Presidencia de la Nación

PODER EJECUTIVO NACIONAL (P.E.N.)


ADMINISTRACION PUBLICA NACIONAL

Decreto 1836/2009

Apruébase la estructura organizativa del Consejo Nacional de Coordinación de Políticas Sociales de la Presidencia de la Nación.

Bs. As., 24/11/2009

Ver Antecedentes Normativos

VISTO Expediente Nº 26.831/2009 del registro de la SECRETARIA GENERAL DE LA PRESIDENCIA de la NACION, la Ley Nº 26.485 y los Decretos Nº 357 del 21 de febrero de 2002, Nº 1195 del 5 de julio de 2002, Nº 678 del 25 de marzo de 2003 y Nº 78 del 12 de diciembre de 2007, y

CONSIDERANDO:

Que en virtud del Decreto Nº 357/02, se creó el CONSEJO NACIONAL DE COORDINACION DE POLITICAS SOCIALES en el ámbito de la PRESIDENCIA DE LA NACION, con el objeto de constituir un ámbito de planificación y coordinación de la política social nacional para mejorar la gestión de gobierno, mediante la formulación de políticas y la definición de cursos de acción coordinados e integrales, optimizando la asignación de los recursos.

Que el Decreto Nº 1195/02, dispuso que el CONSEJO NACIONAL DE COORDINACION DE POLITICAS SOCIALES de la PRESIDENCIA DE LA NACION quedará conformado por los siguientes organismos: UNIDAD DE COORDINACION TECNICA; CONSEJO NACIONAL DE LA MUJER y COMISION NACIONAL ASESORA PARA LA INTEGRACION DE PERSONAS DISCAPACITADAS (CONADIS).

Que por medio del Decreto Nº 678/03, se aprobó la estructura organizativa de las aperturas inferiores del CONSEJO NACIONAL DE COORDINACION DE POLITICAS SOCIALES de la PRESIDENCIA DE LA NACION.

Que, oportunamente, mediante el Decreto Nº 78/2007, se modificó la estructura organizativa de primer y segundo nivel operativo de la UNIDAD DE COORDINACION TECNICA de la SECRETARIA EJECUTIVA del CONSEJO NACIONAL DE COORDINACION DE POLITICAS SOCIALES de la PRESIDENCIA DE LA NACION.

Que el Decreto 357/02, transfirió el CONSEJO NACIONAL DE LA MUJER al CONSEJO NACIONAL DE COORDINACION DE POLITICAS SOCIALES de la PRESIDENCIA DE LA NACION.

Que mediante la sanción de la Ley Nº 26.485 se estableció la PROTECCION INTEGRAL PARA PREVENIR, SANCIONAR Y ERRADICAR LA VIOLENCIA CONTRA LAS MUJERES EN LOS AMBITOS EN QUE DESARROLLEN SUS RELACIONES INTERPERSONALES, siendo el CONSEJO NACIONAL DE LA MUJER el organismo rector encargado del diseño de las políticas públicas para efectivizar las disposiciones de dicha Ley.

Que resulta menester efectuar adecuaciones operativas en el funcionamiento del CONSEJO NACIONAL DE COORDINACION DE POLITICAS SOCIALES de la PRESIDENCIA DE LA NACION, y la consecuente modificación de su estructura organizativa, a efectos de dotarla de los instrumentos necesarios para el logro de los objetivos estratégicos propuestos.

Que las reformas propuestas se encuadran fundamentalmente en un pormenorizado análisis y evaluación de responsabilidades y competencias, en función de la necesidad del mencionado reordenamiento.

Que han tomado intervención la SECRETARIA LEGAL Y TECNICA de la PRESIDENCIA DE LA NACION y la SECRETARIA DE LA GESTION PUBLICA de la JEFATURA DE GABINETE DE MINISTROS.

Que la presente medida se dicta en ejercicio de las facultades emergentes del artículo 99, inciso 1 de la CONSTITUCION NACIONAL.

Por ello,

LA PRESIDENTA DE LA NACION ARGENTINA

DECRETA:

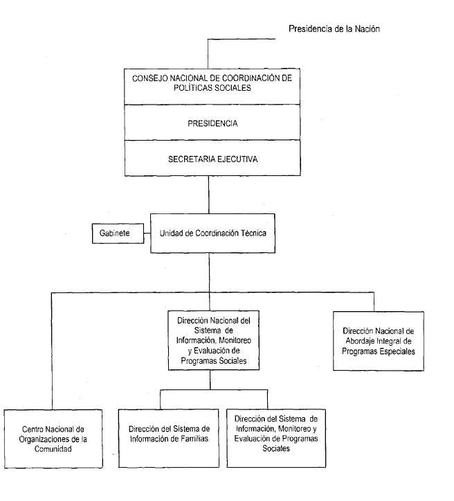
Artículo 1º — Apruébase la estructura organizativa del CONSEJO NACIONAL DE COORDINACION DE POLITICAS SOCIALES de la PRESIDENCIA DE LA NACION, de acuerdo al Organigrama, Responsabilidades Primarias y Acciones, los que, como Anexos la, lb, Ic, Id, y II, forman parte integrante del presente Decreto.

Art. 2º — Créase, en el ámbito del CONSEJO NACIONAL DE LAS MUJERES del CONSEJO NACIONAL DE COORDINACION DE POLITICAS SOCIALES de la PRESIDENCIA DE LA NACION, la UNIDAD DE COORDINACION NACIONAL PARA LA PREVENCION, ASISTENCIA Y ERRADICACION DE LA VIOLENCIA CONTRA LAS MUJERES, cuyo titular actuará como Autoridad Superior del PODER EJECUTIVO NACIONAL; con rango y jerarquía de Subsecretario. (Denominación CONSEJO NACIONAL DE LA MUJER sustituida por art. 5º del Decreto Nº 326/2010 B.O. 09/03/2010)

(Nota Infoleg: por art. 20  del Decreto N° 335/2020 B.O. 5/4/2020 se suprime la UNIDAD DE COORDINACIÓN NACIONAL PARA LA PREVENCIÓN, ASISTENCIA Y ERRADICACIÓN DE LA VIOLENCIA CONTRA LAS MUJERES, creada por el presente artículo)

Art. 3º — Modifícase la distribución del Presupuesto General de la Administración Nacional para el Ejercicio 2009 —Recursos Humanos— en la parte correspondiente a la Jurisdicción 20 – SECRETARIA GENERAL de la PRESIDENCIA DE LA NACION, de acuerdo con el detalle obrante en las planillas anexas al presente artículo.

Art. 4º — Incorpóranse, a partir de la vigencia del presente Decreto, los cargos de Presidente del CONSEJO NACIONAL DE LAS MUJERES y de Coordinador de la UNIDAD DE COORDINACION NACIONAL PARA LA PREVENCION, ASISTENCIA Y ERRADICACION DE LA VIOLENCIA CONTRA LAS MUJERES, respectivamente, en los artículos 1º, 2º y 3º, así como en los incisos b) y c) de la Planilla anexa al artículo 1º de la Decisión Administrativa Nº 477 del 16 de septiembre de 1998 y sus modificatorios. (Denominación CONSEJO NACIONAL DE LA MUJER sustituida por art. 5º del Decreto Nº 326/2010 B.O. 09/03/2010)

Art. 5º — El gasto que demande el cumplimiento de la presente medida, será atendido con cargo a las partidas específicas del presupuesto vigente para el ejercicio 2009, de la Jurisdicción 20 – SECRETARIA GENERAL de la PRESIDENCIA DE LA NACION.

Art. 6º — Comuníquese, publíquese, dése a la Dirección Nacional del Registro Oficial y archívese. — FERNANDEZ DE KIRCHNER. — Aníbal D. Fernández. — Alicia M. Kirchner.

ANEXO Ia

(Anexo sustituido por art. 2° del Decreto N° 125/2014 B.O. 05/02/2014)

(Denominación CONSEJO NACIONAL DE LA MUJER sustituida por art. 5º del Decreto Nº 326/2010 B.O. 09/03/2010)

ANEXO Ib

ANEXO Ic

(Nota Infoleg: por art. 20  del Decreto N° 335/2020 B.O. 5/4/2020 se suprime la UNIDAD DE COORDINACIÓN NACIONAL PARA LA PREVENCIÓN, ASISTENCIA Y ERRADICACIÓN DE LA VIOLENCIA CONTRA LAS MUJERES, creada por el artículo 2° del presente Decreto)

(Denominación CONSEJO NACIONAL DE LA MUJER sustituida por art. 5º del Decreto Nº 326/2010 B.O. 09/03/2010)

ANEXO Id

ANEXO II

CONSEJO NACIONAL DE COORDINACION DE POLITICAS SOCIALES

SECRETARIA EJECUTIVA

Dirección Nacional del Sistema de Identificación Nacional Tributario y Social

RESPONSABILIDAD PRIMARIA:

Coordinar el intercambio de información de carácter patrimonial y social, de las personas físicas y jurídicas entre las jurisdicciones y organismos de la administración pública nacional central y descentralizada, así como los datos registrados y a registrarse en las distintas bases de datos del país, asegurando su privacidad y confidencialidad.

ACCIONES:

1. Promover la identificación unívoca y homogénea de las personas, el acceso a sus atributos sociales y patrimoniales y la adopción de estándares de intercambio de información gubernamental para lograr criterios uniformes y preestablecidos.

2. Establecer los mecanismos y metodologías necesarios para favorecer la disponibilidad de servicios de validación y control de datos, detección de incompatibilidades y pluricobertura; enriquecimiento de bases de datos y otros datos identificatorios de personas físicas y jurídicas, para los organismos públicos de la Administración Pública Nacional, central y descentralizada y jurisdicciones provinciales.

3. Promover el alcance de los mayores estándares de eficiencia posible en las relaciones entre el titular del dato, y los organismos generadores, de formación de la información, diseñando los planes de acción necesarios para eficientizar la actualización, supresión o corrección de los datos.

4. Participar en el diseño y supervisar la implementación de proyectos tendientes a la mejora y sistematización de información estratégica para la ejecución de políticas públicas como la de los Registros Civiles, Legajo Unico de Alumnos, Registros de Personas Jurídicas y Registros de la Propiedad Inmueble.

5. Velar por la profundización de las acciones tendientes a mejorar la descentralización del sistema, basada tanto en la mejora de interconexión en línea de provincias y organismos, como en el necesario aumento de disponibilidad de conocimientos, aptitudes y adopción de actitudes y habilidades específicas.

CONSEJO NACIONAL DE COORDINACION DE POLITICAS SOCIALES

SECRETARIA EJECUTIVA

DIRECCION NACIONAL DEL SISTEMA DE IDENTIFICACION NACIONAL

TRIBUTARIO Y SOCIAL.

Dirección de Infraestructura Informática para la Integración

ACCIONES:

1. Posibilitar la efectiva descentralización del sistema, fortaleciendo las conexiones informacionales y la disponibilidad física y técnica de los recursos informáticos que permitan aumentar los estándares de interconexión en línea de organismos públicos nacionales, provinciales y municipales.

2. Instalar y mantener la infraestructura informática e infológica necesaria para posibilitar la disponibilidad de servicios de intercambio de información a Organismos Nacionales y Provinciales, así como también dar respuesta a los requerimientos provenientes de Juzgados Nacionales y Provinciales y del Ministerio Público de la Nación.

3. Elaborar y mantener actualizados los documentos necesarios tendientes a asegurar el establecimiento y observación de las Políticas de Seguridad del Sistema de Identificación Nacional Tributario y Social (SINTyS), y los Procedimientos correspondientes.

4. Diseñar los sistemas y mecanismos de seguridad informática institucional, instalando y manteniendo los esquemas necesarios de firewall, detección de intrusos, soluciones de seguridad perimetral en redes relacionadas con la Gestión Unificada de Amenazas (UTM) y la seguridad de Alto Rendimiento, así como las que en el futuro se establezcan como necesarias de acuerdo a la evolución de los conocimientos y del Sistema de Identificación Nacional Tributario y Social (SINTyS).

5. Diseñar y mantener sistemas de evaluación del riesgo soportado por la organización, así como procedimientos y medidas que permitan la continuación de la operación de las actividades en caso de desastre.

CONSEJO NACIONALDE COORDINACION DE POLITICAS SOCIALES

SECRETARIA EJECUTIVA

DIRECCION NACIONAL DEL SISTEMA DE IDENTIFICACION NACIONAL

TRIBUTARIO Y SOCIAL

Dirección de Integración Tecnológica Informacional

ACCIONES:

1. Elaborar, coordinar y llevar adelante las acciones necesarias de asistencia técnica en los campos específicos de las Tecnologías Informáticas y de Comunicación para la construcción, puesta en marcha, mantenimiento y mejoramiento de registros de datos necesarios para las actividades del Sistema de Identificación Nacional Tributario y Social (SINTyS).

2. Implementar proyectos tendientes a la mejora y sistematización de información estratégica para la ejecución de políticas públicas como la de los Registros Civiles, Legajo Unico de Alumnos, Registros de Personas Jurídicas y Registros de la Propiedad Inmueble.

3. Dirigir las acciones que permitan alimentar al sistema y proveer más y mejor calidad de datos de las personas con el objetivo de que pueda ser intercambiada entre los organismos del sector público.

4. Generar el Marco Legal necesario para la participación en el sistema y la interconexión de nuevas provincias y organismos.

5. Brindar servicios de intercambio de información a Organismos Nacionales y Provinciales, así como también dar respuesta a los requerimientos provenientes de Juzgados Nacionales y Provinciales y del Ministerio Público de la Nación.

6. Procurar la suscripción de convenios interjurisdiccionales, alentando el cambio en la orientación y gerenciamiento de los programas sociales, a favor de una gestión más eficaz, eficiente, transparente, equitativa y con mayores impactos.

7. Aumentar la disponibilidad de información específica, confiable y pertinente que coadyuve a procurar la institucionalización de prácticas gerenciales con el objeto de mejorar la capacidad de realizar diagnósticos, analizar los problemas sociales, rediseñar programas, planificar nuevas intervenciones sociales, así como evaluar, y monitorear acciones.


CONSEJO NACIONAL DE COORDINACION DE POLITICAS SOCIALES

SECRETARIA EJECUTIVA

Unidad de Auditoría Interna

(
Responsabilidad Primaria y Acciones incorporados por art. 6° del Decreto N° 1965/2011 B.O. 25/11/2011)

RESPONSABILIDAD PRIMARIA:

Verificar el mantenimiento de un adecuado sistema de control interno incorporado a la organización de la Jurisdicción, privilegiando las pautas dictadas por la economía, eficiencia y eficacia.

ACCIONES:

1. Establecer la planificación de la Auditoría Interna del Consejo Nacional, conforme a las normas generales de control interno y auditoría interna.

2. Elaborar el Plan Anual de la Auditoría Interna.

3. Evaluar el cumplimiento de las políticas, planes y procedimientos determinados por la autoridad superior.

4. Asesorar en la determinación de las normas y procedimientos propios del Sistema de Control Interno.

5. Tomar conocimiento integral de los actos y evaluar aquéllos de significativa trascendencia económica.

6. Verificar si en las erogaciones e ingresos del Consejo Nacional se cumplen los principios contables y niveles presupuestarios de la normativa legal vigente.

7. Constatar la confiabilidad de los antecedentes utilizados en la elaboración de los informes y/o estados informativos contables.

8. Precisar la exactitud del registro de los activos y las medidas de resguardo adoptadas para su protección.

9. Emitir opinión, en el ámbito de su competencia, en todo estado informativo contable emitido por las unidades ejecutoras.

10. Producir informes periódicos sobre las auditorías desarrolladas y otros controles practicados.

11. Comunicar a las autoridades superiores y a la SINDICATURA GENERAL DE LA NACION, los desvíos que se detecten con las recomendaciones y/u observaciones que se formulen.

12. Efectuar el seguimiento de las recomendaciones y observaciones realizadas.

13. Informar sobre los temas que la SINDICATURA GENERAL DE LA NACION le requiera en lo atinente al desarrollo de sus actividades.

CONSEJO NACIONAL DE COORDINACION DE POLITICAS SOCIALES

SECRETARIA EJECUTIVA

Unidad de Auditoría Interna

Auditor Interno Adjunto

(Acciones incorporadas por art. 2° del Decreto N° 1653/2013 B.O. 4/11/2013)

ACCIONES:

1. Intervenir en la elaboración del Plan General y Anual de Auditoría, asesorando y coordinando la acción de las distintas áreas.

2. Programar las tareas relativas al cumplimiento de la planificación anual.

3. Colaborar con el Auditor Interno en la aplicación efectiva de las acciones relativas a los estudios especiales que le sean requeridos.

4. Evaluar el cumplimiento de los objetivos previstos en los planes de acción y analizar los desvíos localizados, relativos a la actuación conjunta de la Unidad.

5. Producir los proyectos de informes de auditoría relativos a la auditoría contable y operativa, elevándolos a consideración del Auditor Interno Titular.

6. Participar a los responsables de las áreas legal e informática para evaluar los aspectos propios de su materia en todos los proyectos de informes de auditoría, a efectos de que los mismos contemplen el análisis integral de los temas en cuestión.

7. Colaborar interactivamente con los responsables de las demás áreas de la auditoría cuando el estudio de los temas en análisis merezcan opiniones consensuales.

8. Elaborar en función de las debilidades detectadas y hallazgos de auditoría, la previsión de las tareas de seguimiento y comprobación de correcciones efectuadas.

9. Participar en la definición de normas y procedimientos a efectos de establecer el sistema de control interno.

10. Reemplazar al Auditor Interno Titular en caso de ausencia o impedimento temporal en el ejercicio de sus funciones.



CONSEJO NACIONAL DE COORDINACION DE POLITICAS SOCIALES

SECRETARIA EJECUTIVA

Dirección General de Administración

(
Responsabilidad Primaria y Acciones incorporados por art. 6° del Decreto N° 1965/2011 B.O. 25/11/2011)


RESPONSABILIDAD PRIMARIA:

Entender en la elaboración del presupuesto y en la gestión económica, financiera, contable, patrimonial, de los recursos informáticos y de los recursos humanos del Consejo. Entender en la prestación de los servicios generales, coordinando en su caso con el organismo de la Administración competente en el ámbito de la PRESIDENCIA DE LA NACION.

ACCIONES:

1. Asistir en el diseño de la política presupuestaria del Consejo y en la evaluación de su cumplimiento.

2. Efectuar las registraciones dispuestas por la Ley de Administración Financiera y de los Sistemas de Control del Sector Público Nacional Nº 24.156.

3. Coordinar la formulación del anteproyecto de presupuesto con los servicios específicos del MINISTERIO DE ECONOMIA Y FINANZAS PUBLICAS.

4. Compatibilizar, evaluar y llevar a cabo los distintos requerimientos de las dependencias del organismo vinculados con la adquisición y contratación de bienes y servicios del Consejo.

5. Administrar los ingresos y egresos de fondos de origen presupuestario.

6. Coordinar y supervisar el cumplimiento del control y asignación de los bienes patrimoniales del Consejo, su actualización y aplicación de las normativas que correspondan.

7. Dirigir las acciones de análisis, planeamiento y diseño organizacional.

8. Elaborar y proponer las modificaciones de las estructuras organizativas que correspondan en consecuencia.

9. Administrar la aplicación de las normas que regulan al personal, su carrera administrativa, su capacitación y desarrollo, procurando mejorar los niveles de productividad y satisfacción laboral y la calidad en la prestación de los servicios a cargo de la jurisdicción.

10. Realizar el proceso de búsqueda, selección e integración del personal, e intervenir en el proceso de evaluación de desempeño y de capacitación del mismo.

11. Entender en la liquidación y pago de servicios del personal de la planta permanente y locaciones de servicios.

12. Proponer las modificaciones presupuestarias que se estimen imprescindibles para el correcto financiamiento de las acciones que tiene a su cargo el CONSEJO NACIONAL DE COORDINACION DE POLITICAS SOCIALES de la PRESIDENCIA DE LA NACION.

13. Entender en la administración y control de los recursos informáticos del Consejo.

14. Formular planes de desarrollo tecnológico a corto y mediano plazo para optimizar el desempeño del Consejo, analizando su factibilidad, beneficios, riesgos y costos.

CONSEJO NACIONAL DE COORDINACION DE POLITICAS SOCIALES

UNIDAD DE COORDINACION TECNICA

Centro Nacional de Organizaciones de la Comunidad

ACCIONES:

1. Promover la participación de las Organizaciones de la Sociedad Civil en la gestión de las políticas públicas generando espacios institucionales de articulación para el establecimiento de procesos de desarrollo sustentable.

2. Establecer mecanismos que garanticen un mayor conocimiento y una mejor visualización pública de las actividades desarrolladas por las Organizaciones de la Sociedad Civil.

3. Generar el desarrollo y el fortalecimiento institucional de las Organizaciones de la Sociedad Civil.

4. Administrar una base de datos universalmente disponible que contenga información amplia y actualizada sobre las organizaciones de las Organizaciones de la Sociedad Civil de todo el país.

CONSEJO NACIONAL DE COORDINACION DE POLITICAS SOCIALES

UNIDAD DE COORDINACION TECNICA

DIRECCION NACIONAL DEL SISTEMA DE INFORMACION, MONITOREO Y EVALUACION DE PROGRAMAS SOCIALES

RESPONSABILIDAD PRIMARIA

Entender en el diseño e implementación de sistemas, destinados a producir información que permita diagnosticar la situación socioeconómica de la población y efectuar análisis útiles para la formulación de políticas; medir indicadores sobre los programas sociales en marcha; monitorear el grado de avance en el cumplimiento de las metas propuestas en dichos programas y evaluar el grado de correspondencia entre el impacto previsto y el efectivamente alcanzado a través de la implementación de los mismos.

ACCIONES

1. Promover y facilitar las acciones destinadas a efectivizar la evaluación de programas sociales en el marco de la gestión integral orientada a resultados, a fin de generar información, conocimiento y aprendizaje específico como insumo para la toma de decisiones.

2. Dirigir el establecimiento de un sistema de información, evaluación y monitoreo de los programas sociales nacionales que permita producir diagnósticos de la situación social para la toma de decisión en materia de políticas públicas en el ámbito nacional y provincial con especial referencia a la población más vulnerable y su acceso a los servicios y programas sociales.

3. Administrar los procedimientos necesarios para el desarrollo y funcionamiento del Sistema de Información de Familias (SISFAM).

4. Indicar las directivas necesarias para la evaluación y monitoreo de los programas sociales, fortaleciendo a las áreas sociales nacionales y provinciales en el desarrollo e instalación de sistemas de monitoreo y en la realización de evaluaciones.

5. Instruir las acciones destinadas a producir nueva información a través de la Encuesta de Desarrollo Social, Condiciones de Vida y Acceso a Programas y Servicios Sociales.

6. Asegurar la disponibilidad de la información necesaria sobre la población en situación de pobreza y vulnerabilidad social y la ejecución de los programas sociales dirigidos a atenderla.

7. Dirigir el diseño, desarrollo y actualización permanente del software necesario para el proceso de carga y supervisión de sus bases de datos, brindar soporte técnico a la red del programa, e implementar el Sistema de Información Geográfica (GIS) que aporta cartografía y georreferenciamiento de datos.

8. Fomentar la vinculación entre el sector académico y el Estado en la investigación y desarrollo de políticas y programas sociales.

9. Promover la capacitación a funcionarios y técnicos de las áreas nacionales y provinciales en política y gerencia social.

10. Diseminar y transferir metodologías y sistemas de información a las agencias nacionales y provinciales.

CONSEJO NACIONAL DE COORDINACION DE POLITICAS SOCIALES

UNIDAD DE COORDINACION TECNICA

DIRECCION NACIONAL DEL SISTEMA DE INFORMACION, MONITOREO Y EVALUACION DE PROGRAMAS SOCIALES

DIRECCION DEL SISTEMA DE INFORMACION DE FAMILIAS

ACCIONES

1. Realizar la identificación y selección de las familias en situación de mayor pobreza y vulnerabilidad social a fin de posibilitar una mayor eficiencia, transparencia y equidad en la distribución de los recursos del Estado.

2. Diseñar instrumentos y procedimientos basados principalmente en metodologías de relevamiento censal orientada a poblaciones en situación de pobreza y vulnerabilidad social, para el logro de sus cometidos.

3. Promover y favorecer la implementación del Sistema de Información de Familias en el nivel provincial y municipal, administrando los procesos de formación de interés, elaboración y rúbrica de cartas de intención y fortalecimiento de la capacidad institucional y organizativa a destinar.

4. Coordinar la puesta en disponibilidad de recursos de capacitación y asistencia técnica, así como la provisión de equipamiento informático y financiamiento para el relevamiento de las familias pobres en los municipios de las provincias que ingresen en el proceso de implementación del Sistema.

5. Proveer de un diagnóstico socioeconómico preciso de los grupos poblacionales en condiciones de vulnerabilidad, para el diseño de programas y proyectos sociales.

6. Realizar el análisis de la oferta de servicios y programas del Estado en función de las características de las familias y problemas sociales detectados.

7. Diseñar, poner en funcionamiento y asegurar la permanente actualización del registro unificado de familias beneficiarias y vincular la información de los distintos programas.

8. Favorecer la disponibilidad de información social a los programas para realizar el seguimiento y evaluación de la eficacia y eficiencia de sus prestaciones.

9. Entender en la permanente actualización informativa y metodológica de Indices Indispensables para la caracterización socioeconómica de las familias en situación de vulnerabilidad social.

CONSEJO NACIONAL DE COORDINACION DE POLITICAS SOCIALES

UNIDAD DE COORDINACION TECNICA

DIRECCION NACIONAL DEL SISTEMA DE INFORMACION, MONITOREO Y EVALUACION DE PROGRAMAS SOCIALES

DIRECCION DEL SISTEMA DE INFORMACION, MONITOREO Y EVALUACION DE PROGRAMAS SOCIALES

ACCIONES

1. Instalar y operar un sistema de información, evaluación y monitoreo de los programas sociales nacionales que permita captar información sobre beneficiarios de los Planes y Programas Sociales en marcha.

2. Promover el fortalecimiento de las áreas sociales nacionales y provinciales en el desarrollo e instalación de sistemas de monitoreo y en la realización de evaluaciones.

3. Producir información nueva a través de la Encuesta de Desarrollo Social, Condiciones de Vida y Acceso a Programas y Servicios Sociales.

4. Proveer al aumento de la disponibilidad de la información necesaria sobre la población en situación de pobreza y vulnerabilidad social y la ejecución de los programas sociales dirigidos a atenderla.

5. Generar información certera sobre la ejecución de las políticas sociales nacionales y provinciales, poniendo a disposición de las autoridades un instrumento para la gestión eficiente de la problemática social.

6. Monitorear el grado de avance en el cumplimiento de las metas propuestas en los planes y programas sociales, evaluando el grado de correspondencia entre el impacto previsto y el efectivamente alcanzado a través de la implementación de los mismos.

7. Concretar y coordinar la evaluación de programas sociales en el marco de la gestión integral orientada a resultados, a fin de generar información, conocimiento y aprendizaje específico como insumo para la toma de decisiones.

8. Posibilitar la disponibilidad de recursos para las actividades de capacitación específica orientando la generación de materiales y organización de actividades para diversos organismos públicos provinciales y nacionales.

CONSEJO NACIONAL DE COORDINACION DE POLITICAS SOCIALES

UNIDAD DE COORDINACION TECNICA

Dirección Nacional de Abordaje Integral de Programas Especiales

RESPONSABILIDAD PRIMARIA:

Asistir a la UNIDAD DE COORDINACION TECNICA, en el seguimiento, control y gestión de los Programas y Proyectos Especiales que se desarrollen en el ámbito del CONSEJO NACIONAL DE COORDINACION DE POLITICAS SOCIALES.

ACCIONES:

1. Apoyar y coordinar con organismos del ESTADO NACIONAL, Gobiernos Provinciales, Municipales, Consejo Consultivo y Mesa de Gestión, las acciones tendientes a fortalecer la aplicación de los programas ya existentes y a la realización de nuevas líneas de acción.

2. Asistir en la formulación y prosecución de los proyectos y programas atribuidos al CONSEJO NACIONAL DE COORDINACION DE POLITICAS SOCIALES.

3. Proponer normas y mecanismos que posibiliten un eficiente cumplimiento de los programas del Consejo Nacional y una mejor utilización de los recursos disponibles.

4. Contribuir a la articulación de las acciones de los programas atribuidos al CONSEJO NACIONAL DE COORDINACION DE POLITICAS SOCIALES con otros programas nacionales, provinciales y municipales en el marco de los procesos de desarrollo local y regional.

5. Promover, planificar, articular y desarrollar acciones orientadas a establecer como política pública el abordaje integral del Desarrollo Infantil garantizando los derechos de los niños y niñas.

6. Proponer la implementación de acciones integrales y coordinadas en el territorio que tiendan al mejoramiento de la calidad de vida de las comunidades y al desarrollo local (Centros Integradores Comunitarios), a fin de contribuir a la consecución y seguimiento de los OBJETIVOS DE DESARROLLO DEL MILENIO.

7. Abordar a través de la generación de espacios asociativos, cooperativos y de fortalecimiento de proyectos y redes que favorezcan el desarrollo local y la integración social en condiciones de igualdad.

CONSEJO NACIONAL DE COORDINACION DE POLITICAS SOCIALES

SECRETARIA EJECUTIVA

OBSERVATORIO NACIONAL DEL DEPORTE Y ACTIVIDAD FISICA

(Dependencia y Objetivos incorporados por art. 3° del Decreto N° 125/2014 B.O. 05/02/2014)


OBJETIVOS:

1. Elaborar, implementar y monitorear el Censo Nacional de Instalaciones Deportivas.

2. Impulsar la creación de una Red Nacional de Investigadores en la Ciencia del Deporte para el desarrollo humano y social.

3. Articular y colaborar en la elaboración de la currícula para la formación de profesores de educación física.

4. Diseñar y desarrollar programas de asistencia para las distintas jurisdicciones, que permitan fomentar el estudio y la práctica del deporte y actividad Física en la edad escolar, universitaria y en el ámbito laboral.

5. Promover la información, comunicación, sensibilización y concientización del Deporte y la Actividad Física, como una herramienta de promoción comunitaria y desarrollo humano y social.

6. Proponer instrumentos de accesibilidad de la población excluida y con discapacidad a la práctica de la actividad física y del deporte.

7. Colaborar en la integración regional y en la cooperación deportiva del MERCOSUR y UNASUR.

8. Impulsar mecanismos y herramientas de obtención de información objetiva y estadística actualizada sobre el deporte social y comunitario, que permita la centralización de la información existente y la producción de la nueva información.

9. Establecer y mantener un Registro calificado de entrenadores.

10. Desarrollar, gestionar y potenciar los materiales y recursos bibliográficos y documentales que, sobre el deporte y las ciencias aplicadas al estudio del deporte, se vayan adquiriendo.

11. Implementar servicios de información y documentación deportiva, tanto para usuarios como para investigadores o personas interesadas en la temática.

12. Propiciar, en coordinación con los organismos que integran el Consejo Nacional, información nueva a través de Encuestas de los hábitos Deportivos.

13. Articular y celebrar convenios con los distintos Ministerios, Secretarías, organismos públicos y privados, Nacionales e Internacionales, referidos a las competencias del OBSERVATORIO NACIONAL DEL DEPORTE Y ACTIVIDAD FISICA.

CONSEJO NACIONAL DE LAS MUJERES

(Denominación CONSEJO NACIONAL DE LA MUJER sustituida por art. 5º del Decreto Nº 326/2010 B.O. 09/03/2010)

UNIDAD DE COORDINACION NACIONAL PARA LA PREVENCION, ASISTENCIA Y ERRADICACION DE LA VIOLENCIA CONTRA LAS MUJERES

OBJETIVOS

1. Elaborar, implementar y monitorear un Plan Nacional de Acción para la Prevención, Asistencia y Erradicación de la Violencia contra las Mujeres.

2. Articular y coordinar las acciones para el cumplimiento de la Ley Nº 26.485, con las distintas áreas involucradas a nivel nacional, provincial y municipal, y con los ámbitos universitarios, sindicales, empresariales, religiosos, las organizaciones de defensa de los derechos de las mujeres, y otras de la sociedad civil con competencia en la materia.

3. Promover en las distintas jurisdicciones la creación de servicios de asistencia integral y gratuita para las mujeres que padecen violencia.

4. Garantizar modelos de abordaje tendientes a empoderar a las mujeres que padecen violencia que respeten la naturaleza social, política y cultural de la problemática, no admitiendo modelos que contemplen formas de mediación o negociación.

5. Generar los estándares mínimos de detección precoz y de abordaje de las situaciones de violencia.

6. Desarrollar programas de asistencia técnica para las distintas jurisdicciones, destinados a la prevención, detección precoz, asistencia temprana, reeducación, derivación interinstitucional y a la elaboración de protocolos para los distintos niveles de atención.

7. Impulsar a través de los colegios y asociaciones de profesionales la capacitación del personal de los servicios que, en razón de sus actividades, puedan llegar a intervenir en casos de violencia contra las mujeres.

8. Diseñar e implementar registros de situaciones de violencia contra las mujeres de manera interjurisdiccional e interinstitucional, en los que se establezcan los indicadores básicos aprobados por todos los Ministerios y Secretarías competentes, independientemente de los que determine cada área a los fines específicos, y acordados en el marco de los Consejos Federales con competencia en la materia.

9. Desarrollar, promover y coordinar con las distintas jurisdicciones los criterios para la selección de datos, modalidad de registro e indicadores básicos desagregados —como mínimo— por edad, sexo, estado civil y profesión u ocupación de las partes, vínculo entre la mujer que padece violencia y el hombre que la ejerce, naturaleza de los hechos, medidas adoptadas y sus resultados, y sanciones impuestas a la persona violenta. Se deberá asegurar la reserva en relación con la identidad de las mujeres que padecen violencias.

10. Diseñar y publicar una Guía de Servicios en coordinación y actualización permanente con las distintas jurisdicciones, que brinde información sobre los programas y los servicios de asistencia directa, en coordinación con la Dirección Nacional de Comunicación, Información y Difusión del CONSEJO NACIONAL DE LAS MUJERES, en lo que hace a sus especialidades. (Denominación CONSEJO NACIONAL DE LA MUJER sustituida por art. 5º del Decreto Nº 326/2010 B.O. 09/03/2010)

11. Implementar una línea telefónica gratuita y accesible en forma articulada con las provincias a través de los organismos gubernamentales pertinentes, destinada a dar contención, información y brindar asesoramiento sobre los recursos existentes en materia de prevención de la violencia contra las mujeres y la asistencia a quienes la padecen.

12. Establecer y mantener un Registro de las organizaciones no gubernamentales especializadas en la materia en coordinación con las jurisdicciones y propiciar convenios para el desarrollo de actividades preventivas, de control y ejecución de medidas de asistencia a las mujeres que padecen violencia y la rehabilitación de los hombres que la ejercen.

13. Promover campañas de sensibilización y concientización sobre la violencia contra las mujeres informando sobre los derechos, recursos y servicios que el Estado garantiza e instalando la condena social a toda forma de violencia contra las mujeres. Publicar materiales de difusión para apoyar las acciones de las distintas áreas.

14. Propiciar convenios con organismos públicos y/o instituciones privadas para toda acción conducente al cumplimiento de los alcances y objetivos de la Ley Nº 26.485.

15. Promover en el ámbito comunitario el trabajo en red, con el fin de desarrollar modelos de atención y prevención interinstitucional e intersectorial, que unifiquen y coordinen los esfuerzos de las instituciones públicas y privadas.

16. Velar por el acceso a los servicios de atención específica para mujeres privadas de libertad.

17. lnteractuar con el Consejo Consultivo previsto en la Ley Nº 26.485, a fin de definir la implementación de las acciones directas necesarias para el cumplimiento de la finalidad establecida en la Ley Nº 26.485.

CONSEJO NACIONAL DE LAS MUJERES

(Denominación CONSEJO NACIONAL DE LA MUJER sustituida por art. 5º del Decreto Nº 326/2010 B.O. 09/03/2010)

UNIDAD DE COORDINACION NACIONAL PARA LA PREVENCION, ASISTENCIA Y ERRADICACION DE LA VIOLENCIA CONTRA LAS MUJERES

Dirección Nacional de Protección Integral y Articulación de Acciones Directas

(Por art. 20  del Decreto N° 335/2020 B.O. 5/4/2020 se suprime la UNIDAD DE COORDINACIÓN NACIONAL PARA LA PREVENCIÓN, ASISTENCIA Y ERRADICACIÓN DE LA VIOLENCIA CONTRA LAS MUJERES, creada por el artículo 2° del presente Decreto)

CONSEJO NACIONAL DE LAS MUJERES

(Denominación CONSEJO NACIONAL DE LA MUJER sustituida por art. 5º del Decreto Nº 326/2010 B.O. 09/03/2010)

Dirección Nacional de Asistencia Técnica

RESPONSABILIDAD PRIMARIA

Planificar, ejecutar y controlar programas de investigación, y de asesoramiento técnico a organismos nacionales, provinciales y municipales y organizaciones sociales.

ACCIONES

1. Promover la realización de estudios e investigaciones capaces de ser sustento para la formulación de políticas públicas dirigidas a la mujer.

2. Planificar acciones que permitan abrir y actualizar debates sobre la situación de la mujer y los efectos de la política pública.

3. Velar por el cumplimiento de la normativa vigente y elaborar proyectos legislativos adecuados a la Ley N° 23.179.

4. Realizar el seguimiento técnico de los convenios llevados a cabo con los distintos Ministerios e instituciones evaluando los resultados.

5. Brindar asesoramiento y asistencia técnica en los programas y proyectos que integren la programación nacional con los organismos multilaterales de crédito, organizaciones gubernamentales y de la sociedad civil y privadas a fin de promover la participación de la mujer en el proceso de desarrollo.

6. Propiciar la realización de acuerdos y convenios con los organismos de cooperación técnica y financiamiento internacional a fin de fortalecer las políticas públicas que tengan impacto sobre la situación de la mujer.

7. Planificar y ejecutar proyectos y programas específicos.

8. Intervenir en la elaboración de documentos e informes nacionales a ser presentados ante organismos y conferencias internacionales en temas relativos a la mujer.

9. Realizar talleres, cursos y seminarios, teniendo en cuenta, en su programación, diversas modalidades, que permitan un mejor cumplimiento de los objetivos.

10. Propiciar la realización de encuentros participativos y congresos, tanto a nivel nacional como regional que permitan el intercambio de experiencias y de los avances en materia de capacitación y de políticas públicas.

11. Elaborar materiales didácticos, de evaluación de los aprendizajes y bibliográficos vinculados a los diferentes programas implementados, en coordinación con la Dirección Nacional de Comunicación, Información y Difusión del CONSEJO NACIONAL DE LAS MUJERES, en lo que hace a sus especialidades.

CONSEJO NACIONAL DE LAS MUJERES

(Denominación CONSEJO NACIONAL DE LA MUJER sustituida por art. 5º del Decreto Nº 326/2010 B.O. 09/03/2010)

Dirección Nacional de Comunicación, Información y Difusión

RESPONSABILIDAD PRIMARIA

Promover una política comunicacional a nivel nacional para lograr la sensibilización de la sociedad e instalar la problemática de la mujer en la Agenda Pública, procediendo a la difusión de la información útil y pertinente, para el acceso de las mujeres al conocimiento de sus derechos y a los recursos que existen para su beneficio.

ACCIONES

1. Diseñar, organizar y ejecutar el Sistema de Información, como red de conexión con las instituciones gubernamentales dedicadas a la temática de la mujer, en los distintos niveles, jurisdicciones y con las organizaciones sociales no gubernamentales afines al respecto (organizaciones de la sociedad civil, comunitarias, académicas, sindicales, partidos políticos, etc.).

2. Diseñar estrategias de comunicación y difusión y los instrumentos de articulación entre el Consejo y los medios de comunicación.

3. Optimizar la articulación de los convenios ya efectuados y establecer convenios con nuevas redes documentales y de información.

4. Difundir e intercambiar la información adecuada, mediante todos los canales arbitrados a tal efecto.

5. Elaborar el diseño y arbitrar las gestiones correspondientes para la puesta en marcha de los distintos materiales de difusión: publicaciones científicas, folletería, revistas, instrumentos de retroalimentación, videos, compact disks y otros.

6. Efectuar publicaciones periódicas de alcance nacional.

7. Establecer medios de comunicación masivos periódicos y puntuales (en forma escrita, audiovisual y/o de base electrónica) que permitan el intercambio y la retroalimentación de tal información a nivel provincial y municipal.

8. Coordinar con la Dirección Nacional de Asistencia Técnica las tareas sobre sistematización y presentación de datos, según el área de su competencia.

9. Coordinar y articular con organismos a nivel nacional, provincial y municipal, el desarrollo de programas de promoción y capacitación, de acuerdo con las necesidades y realidades particulares de cada entidad.

10. Recoger la demanda efectiva de las mujeres y de las organizaciones de la sociedad civil, en las diferentes áreas temáticas, para la elaboración de programas de capacitación.

11. Sistematizar los datos y la información cualitativa referida a todos los aspectos del proceso de aprendizaje, a fin de proporcionarlos a la Dirección Nacional de Asistencia Técnica del CONSEJO NACIONAL DE LAS MUJERES. (Denominación CONSEJO NACIONAL DE LA MUJER sustituida por art. 5º del Decreto Nº 326/2010 B.O. 09/03/2010)

CONSEJO NACIONAL DE LAS MUJERES

(Denominación CONSEJO NACIONAL DE LA MUJER sustituida por art. 5º del Decreto Nº 326/2010 B.O. 09/03/2010)

Dirección de Gestión Administrativa y Programas Especiales

RESPONSABILIDAD PRIMARIA

Entender en la administración directa de los recursos del CONSEJO NACIONAL DE LAS MUJERES y en los programas del organismo, participando en la planificación y coordinando la ejecución de la política presupuestaria y financiera y dirigiendo las actividades relativas a los servicios contables, económicos, financieros, de administración, de mantenimiento, suministros y sistematización de datos, con la asistencia y coordinación de la SECRETARIA GENERAL de la PRESIDENCIA DE LA NACION. (Denominación CONSEJO NACIONAL DE LA MUJER sustituida por art. 5º del Decreto Nº 326/2010 B.O. 09/03/2010)

ACCIONES

1. Asistir al Presidente del Consejo Nacional en la atención de las cuestiones de gestión administrativa y ejecutiva del organismo.

2. Coordinar la labor de gestión y evaluar sus resultados.

3. Ejercer la administración directa del Consejo Nacional de las Mujeres. (Denominación CONSEJO NACIONAL DE LA MUJER sustituida por art. 5º del Decreto Nº 326/2010 B.O. 09/03/2010)

4. Controlar la gestión relacionada con la redacción y diligenciamiento de la documentación administrativa.

5. Coordinar las actividades relacionadas con los recursos técnicos, humanos, informáticos y físicos para la prestación de los servicios del Consejo Nacional.

6. Administrar el ingreso y egreso de la documentación proveniente de otras jurisdicciones y/o particulares determinando para cada trámite las unidades organizativas con responsabilidad primaria para entender sobre el tema.

7. Coordinar y supervisar sistemas de seguimiento, evaluación y monitoreo a escala nacional, regional, provincial y local de la situación de los derechos de las mujeres.

8. Coordinar y supervisar sistemas de seguimiento, evaluación y monitoreo de las políticas públicas destinadas a la protección de los derechos de las mujeres.

Planilla Anexa al Artículo 3°

PRESUPUESTO 2009

JURISDICCION 20-01 - SECRETARIA GENERAL DE LA PRESIDENCIA DE LA NACION

PROGRAMA 21 - ASISTENCIA Y COORDINACION DE POLITICAS SOCIALES

ACTIVIDAD 01 - CONSEJO NACIONAL DE COORDINACION DE POLITICAS SOCIALES




Antecedentes Normativos

- Anexo Ia sustituido por art. 1° del Decreto N° 1653/2013 B.O. 4/11/2013;

- Anexo Ia sustituido por art. 6° del Decreto N° 1965/2011 B.O. 25/11/2011.

Scroll hacia arriba