MINISTERIO DE TRABAJO, EMPLEO Y SEGURIDAD SOCIAL
SECRETARIA DE TRABAJO
Resolución Nº 1036/2012
Registro Nº 813/2012
Bs. As., 19/7/2012
VISTO el Expediente N° 1.507.502/12 del Registro del MINISTERIO DE TRABAJO, EMPLEO Y SEGURIDAD SOCIAL, la Ley N° 14.250 (t.o. 2004), la Ley N° 20.744 (t.o. 1976) y sus modificatorias, y
CONSIDERANDO:
Que a fojas 2/7 del Expediente N° 1.509.800/12, agregado al Expediente N° 1.507.502/12 como fojas 34, obra el Acuerdo celebrado entre la UNION DE SINDICATOS DE LA INDUSTRIA MADERERA DE LA REPUBLICA ARGENTINA (USIMRA) y la FEDERACION ARGENTINA DE LA INDUSTRIA MADERERA Y AFINES, ratificado a fojas 69, conforme lo dispuesto en la Ley de Negociación Colectiva N° 14.250 (t.o. 2004).
Que mediante la Disposición de la DIRECCION NACIONAL DE RELACIONES DEL TRABAJO N° 141 de fecha 12 de junio de 2012, obrante a fojas 62/64 de autos, se declaró constituida la pertinente Comisión Negociadora.
Que en el mentado Acuerdo los agentes negociadores convienen nuevas condiciones salariales para las ramas de “Muebles, Aberturas, Carpinterías y demás Manufacturas de Madera y Afines”; “Maderas Terciadas”; “Aserraderos, Envases y Afines”; y “Aglomerados”; en el marco del Convenio Colectivo de Trabajo N° 335/75, conforme los términos y contenidos del texto pactado.
Que en relación al aporte a cargo de los trabajadores con destino a la OBRA SOCIAL DE LA INDUSTRIA DE LA MADERA, previsto en la cláusula tercera in fine del texto convencional sub exámine, se aclara que la homologación que por este acto se dispone, no exime a las partes de contar con la expresa conformidad de los trabajadores no afiliados en forma previa a su retención.
Que respecto de la contribución convencional mencionada en la cláusula citada en el considerando precedente, a cargo de las empresas emprendidas en el ámbito de aplicación del Convenio Colectivo de Trabajo N° 335/75 y a favor de la Federación empresaria celebrante, las partes deberán tener presente lo dispuesto en el artículo 1° in fine de la Resolución de la SECRETARIA DE TRABAJO N° 40 de fecha 13 de enero de 2010.
Que por otra parte y sin perjuicio de la homologación que por el presente acto se resuelve, corresponde señalar que en atención al carácter no remunerativo de las sumas pactadas en la cláusula 1° del Acuerdo, el aporte con destino al fondo solidario de seguro de vida y sepelio previsto en la cláusula 32 bis del Convenio Colectivo de Trabajo N° 335/75, al que se refiere en la cláusula tercera último párrafo, debería contar con la conformidad de los trabajadores.
Que el ámbito de aplicación del mentado Acuerdo, se corresponde con el alcance de representación de la entidad empresaria signataria y de la asociación sindical firmante, emergente de su personería gremial.
Que las partes acreditan la representación que invocan con la documentación agregada en autos y ratifican en todos sus términos el mentado Acuerdo.
Que asimismo se acreditan los recaudos formales exigidos por la Ley N° 14.250 (t.o. 2004).
Que la Asesoría Técnico Legal de esta Dirección Nacional de Relaciones del Trabajo de este Ministerio, tomó la intervención que le compete.
Que por lo expuesto, corresponde dictar el pertinente acto administrativo de homologación, de conformidad con los antecedentes mencionados.
Que una vez dictado el presente acto administrativo homologando el Acuerdo de referencia, por intermedio de la Dirección Nacional de Regulaciones del Trabajo se evaluará la procedencia de efectuar el cálculo de Base Promedio y Tope lndemnizatorio, a fin de dar cumplimiento a lo prescrito en el Artículo 245 de la Ley N° 20.744 (t.o. 1976) y sus modificatorias.
Que las facultades de la suscripta para resolver en las presentes actuaciones, surgen de las atribuciones otorgadas por el Decreto N° 900/95.
Por ello,
LA SECRETARIA DE TRABAJO
RESUELVE:
ARTICULO 1° — Declárase homologado el Acuerdo obrante a fojas 2/7 del Expediente N° 1.509.800/12, agregado al Expediente N° 1.507.502/12 como fojas 34, celebrado entra la UNION DE SINDICATOS DE LA INDUSTRIA MADERERA DE LA REPUBLICA ARGENTINA (USIMRA) y la FEDERACION ARGENTINA DE LA INDUSTRIA MADERERA Y AFINES, conforme lo dispuesto en la Ley de Negociación Colectiva N° 14.250 (t.o. 2004).
ARTICULO 2° — Regístrese la presente Resolución en el Departamento Despacho dependiente de la SUBSECRETARIA DE COORDINACION. Cumplido, pase a la Dirección de Negociación Colectiva a fin que el Departamento Coordinación registre el Acuerdo obrante a fojas 2/7 del Expediente N° 1.509.800/12, agregado al Expediente N° 1.507.502/12 como fojas 34.
ARTICULO 3° — Remítase copia debidamente autenticada al Departamento Biblioteca para su difusión.
ARTICULO 4° — Notifíquese a las partes signatarias. Cumplido, pase a la Dirección Nacional de Regulaciones del Trabajo, a fin de evaluar la procedencia de efectuar el cálculo de la Base Promedio y Tope lndemnizatorio, de conformidad a lo establecido en el Artículo 245 de la Ley N° 20.744 (t.o. 1976) y sus modificatorias. Posteriormente, procédase a la guarda del presente legajo conjuntamente con el Convenio Colectivo de Trabajo N° 335/75.
ARTICULO 5° — Hágase saber que en el supuesto que el MINISTERIO DE TRABAJO, EMPLEO Y SEGURIDAD SOCIAL no efectúe la publicación gratuita del Acuerdo homologado, resultará aplicable lo dispuesto en el tercer párrafo del Artículo 5° de la Ley N° 14.250 (t.o. 2004).
ARTICULO 6° — Comuníquese, publíquese, dése a la Dirección Nacional del Registro Oficial y archívese. — Dra. NOEMI RIAL, Secretaria de Trabajo.
De conformidad con lo ordenado en la RESOLUCION ST N° 1036/12 se ha tomado razón del acuerdo obrante a fojas 2/7 del expediente 1.509.800/12, agregado como fojas 34 al expediente de referencia, quedando registrado bajo el número 813/12. — JORGE A. INSUA, Registro de Convenios Colectivos, Departamento Coordinación - D.N.R.T.
En la Ciudad Autónoma de Buenos Aires, a los 10 de mayo abril de 2012, se reúnen los Sres. Antonio BASSO, Jorge Gornatti; Pedro Albonetti, Luis Maria Guzman; Roberto Villalba y Fabián Esposito, en representación de la UNION DE SINDICATOS DE LA INDUSTRIA DE LA MADERA DE LA R.A. por una parte y por la otra los Sres. Pedro REYNA; Oscar MARTIN; Juan MARTIN; Jorge RIGONI; Oscar MEDINA; Alejandro A. VOMMARO y Román Queiroz en representación de la FEDERACION ARGENTINA DE LA INDUSTRIA MADERERA Y AFINES (FAIMA), arriban al presente acuerdo:
Las partes manifiestan que luego de arduas negociaciones en el carácter de partes signatarias del C.C.T. 335/75, han arribado al siguiente acuerdo.
PRIMERO: Se establece un nuevo acuerdo salarial sobre los salarios básicos de la CCT 335/75, de aplicación para las Ramas de “Muebles, Aberturas, Carpinterías y demás Manufacturas de Madera y Afines”. “Maderas Terciadas”. “Aserraderos, Envases y Afines” y “Aglomerados”, a partir del 1º de abril de 2012 al 31 de marzo de 2013, divididos en tres cuatrimestres, abril/julio de 2012 el 10%; agosto/noviembre de 2012 el 8% y desde diciembre de 2012 a marzo de 2013 el 7,5%, siendo los mismos no acumulativos.
SEGUNDO: El presente acuerdo salarial se verá plasmado en las escalas salariales que se comprometen a entregar a la Autoridad del Ministerio de Trabajo y que forman parte integrante e indivisible de este acuerdo, en el plazo de 72 horas, debidamente conformadas por las partes signatarias.
TERCERA: Asimismo, las partes dejan pactado que el presente acuerdo salarial correspondiente a los porcentajes establecidos para los cuatrimestres abril/julio 2012; agosto/noviembre 2012; diciembre de 2012 a marzo de 2013 serán no remunerativos hasta el vencimiento de cada uno de los cuatrimestres pactados, pasando al salario básico como sumas remunerativas a partir de 1º de agosto de 2012; 1º de diciembre de 2012 y 1º de abril de 2013 respectivamente.
La Asignación No remunerativa pactada para cada uno de los cuatrimestres generará exclusivamente el cumplimiento de las obligaciones para con los aportes y contribuciones a la Obra Social de la Industria de la Madera OSPIM. Como así también los previstos en los arts. 32 y 32 bis de la CCT 335/75 y art. 21 (Cuota Sindical) del CCT 335/75.
CUARTO: Las partes se comprometen a cumplir con las pautas acordadas y mantener la paz social durante la vigencia del presente acuerdo. En tal sentido, las partes se comprometen a agotar sus esfuerzos para lograr la resolución de eventuales conflictos que surjan y que afecten el normal desarrollo de las actividades, utilizando para ello efectivamente todos los recursos de diálogo y negociación.
QUINTO: Las sumas no remunerativas pactadas no tendrán incidencia sobre los rubros “Plus Vacacional”, “SAC” y “Feriados que no coincidan con días laborables”, si tendrán incidencia para enfermedad; accidente de trabajos; horas extras y jornada nocturna.
SEXTO: Las partes manifiestan que la extensión de la vigencia del acuerdo alcanzado guarda relación con los nuevos valores pactados, razón por la cual, la negociación salarial lo será por un año, excepto que la situación económica y/o financiera del país sufra alguna modificación que amerite su tratamiento y consideración.
SEPTIMO: Las partes acuerdan que las sumas pactadas deberán ser liquidadas como “sumas no remunerativas acuerdo paritario 2012/2013”, hasta pasar a integrar el salario básico del CCT 335/75.
En consecuencia, ratifican en un todo lo actuado y solicitan que oportunamente se proceda a la homologación del presente acuerdo.
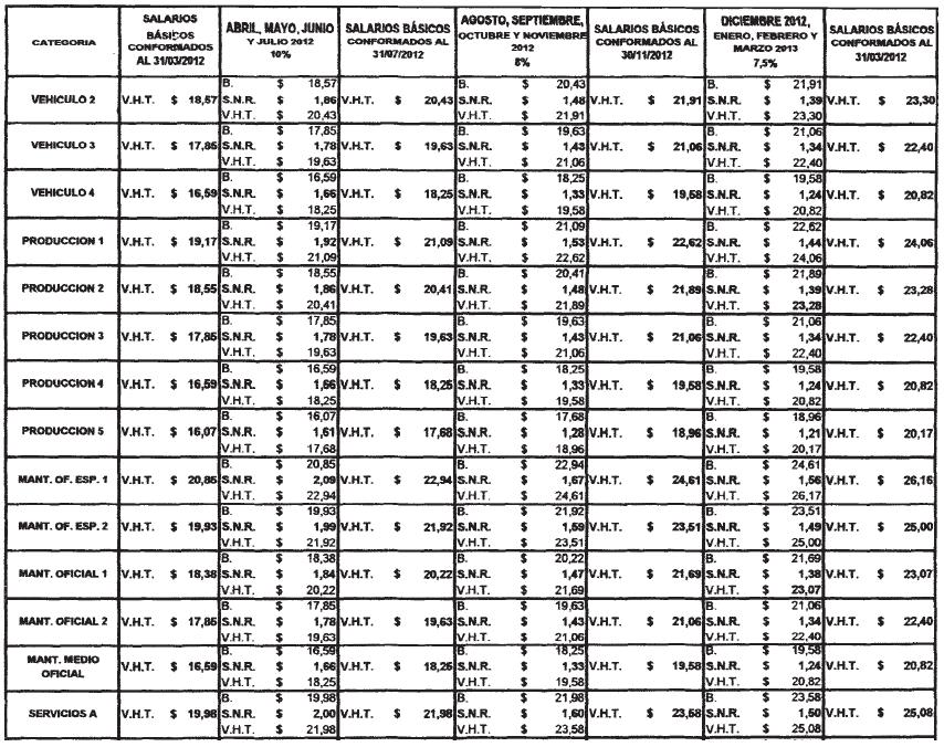
B.: BASICO HORA
S.N.R.: SUMA NO REMUNERATIVA
V.H.T.: VALOR HORA TOTAL
ADICIONALES
PRESENTISMO/ASISTENCIA PERFECTA: 10% de la liquidación del período. Se liquida y abona por quincena (Acta del 28/11/89).
ANTIGÜEDAD: 1% por año de antigüedad.
ROPA DE TRABAJO: Dos (2) juegos de ropa de trabajo por año; uno en abril y otro en octubre. Se entrega al personal con más de dos (2) meses de antigüedad (art. 34 CCT 335/75).
CUOTA SINDICAL: 3% del sueldo mensual percibido (art. 21 CCT 335/75).
SEGURO COLECTIVO DE VIDA Y SEPELIO: Aporte Obrero 1,5%; Contribución Patronal 1% + 0,6%. TOTAL: 3,1% - Cta. 900004/43 - B.N.A. - Suc. Caballito (Arts. 32 y 32 bis CCT 335/75).
B.: BASICO HORA
S.N.R.: SUMA NO REMUNERATIVA
V.H.T.: VALOR HORA TOTAL
ADICIONALES
PRESENTISMO/ASISTENCIA PERFECTA: 20% de la liquidación del período. Se liquida y abona por quincena (Acta del 28/11/89).
ANTIGÜEDAD: 1% por año de antigüedad.
ROPA DE TRABAJO: Dos (2) juegos de ropa de trabajo por año; uno en abril y otro en octubre. Se entrega al personal con más de dos (2) meses de antigüedad (art. 34 CCT 335/75).
CUOTA SINDICAL: 3% del sueldo mensual percibido (art. 21 CCT 335/75).
SEGURO COLECTIVO DE VIDA Y SEPELIO: Aporte Obrero 1,5%; Contribución Patronal 1% + 0,6%. TOTAL: 3,1% - Cta. 900004/43 - B.N.A. - Suc. Caballito (Arts. 32 y 32 bis CCT 335/75).
B.: BASICO HORA
S.N.R.: SUMA NO REMUNERATIVA
V.H.T.: VALOR HORA TOTAL
ADICIONALES
PRESENTISMO/ASISTENCIA PERFECTA: 22% de la liquidación de período. Se liquida y abona por quincena. (Acta Acuerdo 28/11/89). Se debe tener asistencia perfecta.
ANTIGÜEDAD: 1% por año de antigüedad.
ROPA DE TRABAJO: Dos (2) juegos de ropa de trabajo por año; uno en abril y otro en octubre. Se entrega al personal con más de dos (2) meses de antigüedad (art. 34 CCT 335/75).
CUOTA SINDICAL: 3% del sueldo mensual percibido (art. 21 CCT 335/75).
SEGURO COLECTIVO DE VIDA Y SEPELIO: Aporte Obrero 1,5%; Contribución Patronal 1% + 0,6%. TOTAL: 3,1% - Cta. 900004/43 - B.N.A. - Suc. Caballito (Arts. 32 y 32 bis CCT 335/75).
B.: BASICO HORA
S.N.R.: SUMA NO REMUNERATIVA
V.H.T.: VALOR HORA TOTAL
ADICIONALES
PRESENTISMO/ASISTENCIA PERFECTA: 10% de la liquidación del período. Se liquida y abona por quincena (Acta del 28/11/89).
ANTIGÜEDAD: 1% por año de antigüedad.
ROPA DE TRABAJO: Dos (2) juegos de ropa de trabajo por año, uno en abril y otro en octubre. Se entrega al personal con más de dos (2) meses de antigüedad (art. 34 CCT 335/75).
CUOTA SINDICAL: 3% del sueldo mensual percibido (art. 21 CCT 335/75).
SEGURO COLECTIVO DE VIDA Y SEPELIO: Aporte Obrero 1,5%; Contribución Patronal 1% + 0,6% TOTAL: 3,1% - Cta. 900004/43 - B.N.A. - Suc. Caballito (Arts. 32 y 32 bis CCT 335/75).
SECRETARIA DE TRABAJO
Resolución Nº 1036/2012
Registro Nº 813/2012
Bs. As., 19/7/2012
VISTO el Expediente N° 1.507.502/12 del Registro del MINISTERIO DE TRABAJO, EMPLEO Y SEGURIDAD SOCIAL, la Ley N° 14.250 (t.o. 2004), la Ley N° 20.744 (t.o. 1976) y sus modificatorias, y
CONSIDERANDO:
Que a fojas 2/7 del Expediente N° 1.509.800/12, agregado al Expediente N° 1.507.502/12 como fojas 34, obra el Acuerdo celebrado entre la UNION DE SINDICATOS DE LA INDUSTRIA MADERERA DE LA REPUBLICA ARGENTINA (USIMRA) y la FEDERACION ARGENTINA DE LA INDUSTRIA MADERERA Y AFINES, ratificado a fojas 69, conforme lo dispuesto en la Ley de Negociación Colectiva N° 14.250 (t.o. 2004).
Que mediante la Disposición de la DIRECCION NACIONAL DE RELACIONES DEL TRABAJO N° 141 de fecha 12 de junio de 2012, obrante a fojas 62/64 de autos, se declaró constituida la pertinente Comisión Negociadora.
Que en el mentado Acuerdo los agentes negociadores convienen nuevas condiciones salariales para las ramas de “Muebles, Aberturas, Carpinterías y demás Manufacturas de Madera y Afines”; “Maderas Terciadas”; “Aserraderos, Envases y Afines”; y “Aglomerados”; en el marco del Convenio Colectivo de Trabajo N° 335/75, conforme los términos y contenidos del texto pactado.
Que en relación al aporte a cargo de los trabajadores con destino a la OBRA SOCIAL DE LA INDUSTRIA DE LA MADERA, previsto en la cláusula tercera in fine del texto convencional sub exámine, se aclara que la homologación que por este acto se dispone, no exime a las partes de contar con la expresa conformidad de los trabajadores no afiliados en forma previa a su retención.
Que respecto de la contribución convencional mencionada en la cláusula citada en el considerando precedente, a cargo de las empresas emprendidas en el ámbito de aplicación del Convenio Colectivo de Trabajo N° 335/75 y a favor de la Federación empresaria celebrante, las partes deberán tener presente lo dispuesto en el artículo 1° in fine de la Resolución de la SECRETARIA DE TRABAJO N° 40 de fecha 13 de enero de 2010.
Que por otra parte y sin perjuicio de la homologación que por el presente acto se resuelve, corresponde señalar que en atención al carácter no remunerativo de las sumas pactadas en la cláusula 1° del Acuerdo, el aporte con destino al fondo solidario de seguro de vida y sepelio previsto en la cláusula 32 bis del Convenio Colectivo de Trabajo N° 335/75, al que se refiere en la cláusula tercera último párrafo, debería contar con la conformidad de los trabajadores.
Que el ámbito de aplicación del mentado Acuerdo, se corresponde con el alcance de representación de la entidad empresaria signataria y de la asociación sindical firmante, emergente de su personería gremial.
Que las partes acreditan la representación que invocan con la documentación agregada en autos y ratifican en todos sus términos el mentado Acuerdo.
Que asimismo se acreditan los recaudos formales exigidos por la Ley N° 14.250 (t.o. 2004).
Que la Asesoría Técnico Legal de esta Dirección Nacional de Relaciones del Trabajo de este Ministerio, tomó la intervención que le compete.
Que por lo expuesto, corresponde dictar el pertinente acto administrativo de homologación, de conformidad con los antecedentes mencionados.
Que una vez dictado el presente acto administrativo homologando el Acuerdo de referencia, por intermedio de la Dirección Nacional de Regulaciones del Trabajo se evaluará la procedencia de efectuar el cálculo de Base Promedio y Tope lndemnizatorio, a fin de dar cumplimiento a lo prescrito en el Artículo 245 de la Ley N° 20.744 (t.o. 1976) y sus modificatorias.
Que las facultades de la suscripta para resolver en las presentes actuaciones, surgen de las atribuciones otorgadas por el Decreto N° 900/95.
Por ello,
LA SECRETARIA DE TRABAJO
RESUELVE:
ARTICULO 1° — Declárase homologado el Acuerdo obrante a fojas 2/7 del Expediente N° 1.509.800/12, agregado al Expediente N° 1.507.502/12 como fojas 34, celebrado entra la UNION DE SINDICATOS DE LA INDUSTRIA MADERERA DE LA REPUBLICA ARGENTINA (USIMRA) y la FEDERACION ARGENTINA DE LA INDUSTRIA MADERERA Y AFINES, conforme lo dispuesto en la Ley de Negociación Colectiva N° 14.250 (t.o. 2004).
ARTICULO 2° — Regístrese la presente Resolución en el Departamento Despacho dependiente de la SUBSECRETARIA DE COORDINACION. Cumplido, pase a la Dirección de Negociación Colectiva a fin que el Departamento Coordinación registre el Acuerdo obrante a fojas 2/7 del Expediente N° 1.509.800/12, agregado al Expediente N° 1.507.502/12 como fojas 34.
ARTICULO 3° — Remítase copia debidamente autenticada al Departamento Biblioteca para su difusión.
ARTICULO 4° — Notifíquese a las partes signatarias. Cumplido, pase a la Dirección Nacional de Regulaciones del Trabajo, a fin de evaluar la procedencia de efectuar el cálculo de la Base Promedio y Tope lndemnizatorio, de conformidad a lo establecido en el Artículo 245 de la Ley N° 20.744 (t.o. 1976) y sus modificatorias. Posteriormente, procédase a la guarda del presente legajo conjuntamente con el Convenio Colectivo de Trabajo N° 335/75.
ARTICULO 5° — Hágase saber que en el supuesto que el MINISTERIO DE TRABAJO, EMPLEO Y SEGURIDAD SOCIAL no efectúe la publicación gratuita del Acuerdo homologado, resultará aplicable lo dispuesto en el tercer párrafo del Artículo 5° de la Ley N° 14.250 (t.o. 2004).
ARTICULO 6° — Comuníquese, publíquese, dése a la Dirección Nacional del Registro Oficial y archívese. — Dra. NOEMI RIAL, Secretaria de Trabajo.
Expediente N° 1.507.502/12
Buenos Aires, 23 de julio de 2012
De conformidad con lo ordenado en la RESOLUCION ST N° 1036/12 se ha tomado razón del acuerdo obrante a fojas 2/7 del expediente 1.509.800/12, agregado como fojas 34 al expediente de referencia, quedando registrado bajo el número 813/12. — JORGE A. INSUA, Registro de Convenios Colectivos, Departamento Coordinación - D.N.R.T.
En la Ciudad Autónoma de Buenos Aires, a los 10 de mayo abril de 2012, se reúnen los Sres. Antonio BASSO, Jorge Gornatti; Pedro Albonetti, Luis Maria Guzman; Roberto Villalba y Fabián Esposito, en representación de la UNION DE SINDICATOS DE LA INDUSTRIA DE LA MADERA DE LA R.A. por una parte y por la otra los Sres. Pedro REYNA; Oscar MARTIN; Juan MARTIN; Jorge RIGONI; Oscar MEDINA; Alejandro A. VOMMARO y Román Queiroz en representación de la FEDERACION ARGENTINA DE LA INDUSTRIA MADERERA Y AFINES (FAIMA), arriban al presente acuerdo:
Las partes manifiestan que luego de arduas negociaciones en el carácter de partes signatarias del C.C.T. 335/75, han arribado al siguiente acuerdo.
PRIMERO: Se establece un nuevo acuerdo salarial sobre los salarios básicos de la CCT 335/75, de aplicación para las Ramas de “Muebles, Aberturas, Carpinterías y demás Manufacturas de Madera y Afines”. “Maderas Terciadas”. “Aserraderos, Envases y Afines” y “Aglomerados”, a partir del 1º de abril de 2012 al 31 de marzo de 2013, divididos en tres cuatrimestres, abril/julio de 2012 el 10%; agosto/noviembre de 2012 el 8% y desde diciembre de 2012 a marzo de 2013 el 7,5%, siendo los mismos no acumulativos.
SEGUNDO: El presente acuerdo salarial se verá plasmado en las escalas salariales que se comprometen a entregar a la Autoridad del Ministerio de Trabajo y que forman parte integrante e indivisible de este acuerdo, en el plazo de 72 horas, debidamente conformadas por las partes signatarias.
TERCERA: Asimismo, las partes dejan pactado que el presente acuerdo salarial correspondiente a los porcentajes establecidos para los cuatrimestres abril/julio 2012; agosto/noviembre 2012; diciembre de 2012 a marzo de 2013 serán no remunerativos hasta el vencimiento de cada uno de los cuatrimestres pactados, pasando al salario básico como sumas remunerativas a partir de 1º de agosto de 2012; 1º de diciembre de 2012 y 1º de abril de 2013 respectivamente.
La Asignación No remunerativa pactada para cada uno de los cuatrimestres generará exclusivamente el cumplimiento de las obligaciones para con los aportes y contribuciones a la Obra Social de la Industria de la Madera OSPIM. Como así también los previstos en los arts. 32 y 32 bis de la CCT 335/75 y art. 21 (Cuota Sindical) del CCT 335/75.
CUARTO: Las partes se comprometen a cumplir con las pautas acordadas y mantener la paz social durante la vigencia del presente acuerdo. En tal sentido, las partes se comprometen a agotar sus esfuerzos para lograr la resolución de eventuales conflictos que surjan y que afecten el normal desarrollo de las actividades, utilizando para ello efectivamente todos los recursos de diálogo y negociación.
QUINTO: Las sumas no remunerativas pactadas no tendrán incidencia sobre los rubros “Plus Vacacional”, “SAC” y “Feriados que no coincidan con días laborables”, si tendrán incidencia para enfermedad; accidente de trabajos; horas extras y jornada nocturna.
SEXTO: Las partes manifiestan que la extensión de la vigencia del acuerdo alcanzado guarda relación con los nuevos valores pactados, razón por la cual, la negociación salarial lo será por un año, excepto que la situación económica y/o financiera del país sufra alguna modificación que amerite su tratamiento y consideración.
SEPTIMO: Las partes acuerdan que las sumas pactadas deberán ser liquidadas como “sumas no remunerativas acuerdo paritario 2012/2013”, hasta pasar a integrar el salario básico del CCT 335/75.
En consecuencia, ratifican en un todo lo actuado y solicitan que oportunamente se proceda a la homologación del presente acuerdo.
ESCALAS SALARIALES
MUEBLES, ABERTURAS, CARPINTERIAS Y DEMAS MANUFACTURAS DE MADERA Y AFINES
B.: BASICO HORA
S.N.R.: SUMA NO REMUNERATIVA
V.H.T.: VALOR HORA TOTAL
ADICIONALES
PRESENTISMO/ASISTENCIA PERFECTA: 10% de la liquidación del período. Se liquida y abona por quincena (Acta del 28/11/89).
ANTIGÜEDAD: 1% por año de antigüedad.
ROPA DE TRABAJO: Dos (2) juegos de ropa de trabajo por año; uno en abril y otro en octubre. Se entrega al personal con más de dos (2) meses de antigüedad (art. 34 CCT 335/75).
CUOTA SINDICAL: 3% del sueldo mensual percibido (art. 21 CCT 335/75).
SEGURO COLECTIVO DE VIDA Y SEPELIO: Aporte Obrero 1,5%; Contribución Patronal 1% + 0,6%. TOTAL: 3,1% - Cta. 900004/43 - B.N.A. - Suc. Caballito (Arts. 32 y 32 bis CCT 335/75).
ESCALAS SALARIALES
MADERAS TERCIADAS
B.: BASICO HORA
S.N.R.: SUMA NO REMUNERATIVA
V.H.T.: VALOR HORA TOTAL
ADICIONALES
PRESENTISMO/ASISTENCIA PERFECTA: 20% de la liquidación del período. Se liquida y abona por quincena (Acta del 28/11/89).
ANTIGÜEDAD: 1% por año de antigüedad.
ROPA DE TRABAJO: Dos (2) juegos de ropa de trabajo por año; uno en abril y otro en octubre. Se entrega al personal con más de dos (2) meses de antigüedad (art. 34 CCT 335/75).
CUOTA SINDICAL: 3% del sueldo mensual percibido (art. 21 CCT 335/75).
SEGURO COLECTIVO DE VIDA Y SEPELIO: Aporte Obrero 1,5%; Contribución Patronal 1% + 0,6%. TOTAL: 3,1% - Cta. 900004/43 - B.N.A. - Suc. Caballito (Arts. 32 y 32 bis CCT 335/75).
ESCALAS SALARIALES
ASERRADEROS, ENVASES Y AFINES
B.: BASICO HORA
S.N.R.: SUMA NO REMUNERATIVA
V.H.T.: VALOR HORA TOTAL
ADICIONALES
PRESENTISMO/ASISTENCIA PERFECTA: 22% de la liquidación de período. Se liquida y abona por quincena. (Acta Acuerdo 28/11/89). Se debe tener asistencia perfecta.
ANTIGÜEDAD: 1% por año de antigüedad.
ROPA DE TRABAJO: Dos (2) juegos de ropa de trabajo por año; uno en abril y otro en octubre. Se entrega al personal con más de dos (2) meses de antigüedad (art. 34 CCT 335/75).
CUOTA SINDICAL: 3% del sueldo mensual percibido (art. 21 CCT 335/75).
SEGURO COLECTIVO DE VIDA Y SEPELIO: Aporte Obrero 1,5%; Contribución Patronal 1% + 0,6%. TOTAL: 3,1% - Cta. 900004/43 - B.N.A. - Suc. Caballito (Arts. 32 y 32 bis CCT 335/75).
ESCALAS SALARIALES
AGLOMERADOS
B.: BASICO HORA
S.N.R.: SUMA NO REMUNERATIVA
V.H.T.: VALOR HORA TOTAL
ADICIONALES
PRESENTISMO/ASISTENCIA PERFECTA: 10% de la liquidación del período. Se liquida y abona por quincena (Acta del 28/11/89).
ANTIGÜEDAD: 1% por año de antigüedad.
ROPA DE TRABAJO: Dos (2) juegos de ropa de trabajo por año, uno en abril y otro en octubre. Se entrega al personal con más de dos (2) meses de antigüedad (art. 34 CCT 335/75).
CUOTA SINDICAL: 3% del sueldo mensual percibido (art. 21 CCT 335/75).
SEGURO COLECTIVO DE VIDA Y SEPELIO: Aporte Obrero 1,5%; Contribución Patronal 1% + 0,6% TOTAL: 3,1% - Cta. 900004/43 - B.N.A. - Suc. Caballito (Arts. 32 y 32 bis CCT 335/75).