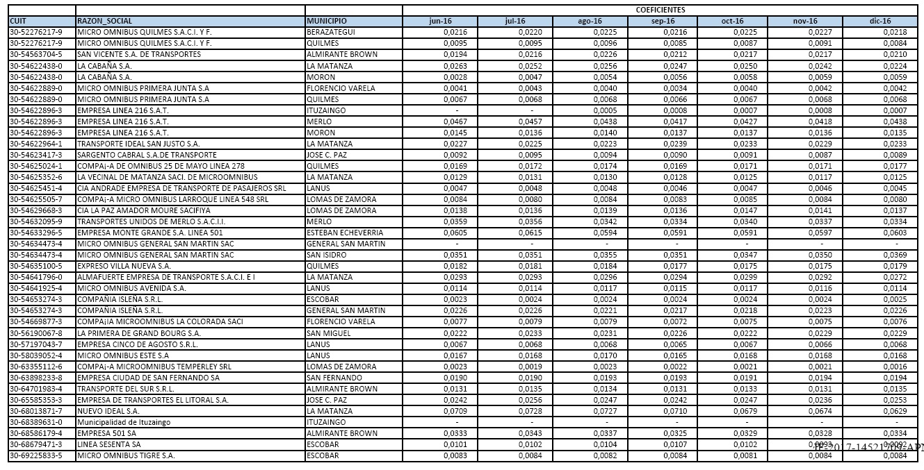
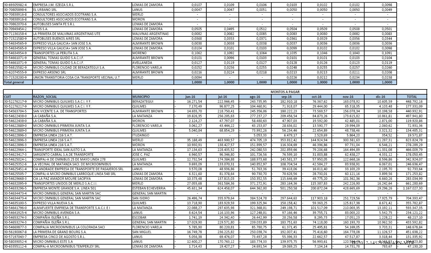
ANEXO IX
COMPENSACIÓN COMPLEMENTARIA PROVINCIAL (CCP)
IF-2017-14521768-APN-MTR
Hoja Adicional de Firmas
Anexo
Número: IF-2017-14521768-APN-MTR
Referencia: Estructura costos marzo 2017 - Anexo IX
El documento fue importado por el sistema GEDO con un total de 1 pagina/s
CIUDAD DE BUENOS AIRES
Viernes 14 de Julio de 2017
Viernes 14 de Julio de 2017
Referencia: Estructura costos marzo 2017 - Anexo IX
El documento fue importado por el sistema GEDO con un total de 1 pagina/s
Cuadro 1: Distrito Federal, Coeficientes de Distribución y montos a pagar en $ por empresa
Cuadro 2: SGI, Coeficientes de Distribución y montos a pagar en $ por empresa
Cuadro 3: SGII, Coeficientes de Distribución y montos a pagar en $ por empresa

Cuadro 4: UPA, Coeficientes de Distribución y montos a pagar en $ por empresa




Cuadro 5: UMA I, Coeficientes de Distribución y montos a pagar en $ por empresa



Cuadro 6: UMA II, Coeficientes de Distribución y montos a pagar en $ por empresa



Número: IF-2017-14521709-APN-MTR
Referencia: Estructura costos marzo 2017 - Anexo X
El documento fue importado por el sistema GEDO con un total de 11 pagina/s

Anexo XI
Servicio de Vigilancia
Se procedió a analizar e incorporar a la metodología de cálculo de costos el rubro Servicio de Vigilancia, de manera de reconocer los gastos en seguridad privada que pasaron a formar parte de la operatoria normal en la explotación del servicio.
Este rubro, además, formará parte del subtotal utilizado para la estimación del rubro Gastos Generales, y se incluirá para el cálculo correspondiente al rubro Costo de gerenciamiento.
Por último, se incorpora este nuevo rubro al cálculo del rubro Saldo Técnico a Favor IVA.
Respecto al precio considerado se tomó contacto con la Operadora Ferroviaria Sociedad del Estado, a fin de que se sirva informar acerca de los costos incurridos por el servicio de vigilancia público y privado en los servicios prestados por su operadora ferroviaria. Como resultado, se toma como precio de referencia promedio para seguridad privada PESOS CIENTO TREINTA ($130) por hora (sin IVA). El cálculo a considerar tendrá en cuenta el costo horario por veinticuatro (24) horas, los trescientos sesenta y cinco (365) días del año.
Para arribar al costo por kilómetro de cada grupo tarifario se utilizará la siguiente fórmula:


Número: IF-2017-14521654-APN-MTR
CIUDAD DE BUENOS AIRES
Viernes 14 de Julio de 2017
Referencia: Estructura costos marzo 2017 - Anexo XI
El documento fue importado por el sistema GEDO con un total de 1 pagina/s

Cuadro 4: UPA, Coeficientes de Distribución y montos a pagar en $ por empresa
Cuadro 5: UMA I, Coeficientes de Distribución y montos a pagar en $ por empresa
Cuadro 6: UMA II, Coeficientes de Distribución y montos a pagar en $ por empresa
IF-2017-14521709-APN-MTR
Hoja Adicional de Firmas
Anexo
Anexo
Número: IF-2017-14521709-APN-MTR
CIUDAD DE BUENOS AIRES
Viernes 14 de Julio de 2017
Viernes 14 de Julio de 2017
Referencia: Estructura costos marzo 2017 - Anexo X
El documento fue importado por el sistema GEDO con un total de 11 pagina/s
Anexo XI
Servicio de Vigilancia
Se procedió a analizar e incorporar a la metodología de cálculo de costos el rubro Servicio de Vigilancia, de manera de reconocer los gastos en seguridad privada que pasaron a formar parte de la operatoria normal en la explotación del servicio.
Este rubro, además, formará parte del subtotal utilizado para la estimación del rubro Gastos Generales, y se incluirá para el cálculo correspondiente al rubro Costo de gerenciamiento.
Por último, se incorpora este nuevo rubro al cálculo del rubro Saldo Técnico a Favor IVA.
Respecto al precio considerado se tomó contacto con la Operadora Ferroviaria Sociedad del Estado, a fin de que se sirva informar acerca de los costos incurridos por el servicio de vigilancia público y privado en los servicios prestados por su operadora ferroviaria. Como resultado, se toma como precio de referencia promedio para seguridad privada PESOS CIENTO TREINTA ($130) por hora (sin IVA). El cálculo a considerar tendrá en cuenta el costo horario por veinticuatro (24) horas, los trescientos sesenta y cinco (365) días del año.
Para arribar al costo por kilómetro de cada grupo tarifario se utilizará la siguiente fórmula:
IF-2017-14521654-APN-MTR
Hoja Adicional de Firmas
Anexo
Anexo
Número: IF-2017-14521654-APN-MTR
CIUDAD DE BUENOS AIRES
Viernes 14 de Julio de 2017
Referencia: Estructura costos marzo 2017 - Anexo XI
El documento fue importado por el sistema GEDO con un total de 1 pagina/s
Anexo XII
Saldo Técnico a Favor IVA
Se propone calcular la posición anual de la empresa representativa frente al Impuesto al Valor Agregado (IVA), en base a los datos generados por la propia estructura de costos. Es decir, que la posición anual de la empresa representativa frente al Impuesto al Valor Agregado (IVA) se obtiene de la diferencia entre el IVA ventas o débito fiscal y el IVA compras o crédito fiscal, obteniendo lo siguiente:
• IVA débito fiscal < IVA crédito fiscal → Saldo técnico a favor de IVA, el cual se considera como un costo. Se aplica a dicho saldo una tasa de interés real para reconocer el costo de oportunidad, con motivo de la indisponibilidad de dichos fondos que implica dicho saldo a favor. En este caso, se procederá a aplicar una tasa de interés real del SEIS POR CIENTO (6%) sobre este saldo
• IVA débito fiscal > IVA crédito fiscal → Posición anual frente al IVA a pagar. En este caso no se reconocerá costo alguno
IVA Débito Fiscal =
o Recaudación tributa al DIEZ COMA CINCO POR CIENTO (10,5%)
IVA crédito fiscal =
o Tributa al DIEZ COMA CINCO POR CIENTO (10,5%) el valor amortizable de vehículos
o Tributa al VEINTIÚN POR CIENTO (21%) la compra de: combustible, lubricantes y filtros, neumáticos, servicio de engrase y lavado, servicio de mantenimiento y reparación del vehículo, seguros, conservación de edificios, control técnico vehicular, peajes, servicio de vigilancia y gastos generales
Por otro lado, se incorpora a la metodología de cálculo el presente costo como un rubro independiente, fuera del rubro Costo del Capital Invertido.
Para arribar al costo por kilómetro de cada grupo tarifario se utilizará la siguiente fórmula:

Número: IF-2017-14521608-APN-MTR
Referencia: Estructura costos marzo 2017 - Anexo XII
El documento fue importado por el sistema GEDO con un total de 1 pagina/s

Saldo Técnico a Favor IVA
Se propone calcular la posición anual de la empresa representativa frente al Impuesto al Valor Agregado (IVA), en base a los datos generados por la propia estructura de costos. Es decir, que la posición anual de la empresa representativa frente al Impuesto al Valor Agregado (IVA) se obtiene de la diferencia entre el IVA ventas o débito fiscal y el IVA compras o crédito fiscal, obteniendo lo siguiente:
• IVA débito fiscal < IVA crédito fiscal → Saldo técnico a favor de IVA, el cual se considera como un costo. Se aplica a dicho saldo una tasa de interés real para reconocer el costo de oportunidad, con motivo de la indisponibilidad de dichos fondos que implica dicho saldo a favor. En este caso, se procederá a aplicar una tasa de interés real del SEIS POR CIENTO (6%) sobre este saldo
• IVA débito fiscal > IVA crédito fiscal → Posición anual frente al IVA a pagar. En este caso no se reconocerá costo alguno
IVA Débito Fiscal =
o Recaudación tributa al DIEZ COMA CINCO POR CIENTO (10,5%)
IVA crédito fiscal =
o Tributa al DIEZ COMA CINCO POR CIENTO (10,5%) el valor amortizable de vehículos
o Tributa al VEINTIÚN POR CIENTO (21%) la compra de: combustible, lubricantes y filtros, neumáticos, servicio de engrase y lavado, servicio de mantenimiento y reparación del vehículo, seguros, conservación de edificios, control técnico vehicular, peajes, servicio de vigilancia y gastos generales
Por otro lado, se incorpora a la metodología de cálculo el presente costo como un rubro independiente, fuera del rubro Costo del Capital Invertido.
Para arribar al costo por kilómetro de cada grupo tarifario se utilizará la siguiente fórmula:
IF-2017-14521608-APN-MTR
Hoja Adicional de Firmas
Anexo
Anexo
Número: IF-2017-14521608-APN-MTR
CIUDAD DE BUENOS AIRES
Viernes 14 de Julio de 2017
Viernes 14 de Julio de 2017
Referencia: Estructura costos marzo 2017 - Anexo XII
El documento fue importado por el sistema GEDO con un total de 1 pagina/s